Anexo 4: Temperaturas y condensaciones en cerramientos
El aire atmosférico contiene cierta cantidad de vapor de agua que varía de una manera cíclica con los cambios estacionales o circunstancial, dependiendo de la producción esporádica de vapor de agua.
A una temperatura dada el aire no puede contener en estado de vapor más que una cantidad de agua inferior a un nivel máximo denominado de saturación (13 g/kg a 18°C, por ejemplo). Cuando el contenido de vapor de agua es menor (10,4 g/kg, por ejemplo), el aire no está saturado y se caracteriza por su humedad relativa o relación entre el peso o presión de vapor de agua existente y el vapor de agua saturante (10,4/13 = 80 %).
La presión de saturación será más elevada a medida que la temperatura de aire sea más alta, como se ve en el ábaco psicrométrico adjunto al final del anexo. Una masa de aire inicialmente no saturada (80 % a 1 8°C, por ejemplo) llevada a una temperatura más baja puede alcanzar el nivel de saturación sin necesidad de ver modificada su presión de vapor de agua. A partir de este punto parte del vapor de agua se condensará en estado líquido. La temperatura a partir de la cual se produce esta condensación se denomina punto de rocío del ambiente considerado (14°C, en este ejemplo).
Así, pues, se producirá siempre el fenómeno de la condensación cuando el aire descienda su temperatura hasta un nivel igual o inferior a su punto de rocío, o cuando el vapor contenido en el aire se encuentre en contacto con un cerramiento u objeto cuya temperatura sea inferior al punto de rocío.
4.2 Gradiente de temperaturas en los cerramientos
Debido a la diferencia de temperaturas del aire a ambos lados de los cerramientos, se produce un movimiento o flujo de calor desde el lado más caliente al más frío. La magnitud de este intercambio depende directamente de la resistencia térmica que ofrezca dicho cerramiento.
En estado estacionario, este flujo de calor producirá un gradiente de temperatura en el cerramiento que nos permitirá conocer la temperatura de cualquier punto del mismo.
Para realizar este cálculo pueden seguirse dos procedimientos: uno analítico y otro gráfico, resultando éste generalmente más cómodo.
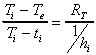
Analíticamente puede establecerse que:
donde:
Ti -es la temperatura del ambiente interior, en °C.
Te -es la temperatura del ambiente exterior, en °C.
ti -es la temperatura superficial interior del cerramiento, en °C.
RT.-es la resistencia térmica total del cerramiento en h m2 °C/kcal (m2 °C/W.
1/hi -es la resistencia térmica superficial interior del cerramiento, en h m2 C/kcal (m2 C/W).
Lo que gráficamente se expresa en las figuras en diagramas de temperaturas-resistencias térmicas y temperaturas-espesor.
En un cerramiento formado por varias hojas la caída de temperatura de cada una de las hojas puede calcularse:
donde:
-caída de temperatura en la hoja n, en °C
Ti y Te -definidos anteriormente
en -espesor de la hoja n, en m
-conductividad térmica de la hoja n, en kcal/h m °C (W/m °C).
RT -definido anteriormente.
rn -resistencia térmica de la hoja n.
-diferencia de temperaturas exterior e interior, te - ti.
La expresión gráfica se da en las figuras adjuntas que permiten calcular gráficamente la temperatura estructural del cerramiento.
4.3 Cálculo de condensaciones superficiales
Los factores que intervienen en la posibilidad de que se produzcan condensaciones superficiales interiores en un cerramiento son:
- Coeficiente de transmisión térmica K del cerramiento.
- Temperatura Ti y humedad relativa HR del ambiente interior (factores que determinan la temperatura o punto de rocío tr ) y
- Temperatura del aire exterior Te.
Como se vio en el apartado 4.2 la diferencia de temperaturas entre el aire interno de un local y los cerramientos que lo delimitan es proporcional al poder aislante de éstas y a la diferencia de temperaturas entre los ambientes interior y exterior. De aquí se deduce que, en un régimen estable de paso de calor, la temperatura superficial interna de una pared se obtiene de la expresión:
donde las notaciones tienen el mismo significado que en 4.2.
