NTP 177: La carga física de trabajo: definición y evaluación

Physical work load: definition and mesurement
La charge physique de travail: définition et evaluation

Redactor: Ricardo Chavarría Cosar
Ingeniero Técnico Eléctrico

CENTRO NACIONAL DE CONDICIONES DE TRABAJO - BARCELONA

Introducción

Si entendemos la Carga de Trabajo como "el conjunto de requerimientos psico-físicos a los que el trabajador se ve sometido a lo largo de la jornada laboral", tenemos que admitir que para realizar una valoración correcta de dicha carga o actividad del individuo frente a la tarea hay que valorar los dos aspectos reflejados en la definición, o sea el aspecto físico y el aspecto mental dado que ambos coexisten, en proporción variable, en cualquier tarea.

Aunque, en general, el progreso técnico implica un crecimiento de los requerimientos mentales en detrimento de los físicos en muchos puestos de trabajo, no es menos cierto que aún existen puestos en los que las exigencias físicas siguen siendo elevadas, por lo que es necesario evaluarlas y aportar las medidas correctoras precisas para eliminar en lo posible los trabajos pesados.

En esta Nota Técnica se analizarán los métodos de evaluación de las exigencias físicas de la tarea.

La valoración de los aspectos mentales se ha desarrollado en la Nota Técnica de Prevención nº 179.

La valoración de los aspectos posturales se ha desarrollado en la Nota Técnica de Prevención nº 452.

Trabajo muscular

Todo tipo de trabajo requiere por parte del trabajador un consumo de energía tanto mayor cuanto mayor sea el esfuerzo solicitado.

La realización de un trabajo muscular implica el poner en acción una serie de músculos que aportan la fuerza necesaria; según la forma en que se produzcan las contracciones de estos músculos el trabajo desarrollado se puede considerar como estático o dinámico.

El trabajo muscular se denomina estático cuando la contracción de los músculos es continua y se mantiene durante un cierto período de tiempo.

El trabajo dinámico, por el contrario, produce una sucesión periódica de tensiones y relajamientos de los músculos activos, todas ellas de corta duración.

Aunque en la práctica, excepto en casos muy característicos, la frontera entre trabajo estático y dinámico no es fácil de determinar, es importante mantener esta distinción por las consecuencias que se derivan de uno y otro tipo de trabajo.

La consecuencia fundamental viene determinada por las diferencias que se producen en la irrigación sanguínea de los músculos que es la que, en definitiva, fija el límite en la producción del trabajo muscular. Dicha irrigación es fundamental por dos motivos:

Porque la sangre aporta al músculo la energía necesaria.

Porque, además, la sangre evacua del músculo los residuos de la reacción de oxidación de la glucosa producidos como consecuencia del trabajo (ácido láctico).

A título de ejemplo, podemos decir que en un trabajo dinámico el aporte de sangre al músculo es de 10 a 20 veces mayor que en estado de reposo.

Por el contrario en el trabajo estático, al comprimirse los vasos sanguíneos, el aporte de sangre a los músculos no sólo no aumenta sino que disminuye, privando al músculo del oxígeno y de la glucosa que necesita. Además los residuos producidos no pueden ser eliminados con la rapidez necesaria, acumulándose y desencadenando la fatiga muscular.

Criterios de evaluación del trabajo muscular

El estudio del trabajo muscular, sea éste estático o dinámico, tiene especial importancia en el caso de los trabajos denominados "pesados" por exigir esfuerzos físicos importantes.

Para la determinación de la carga física de una tarea se pueden utilizar básicamente tres criterios de valoración:

En esta Nota Técnica se va a determinar la carga de una tarea a partir del Consumo de energía.

Método del consumo de energía

El hombre transforma, por medio de un proceso biológico, la energía química de los alimentos en energía mecánica, que utiliza para realizar sus actividades, y en calor. Este consumo de energía se expresa generalmente en kilocalorías (Kcal) siendo 1 kilocaloría la cantidad de calor necesaria para elevar la temperatura de un litro de agua de 14,5ºC. a 15,5ºC.