Para la resistencia térmica superficial interior 1/hi se tomarán los siguientes valores, tomados de la Tabla 2.1 del Anexo 2.
|
0,13 h m2 °C/kcal, para cerramientos verticales con flujo de calor horizontal. |
|
(0,11) m2 °C/W |
|
0,11 h m2 °C/kcal, para cerramientos horizontales con flujo de calor de abajo |
|
(0,09) m2 °C/W arriba. |
|
0,20 h m2 °C/kcal, para cerramientos horizontales con flujo de calor de arriba |
|
(0,17) m2 °C/W abajo. |
Con los ábacos siguientes puede obtenerse gráficamente el valor de la diferencia entre la temperatura del aire interior
Ti y la temperatura superficial interior ti del cerramiento. Entrando para cada ábaco con la diferencia de temperaturas interior y exterior, Ti-Te, se corta horizontalmente a la recta correspondiente al valor de K del cerramiento y en la vertical se obtiene el valor de la diferencia Ti-ti.Por ejemplo, para una temperatura interior de 18°C, exterior de 0°C y un cerramiento vertical con K= 1,50 kcal/h m2 °C, la diferencia entre la temperatura del ambiente interior y la de la superficie interior del cerramiento será de 3,6°C.
De este valor podremos deducir el de ti, que nos permite saber que no habrá condensaciones superficiales mientras se cumpla la condición:
ti > tr
Siendo tr la temperatura o punto de rocío del ambiente interior a una temperatura Ti y humedad relativa HR dadas.
El valor de tr puede obtenerse en el ábaco psicrométrico adjunto. Análogamente, para unos valores dados de ti y Ti puede determinarse cuál es el valor de la humedad relativa HR interior con la que se producirán condensaciones superficiales.
4.4 Eliminación del riesgo de condensación superficial por renovación de aire
La elevación de la humedad relativa en un local está limitada por la renovación del aire interior por aire con menor presión de vapor procedente del ambiente exterior o de otro local próximo. Si Pvi y Pve son, respectivamente, las presiones de vapor de agua interior y exterior, N el número de renovaciones horarias de aire, el producto (Pvi-Pve)N la cantidad de vapor eliminada, en gramos por hora y por metro cúbico de local y V la cantidad de vapor de agua producida de una manera continua en el tiempo y en el espacio, es decir, en g/m3 h, el riesgo de condensación se evitará cuando:
Siendo Pvi menor o igual a la presión de vapor de saturación a la temperatura superficial interior ti.
La presión de vapor exterior Pve debe estimarse para los cálculos como la correspondiente a la temperatura mínima media del mes más frío con una humedad relativa del 95 %.
La presión de vapor interior Pvi será la correspondiente a la temperatura interior de uso del local con una humedad relativa interior que no podrá ser superior al 75 %, excepto los locales húmedos como cocinas o baños donde eventualmente se admite que sea del 85 %.
Cuando en el local exista un sistema de calefacción seca será suficiente para los cálculos estimar que la humedad relativa interior es del 60 %.
Como orientación a la producción típica de vapor de agua, en una vivienda de tres dormitorios pueden darse 7 kg/día, correspondientes a las siguientes fuentes de emisión:
|
Fuente regular de emisión de vapor |
Cantidad de vapor en kg/día |
|
Cocinado |
3 |
|
Baños y lavado |
1 |
|
Actividad diurna |
1,5 |
|
Sueño |
1,5 |
|
Total: |
7 |
A estas fuentes regulares de emisión de vapor de agua pueden añadirse otras eventuales.
4.5 Eliminación del riesgo de condensación superficial por mejora del aislamiento térmico del cerramiento
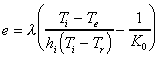
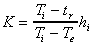
Otra de las vías posibles para evitar la condensación de agua sobre las superficies interiores de un cerramiento exterior es el aumento del aislamiento térmico del cerramiento mediante el suplemento de un material aislante o incremento del espesor del que inicialmente se ha proyectado. A continuación se expone el procedimiento de cálculo del espesor mínimo de este aislamiento suplementario. Sustituyendo en la expresión del apartado 4.3 la temperatura superficial interior t por la temperatura de rocío del aire interior tr y operando, el coeficiente de transmisión de calor queda:
en la que Te es el valor de la temperatura exterior. Si se considera que la resistencia térmica total del muro aislado 1/K es la suma de la resistencia térmica de éste sin aislar 1/Ko más la del aislamiento , se tiene que:
donde:
e -espesor del material aislante suplementario, en m.