El consumo energético que nos interesa es el debido a la realización del trabajo, es decir el "metabolismo de trabajo". Sin embargo, si queremos calcular o definir la actividad física máxima, es necesario establecer el consumo energético total, que incluye los siguientes factores:

El metabolismo basal, que depende de la talla, el peso y el sexo, y es proporcional a la superficie corporal, es el consumo mínimo de energía necesario para mantener en funcionamiento los órganos del cuerpo, independientemente de que se trabaje o no. Experimentalmente se ha calculado (Scherrer, 1967) que para un hombre de 70 Kgs. es aproximadamente de 1700 Kcal/día y para una mujer de unos 60 Kgs. de unas 1400 Kcal/día.

Dentro del metabolismo basal se incluye el metabolismo llamado de reposo que se refiere al consumo energético necesario para facilitar la digestión y la termorregulación.

El metabolismo extraprofesional o de ocio es el debido a otras actividades habituales, como puede ser el aseo, vestirse, etc. y que como media se estima (Lehmann, 1960) un consumo de unas 600 Kcal/día para el hombre y de 500 Kcal/día para la mujer.

El metabolismo de trabajo se calcula teniendo en cuenta dos factores:

Para el cálculo de los diferentes factores, en el anexo 1 se incluyen las tablas con los valores promedio según estimaciones de Guelaud, Spitzer, Hettinger y Scherrer.

Límites y normas del consumo energético

En relación al método estudiado en esta Nota Técnica, se puede establecer algunas normas generales que sirvan de referencia para la clasificación de las actividades según su nivel de exigencia.

No obstante hay que tener en cuenta que estos límites están fijados para un hombre adulto medio y sano debiendo ser modificados según una serie de factores como: edad, sexo, constitución física, grado de entrenamiento, etc., que no hay que olvidar a la hora de efectuar la valoración.

Asimismo habrá que considerar, dónde y cómo se realiza la tarea: las condiciones termohigrométricas, el tipo de vestido, las exigencias mentales, etc. también influyen en el grado de penosidad.

Respecto a los límites, en relación al consumo de energía, se admite que para una actividad física profesional, repetida durante varios años, el metabolismo de trabajo no debería pasar de 2000-2500 Kcal/día (Scherrer, 1967 y Grandjean, 1969), cuando se sobrepasa este valor el trabajo se considera pesado.

Conviene resaltar que se trata de valores medios, calculados para grandes periodos de tiempo, prácticamente toda la vida laboral de la persona, pudiéndose alcanzar en determinados momentos valores más altos.

Ejemplo

Consideramos el siguiente caso práctico:

Determinar el consumo energético debido al trabajo (metabolismo de trabajo) de un operario que ocupa el puesto de trabajo de verificación de piezas con metaloscopio.

Para ello dispone de dos metaloscopios, en uno realiza la verificación de piezas pequeñas que extrae por muestreo de unas cestas, y en el otro verifica paliers.

A continuación se detallan las tareas elementales en que podemos descomponer la actividad y el consumo energético de cada una de estas tareas, en función de los valores de las tablas de la I a la IV y del tiempo empleado en cada una.

Carga estática

TAREA 1

Posición de trabajo, de pie ligeramente curvado. Según los datos de la tabla I para un trabajo de pie curvado son: 0,16 Kcal/min. (para la postura de pie normal), más 0,21 Kcal/min. (para posición curvado), es decir 0,37 Kcal/min., tiempo 8 horas.

0,37 Kcal/min. x 60 min. x 8 horas = 178 Kcal/jornada

Tabla I: Carga Estática (Posturas).