-conductividad térmica del aislamiento en kcal/m h °C (W/m °C).
Ko -coeficiente de transmisión de calor del cerramiento sin aislamiento, en kcal/m2 h °C (W/m2 °C)
Sustituyendo en la segunda fórmula el valor de K dado en la primera, y operando se obtiene:
que da el espesor de un aislamiento suplementario de conductividad térmica
A para el cual no se producen condensaciones superficiales en un cerramiento de resistencia térmica 1/Ko para unas condiciones higrométricas del aire ambiente dadas.4.6 Otras recomendaciones para evitar condensaciones superficiales interiores
En climas fríos e incluso templados, no se puede garantizar la ausencia de condensaciones superficiales interiores, especialmente en viviendas, en tanto en cuanto éstas no dispongan de un sistema de calefacción uniforme, y de una correcta ventilación.
En edificios que carezcan de calefacción, el revestimiento interior, preferiblemente será de un material absorbente que no se deteriore con la humedad y se recomienda colocar una pintura fungicida. La calefacción de que estén dotadas algunas de las habitaciones, será preferiblemente seca, y en el caso de que así no lo sea, se recomienda evacuar directamente al exterior los productos de la combustión. En los locales con mayor humedad ambiente, cocinas, aseos y baños, el revestimiento es aconsejable que sea impermeable y deben estar dotados de una extracción de aire permanente, extracción que, en la cocina, es aconsejable que esté localizada en la zona de mayor producción de vapor y dotada de la campana correspondiente.
En los cerramientos con puentes térmicos, se recomienda que la diferencia de temperaturas entre el ambiente interior y las diversas partes del cerramiento cumpla la relación:
Ti -temperatura ambiente interior.
ti .-temperatura superficial interior, que será mínima en el puente térmico y normal en la parte normal del muro.
A estos efectos se consideran fachadas ligeras aquellas cuyo peso por metro cuadrado es inferior a 200 kg, y fachadas pesadas al resto.
4.7 Cálculo de condensaciones en el interior de los cerramientos
El vapor de agua producido en el interior de un local aumenta la presión de vapor del aire ambiente y esto ocasiona una diferencia de presión de vapor entre los ambientes interno y externo en virtud de la cual se produce un proceso de difusión de vapor a través del elemento separador de los dos ambientes, desde el ambiente con más presión de vapor, generalmente el interior, hacia el ambiente con menos presión de vapor, generalmente el exterior.
En este fenómeno de transporte de vapor a través del cerramiento, si en algún punto de su interior la presión de vapor es superior a la de saturación en ese punto, o dicho de otra forma, si la temperatura en ese punto es inferior a la de rocío del vapor en el mismo se producirá condensación de vapor de agua.
Al producirse el fenómeno de condensación existe un desprendimiento de calor. Esto, junto a la influencia de la capilaridad del material, hace que la difusión sea un problema de bastante complejidad, no siempre gobernado por las leyes simples de la difusión de gases, lo que obliga, a efectos prácticos, a la introducción de ciertas hipótesis simplificadoras. Así, el fenómeno de la difusión del vapor de agua en este campo se estudia de una manera análoga al de la transmisión de calor en régimen permanente, es decir, en el proceso inicial de la condensación, cuando la cantidad de agua condensada sea tal que se considere que no ha habido lugar a fenómenos secundarios.
El cálculo para predecir si existirán o no condensaciones en el interior del cerramiento puede abordarse de la siguiente manera :
1º.- Calculando, analítica o gráficamente, la temperatura estructural del cerramiento según el método propuesto en el apartado 4.2.
2º.- Calculando, analítica o gráficamente, la temperatura de rocío correspondiente a todos los puntos del cerramiento desde sus superficies interior a la exterior.
3º.- Comparando ambas temperaturas, en aquellos puntos en que la temperatura del cerramiento sea igual o inferior a la de rocío podrán producirse condensaciones intersticiales.
Planteado anteriormente el cálculo de la temperatura estructural del cerramiento, se plantea en el 2° punto el cálculo de la temperatura de rocío a través del cerramiento. Para ello necesitaremos conocer la resistencia al vapor Rv de los materiales que constituyen el cerramiento.
Esta resistencia es el resultado de multiplicar su resistividad al vapor rv por su espesor.
Los valores de resistividades al vapor rv, o sus inversos: las permeabilidades al vapor dv, se dan en la Tabla 4.2.
Conocida la diferencia de presiones de vapor entre los ambientes interior y exterior Pvi - Pve, la caída de dicha presión a través del cerramiento es directamente proporcional a la resistencia al vapor del mismo. En un cerramiento formado por varias hojas o capas con distintos valores de resistencia al vapor, la caída de presión en cada hoja es análogamente proporcional a la resistencia de dicha hoja.
Puede establecerse así que:
siendo:
-caída de presión de vapor en la hoja n, en mbar.
Pvi -presión de vapor del aire interior, en mbar.
Pve -presión de vapor del aire exterior, en mbar.
Rvn -resistencia al vapor de la hoja n, en MN s/g o mmHg m2 dia/g.
en -espesor de la capa n, en m.
rvn -resistividad al vapor de la capa n, en MN s/g m o mmHg mk dia/g cm.
RvT -resistencia al vapor total del cerramiento en MN s/g o mmHg m2- día/g.
Conocidos punto a punto las presiones de vapor correspondientes al cerramiento es posible por medio del ábaco psicrométrico o de la tabla de presiones de saturación conocer la temperatura de rocío de cada punto.
Esta temperatura de rocío comparada con la estructural nos permitirá conocer punto a punto, de modo analítico o gráfico si es en todo momento inferior a la estructural, con lo cual no existirá riesgo de condensaciones. En caso contrario podremos determinar en qué parte del cerramiento pueden producirse éstas. Este cálculo permite tomar las decisiones que tiendan a evitarlo como inclusión de barreras de vapor, nueva ordenación de las hojas, aumento del espesor del aislamiento, etc.
Gráficamente, este cálculo puede llevarse a las figuras siguientes en las que a titulo de ejemplo se ha dispuesto un cerramiento con tres hojas de materiales y espesores diferentes.
4.8 Prevención de condensaciones en el interior de los cerramientos
En los cerramientos en los que se incluya un material aislante debe comprobarse que no existen condensaciones en el aislamiento. En el caso de que el cerramiento sea una cubierta, se comprobará que no existe condensación en la misma, si bien se podrán admitir condensaciones cuando éstas no perjudiquen al material donde se forman y además puedan ser evacuadas al exterior sin que mojen por transmisión o goteo al material aislante o pueda penetrar en el interior de los locales.
En cerramientos verticales de dos hojas en los que la cámara pueda ir rellena total o parcialmente con el aislamiento se tomarán medidas para lograr que el aislamiento no absorba humedad, como no poner en contacto con la pared exterior el aislamiento, cuando exista la posibilidad de que el agua de lluvia pueda llegar hasta él. Para ello, existirá al menos un centímetro de distancia entre el aislamiento y la hoja exterior, y ésta tendrá los dispositivos de evacuación necesarios para evitar embolsamientos de agua. A titulo de recomendación pueden existir orificios de evacuación con pendiente hacia el exterior, con un diámetro no inferior a 10 mm, y protegidos suficientemente para que no dejen penetrar en el interior de la cámara el agua de lluvia acompañada de presión de viento.
Otra recomendación para evitar la condensación intersticial en cerramientos puede ser el empleo de barreras de vapor que aumentarán la resistencia al paso del vapor en la parte caliente de los cerramientos. En ningún caso deberán colocarse en la parte fría. También puede conseguirse este efecto disminuyendo la resistencia al vapor en la parte fría del cerramiento, que en el caso de muros puede conseguirse, como se dijo anteriormente, con la pequeña ventilación por medio de orificios en el caso de muros o cubiertas con cámara.
En muros con cámara de aire suelen presentarse condensaciones de vapor de agua preferentemente en el lado frío de la cámara.
En cuanto a los acabados interiores absorbentes, éstos hacen posible la absorción del agua de condensación que eventualmente se pueda tolerar, evaporándola al medio ambiente en los momentos de sequedad.