(*) No incluye ni el metabolismo de base (1.1 Kcal/min) ni el reposo.
(**) Valores propuestos por Guelaud ed alt. (1975)

Carga dinámica

TAREA 2

Trabajo de verificación de piezas en metaloscopio. Lo consideramos como un trabajo con ambos brazos de tipo medio que representa, según la tabla III 2 Kcal/min., tiempo empleado 5 horas.

2,2 Kcal/min. x 60 min. x 5 horas = 660 Kcal/jornada

Tabla III: Esfuerzos musculares.

(*) Valores propuestos por Lehmann (1960)

TAREA 3

Desplazar cestas de piezas pequeñas con un peso de 15 Kg/unidad y una cantidad de 70 unidades. El desplazamiento de cada cesta son 4 metros, y el desnivel a vencer 1 metro, se emplea 1 hora, según la fórmula de transporte de cargas (E = n[L (K llevar ida + K llevar vuelta) + H (K levantar + K bajar) + H (K subir + K descender)] ), la tabla IV y el Cuadro 1.

E = n [L (K llevar ida + K llevar vuelta) + H (K levantar + K bajar)]

E = 70 [4 (0,047 + 0.059) + 1 (0,60 + 0,26)] = 90 Kcal/jornada

Tabla IV: Manejo de cargas.

(*) Los valores de (4) y (8) se dan en el cuadro 1

Cuadro 1: Consumo según la importancia de la carga desplazada (en Kcal./metro).

(1), (2) y (4) : Valores tomados de Spitzer y Hettinger. (3) y (5) : Estimaciones sobre datos de los mismos autores

TAREA 4

Levantar y descargar paliers para su verificación con un peso cada uno de 8 Kgs. y una cantidad de 200 unidades en toda la jornada, el desnivel a vencer es de 1 metro y la distancia de desplazamiento es de 2 metros, para ello se emplean 2 horas. Según la fórmula del transporte de cargas, la tabla IV y el Cuadro 1.

E = [L (K llevar ida+ K llevar vuelta) + H (K levantar, K bajar)]

E = 200 [2 (0,047 + 0.054) + 1(0,49 + 0,18)] = 175Kcal/jornada

Total de las 4 tareas = 1103 kcal/jornada

En función del resultado, la actividad obtendría la calificación de "trabajo ligero", puesto que 1103 Kcal/jornada < 1600 Kcal/jornada.

Si queremos determinar el consumo energético total, a este valor se tendrá que añadir el consumo correspondiente al metabolismo basal y el extraprofesional o de ocio.

Organización del trabajo pesado

Cuando el trabajo a realizar implica unas exigencias físicas elevadas es necesario organizar el mismo de manera que se consigan los mismos resultados sin que las exigencias sobrepasen los límites normales.

Para ello podemos actuar básicamente de dos maneras:

  1. Mejorando de métodos y medios de trabajo

  2. Introduciendo tiempos de reposo

Mejora de métodos y medios de trabajo

Este sistema consiste en adecuar para cada actividad muscular aspectos como: el ritmo de las operaciones, el peso de las cargas, la dirección de los movimientos, los útiles o las posturas de trabajo, con el fin de conseguir una mejor adecuación entre los músculos que el operario pone en juego y la tarea a realizar, es decir, una mejor utilización de la fuerza disponible.

Existen algunas indicaciones generales al respecto para determinados tipos de actividad. Por ejemplo, combinando el ritmo de trabajo y la adaptación del útil, se ha determinado para un trabajo pesado como es el que se realiza al cargar, descargar o remover con pala manual, que el rendimiento óptimo se obtiene con 12-15 paladas por minuto y con una carga de la pala entre 8 y 10 kgs. (estudios realizados en el Max-Planck-Institut für Arbeitphysiologie de Dortmund, en Alemania). Para el transporte manual de cargas, considerada la forma de trabajo más penosa, se han realizado numerosos estudios. Según Lehmann, 50-60 kgs. constituyen una carga correcta para un rendimiento satisfactorio. Las cargas más ligeras son más fáciles de transportar pero implican un número de idas y venidas suplementarias que aumentan a la postre el consumo total de energía.