4.9 Abaco psicrométrico y tabla de presiones de vapor
En el ábaco psicrométrico adjunto se muestra la interdependencia de la humedad relativa, en la escala a la izquierda, la temperatura seca en la escala horizontal, y la masa de vapor de agua por masa de aire seco con su equivalencia en presión de vapor, en mbar, en la escala de la derecha.
A título de ejemplo, para aclarar su utilización, puede decirse que si la temperatura seca exterior del aire es 0°C y el aire contiene 3,4 g/kg de aire seco, la humedad relativa es del 90 %, y existe una presión de vapor de 5,4 mbar. Esta puede ser una típica condición del aire en invierno. En el diagrama es el punto A. Este mismo aire, con la misma cantidad de agua por masa de aire seco, calentado a 20°C pasa a tener una humedad relativa del 23 %, lo cual nos demuestra lo que sucede cuando introducimos este aire exterior para ventilación y lo calentamos.
En el diagrama es el punto B. Si a este aire le aportamos 7 g/kg como resultados de actividad es normales en un edificio, a la misma temperatura, su humedad relativa ascenderá al 70 % con una presión de vapor de 16,5 mbar, y un contenido de 10,4 g/kg. En el diagrama es el punto C.
Finalmente, podemos ver que este mismo aire para alcanzar la saturación tendrá que bajar al menos su temperatura a 14,5°C.
En la Tabla 4.1 se dan, a efectos de facilitar los cálculos, las presiones de saturación de vapor de agua en el aire, en mbar, para temperaturas secas comprendidas entre + 25 y - 10°C.
Tabla 4.1
|
Temp. ºC |
.0 |
.1 |
.2 |
.3 |
.4 |
.5 |
.6 |
.7 |
.8 |
.9 |
|
+25 |
31,68 |
31,86 |
32,05 |
32,24 |
32,44 |
32,62 |
32,82 |
33,01 |
33,21 |
33,41 |
|
+24 |
29,84 |
30,01 |
30,20 |
30,38 |
30,56 |
30,74 |
30,93 |
31,12 |
31,30 |
31,49 |
|
+23 |
28,09 |
28,26 |
28,42 |
28,60 |
28,77 |
28,94 |
29,13 |
29,30 |
29,84 |
29,65 |
|
+22 |
26,57 |
26,60 |
26,76 |
26,92 |
27,09 |
27,25 |
27,42 |
27,58 |
27,76 |
27,92 |
|
+21 |
24,86 |
25,02 |
25,17 |
25,33 |
25,48 |
25,64 |
25,80 |
25,96 |
26,12 |
26,28 |
|
+20 |
23,38 |
23,52 |
23,66 |
23.81 |
23.96 |
24.10 |
24.26 |
24.41 |
24.56 |
24.72 |
|
+19 |
21,97 |
22,10 |
22,24 |
22,38 |
22,52 |
22,66 |
22,80 |
22,94 |
23,09 |
23,24 |
|
+18 |
20,64 |
20,76 |
20,89 |
21,02 |
21,16 |
21,29 |
21,42 |
21,56 |
21,69 |
21,82 |
|
+17 |
19,37 |
19,49 |
19,61 |
19,74 |
19,86 |
20,00 |
20,13 |
20,25 |
20,37 |
20,50 |
|
+16 |
18,17 |
18,29 |
18,41 |
18,53 |
18,65 |
18,77 |
18,89 |
19,01 |
19,13 |
19,25 |
|
+15 |
17,05 |
17,16 |
17,97 |
17,39 |
17,49 |
17,60 |
17,72 |
17,83 |
17,95 |
18,07 |
|
+14 |
15,99 |
16,08 |
16,19 |
16,29 |
16,40 |
16,51 |
16,61 |
16,72 |
16,83 |
16,95 |
|
+13 |
14,97 |
15,07 |
15,17 |
15,27 |
15,37 |
15,47 |
15,57 |
15,68 |
15,77 |
15,88 |
|
+12 |
14,03 |
14,12 |
14,21 |
14,31 |
14,40 |
14,49 |
14,59 |
14,68 |
14,77 |
14,88 |
|
+11 |
13,12 |
13,21 |
13,31 |
13,39 |
13,48 |
13,57 |
13,65 |
13,75 |
13,84 |
13,93 |
|
+10 |
12,28 |
12,46 |
12,44 |
12,52 |
12,61 |
12,69 |
12,77 |
12,87 |
12,95 |
13,04 |
|
+9 |
11,48 |
11,56 |
11,64 |
11,72 |
11,79 |
11,87 |
11,95 |
12,03 |
12,12 |
12,20 |
|
+8 |
10,72 |
10,80 |
10,87 |
10,95 |
11,03 |
11,09 |
11,17 |
11,25 |
11,32 |
11,40 |
|
+7 |
10,01 |
10,08 |
10,16 |
10,23 |
10,29 |
10,36 |
10,44 |
10,51 |
10,59 |
10,65 |
|
+6 |
9,35 |
9,41 |
9,48 |
9,55 |
9,61 |
9,68 |
9,75 |
9,81 |
9,88 |
9,95 |
|
+5 |
8,72 |
8,79 |
8,84 |
8,91 |
8,97 |
9,03 |
9,02 |
9,16 |
9,23 |
9,28 |
|
+4 |
8,13 |
8,19 |
8,25 |
8,31 |
8,36 |
8,43 |
8,48 |
8,55 |
8,60 |
8,67 |
|
+3 |
7,57 |
7,63 |
7,68 |
7,75 |
7,80 |
7,85 |
7,91 |
7,96 |
8,01 |
8,08 |
|
+2 |
7,05 |
7,11 |
7,16 |
7,21 |
7,27 |
7,32 |
7,36 |
7,41 |
7,47 |
7,52 |
|
+1 |
6,57 |
6,61 |
6,67 |
6,71 |
6,76 |
6,81 |
6,85 |
6,81 |
6,96 |
7,01 |
|
+0 |
6,11 |
6,15 |
6,20 |
6,24 |
6,28 |
6,33 |
6,37 |
6,43 |
6,47 |
6,52 |
|
-0 |
6,11 |
6,05 |
6,00 |
5,96 |
5,91 |
5,87 |
5,81 |
5,76 |
5,72 |
5,67 |
|
-1 |
5,63 |
5,57 |
5,53 |
5,48 |
5,44 |
5,39 |
5,35 |
5,31 |
5,25 |
5,21 |
|
-2 |
5,17 |
5,13 |
5,08 |
5,04 |
5,00 |
4,96 |
4,92 |
4,88 |
4,84 |
4,80 |
|
-3 |
4,76 |
4,72 |
4,68 |
4,64 |
4,60 |
4,56 |
4,52 |
4,48 |
4,44 |
4,40 |
|
-4 |
4,27 |
4,33 |
4,29 |
4,25 |
4,23 |
4,19 |
4,15 |
4,12 |
4,08 |
4,04 |
|
-5 |
4,01 |
3,97 |
3,95 |
3,91 |
3,88 |
3,84 |
3,81 |
3,77 |
3,75 |
3,71 |
|
-6 |
3,68 |
3,65 |
3,61 |
3,59 |
3,56 |
3,52 |
3,49 |
3,47 |
3,44 |
3,40 |
|
-7 |
3,37 |
3,35 |
3,32 |
3,29 |
3,27 |
3,23 |
3,20 |
3,17 |
3,15 |
3,12 |
|
-8 |
3,09 |
3,07 |
3,04 |
3,01 |
2,99 |
2,96 |
2,93 |
2,91 |
2,88 |
2,85 |
|
-9 |
2,83 |
2,81 |
2,79 |
2,76 |
2,73 |
2,71 |
2,69 |
2,67 |
2,64 |
2,61 |
|
-10 |
2,60 |
2,57 |
2,55 |
2,52 |
2,51 |
2,48 |
2,45 |
2,44 |
2,41 |
2,40 |
Presión de saturación
Ps en mbar del vapor de agua a temperaturas secas entre +25°C y -10°C.4.10 Permeabilidad al vapor de materiales empleados en cerramientos
Los datos que aparecen en estas tablas de algunos materiales utilizables en cerramientos, son valores típicos indicativos para los cálculos que se precisan en esta Norma. Pueden tomarse valores más estrictos cuando el material disponga de datos avalados por Marca o Sello de Calidad y en su defecto se disponga de ensayos realizados en los últimos dos años por laboratorios oficiales.
Los valores aparecen en unidades tradicionales y entre paréntesis en el Sistema Internacional S.l.