Sin tener en cuenta el "viaje de vuelta", la eficacia máxima se obtiene en las siguientes condiciones:

Carga = 35% del peso del cuerpo

Velocidad = 4,5 a 5 Km/hora

En todo esto juegan un papel importante las medidas antropométricas como base para un diseño postural, dimensional y direccional adecuado, especialmente en el caso de puestos de trabajo fijos o semifijos.

Tiempos de reposo

Cuando, una vez optimizados los métodos y medios de trabajo, el metabolismo de trabajo aún sobrepasa los límites admisibles, es necesario prever tiempos de reposo para permitir la recuperación del organismo; puesto que reduciendo el tiempo total de trabajo se reduce el consumo energético.

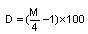
Teniendo en cuenta los valores límites antes apuntados, Lehman y Spitzer han propuesto la fórmula siguiente para calcular el tiempo de reposo en función del consumo energético:

D = Duración del reposo en % de la duración del trabajo

M = Kcal/minuto consumidas en la realización del trabajo

Si consideramos, por ejemplo un trabajo que exige un consumo de 6 Kcal/minuto, el tiempo de reposo necesario sería:

Este 50% nos indica que la duración del reposo debe ser la mitad de lo que dura el trabajo efectivo.

Así, después de una hora de trabajo efectivo, se debería descansar:

Si se quiere saber, dentro de cada hora cuál sería el tiempo de reposo:

El cálculo de los tiempos de reposo por esta fórmula da valores normalmente elevados, aunque pueden ser correctos si la valoración del consumo energético es exacta.

No obstante, tan importante como el cálculo del tiempo de reposo, es determinar cuando se debe descansar, es decir cómo distribuir el tiempo de reposo.

Tablas para la valoración del consumo de energía

Carga estática

Tabla I: Carga Estática (Posturas).

(*) No incluye ni el metabolismo de base (1.1 Kcal/min) ni el reposo.
(**) Valores propuestos por Guelaud ed alt. (1975)

Carga dinámica

Tabla II: Desplazamientos

S=Subir; B=Bajar.
(*) Valores propuestos por Scherrer (1967) para desplazamientos horizontales. Valores propuestos por Spitzer y Hettinger (1966) para desplazamientos verticales.

Tabla III: Esfuerzos musculares.

(*) Valores propuestos por Lehmann (1960)

Tabla IV: Manejo de cargas.

(*) Los valores de (4) y (8) se dan en el cuadro 1

Manejo de cargas

Se utiliza la fórmula propuesta por Spitzer y Hettinger (1966), modificada por F. Guelaud, et alt. (1975):

E = n[L (K llevar de ida + K llevar de vuelta) + H1 (K levantar + K bajar) + H2 (K subir + Kdescender)]

En donde:

E = consumo de energía en Kcal/hora

n = Nº de veces que se realiza una operación

L = longitud del recorrido

H1 = Altura total en metros del levantamiento o bajada

H2 = Desnivel vertical en metros a subir o descender por recorrido

Bibliografía

(1) GRANDJEAN, E.    Précis d'ergonomie
Les éditions d'organisation. París, 1983

(2) GUELAUD, F. et alt.
Pour una analyse des conditions du travail ouvrier dans l'entreprise
A. Colin. París, 1983

(3) LEHMANN, G.  Fisiología práctica del trabajo
Aguilar. Madrid, 1960

(4) LEPLAT, J.   Les facteurs déterminant la charge du travail
Le travail humain, 1977. Vol. 40 nº 2

(5) REGNIER, J.   L'amélioration des conditions de travail dans l'industrie
Masson. París, 1980

(6) SCHERRER, J. et alt.  Physiologie du travail (Tomo 1)
Masson. París, 1967

(7) SPITZER, H. y HETTINGER, TH.
Tables donnant la dépense énergétique en calories pour le travail physique
B.T.E., 1966