Los valores de las tablas se dan, a efectos de facilitar los cálculos, en forma de resistividades y resistencias al vapor, es decir, los valores inversos de la permeabilidad y permeancia respectivamente, que suelen ser los datos ofrecidos por los fabricantes.
Tabla 4.2 Resistividades al vapor de agua
|
Material |
Resistividad al vapor rv (1) |
Resistividad al vapor rv (1) |
|
Aire en reposo (cámaras) |
5,5 |
0,004 |
|
Aire en movimiento (cámaras ventiladas) |
0 |
0 |
|
Fábrica de ladrillo macizo |
55 |
0,048 |
|
Fábrica de ladrillo perforado |
36 |
0,031 |
|
Fábrica de ladrillo hueco |
30 |
0,026 |
|
Fábrica de piedra natural |
150-450 |
0,13-0,39 |
|
Enfoscados y revocos |
100 |
0,087 |
|
Enlucidos de yeso |
60 |
0,052 |
|
Placas de amianto-cemento |
1,6-3,5 |
0,001-0,003 |
|
Hormigón con áridos normales o ligeros |
30-100 |
0,026-0,086 |
|
Hormigón aireado con espumantes |
20 |
0,017 |
|
Hormigón celular curado al vapor |
77 |
0,06 |
|
Madera |
45-75 |
0,039-0,065 |
|
Tablero aglomerado de partículas |
15-60 |
0,013-0,052 |
|
Contrachapado de madera |
1500-6000 |
1,30-5,20 |
|
Hormigón con fibra de madera |
15-40 |
0,013-0,035 |
|
Cartón-yeso, en placas |
45-60 |
0,039-0,052 |
|
AISLANTES TÉRMICOS |
. |
. |
|
Aglomerado de corcho UNE 56.904 |
92 |
0,08 |
|
Espuma elastomérica |
48000 |
41,6 |
|
Fibra de vidrio (2) |
9 |
0,007 |
|
Lana mineral: Tipos I y II |
9,6 |
0,008 |
|
Tipos lIl, IV y V |
10,5 |
0,009 |
|
Perlita expandida |
0 |
0 |
|
Poliestireno expandido UNE 53.310: |
. |
. |
|
Tipo I |
138 |
0,12 |
|
Tipo II |
161 |
0,14 |
|
Tipo lIl |
173 |
0,15 |
|
Tipo IV |
207 |
0,18 |
|
Tipo V |
253 |
0,22 |
|
Poliestireno extrusionado |
523-1047 |
0,45-0,90 |
|
Polietileno reticulado |
9600 |
8,33 |
|
Poliisocianurato, espuma de |
77 |
0,06 |
|
Poliuretano aplicado in situ, espuma de: |
. |
. |
|
Tipo I |
96 |
0,083 |
|
Tipo II |
127 |
0,111 |
|
Tipo lIl |
161 |
0,142 |
|
Tipo IV |
184 |
0,166 |
|
Poliuretano aplicado in situ, espuma de: |
. |
. |
|
Tipo I |
76 |
0,066 |
|
Tipo II |
82 |
0,071 |
|
Urea formaldehido, espuma de |
20-30 |
0,017-0,026 |
|
(1) Es el inverso de la permeabilidad al vapor dv.(2) Cualquier tipo sin incluir protecciones adicionales que pudieran constituir barrera de vapor. |
||
Tabla 4.3 Resistencia al vapor de agua
|
Materiales en forma de lámina (1) |
Resistencia al vapor (2) |
Resistencia al vapor (2) |
|
Hoja de aluminio de 8 micras |
4000 |
347 |
|
Lámina de polietileno de 0,05 mm |
103 |
9 |
|
Lámina de polietileno de 0,10 mm |
230 |
20 |
|
Lámina de poliéster de 25 micras |
24 |
2,08 |
|
Papel Kraft con oxiasfalto |
9,7 |
0,84 |
|
Papel Kraft |
0,43 |
0,037 |
|
Pintura al esmalte |
7,5-40 |
0,65-3,48 |
|
Papel vinílico de revestimiento |
5-10 |
0,43-0,86 |
|
(1) Pueden considerarse como barreras de vapor aquellos materiales laminares cuya resistencia al vapor está comprendida entre 10 y 230 MN s/g (0,86 y 20 mmHg m2 día/g). |
||