Anexo 2: Cálculo del coeficiente de transmisión de calor K de cerramientos

    2.1 Cerramiento simple

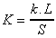
    Para un cerramiento de caras planoparalelas, formado por un material homogéneo de conductividad térmica y espesor L, con coeficientes superficiales de transmisión de calor hi y he, el coeficiente de transmisión de calor K, también llamado <<aire-aire>>, viene dado por la expresión:

    En la Tabla 2.1 se dan los valores de 1/hi, 1/he y 1/hi + 1/he que deben estimarse para los cálculos, en función de la posición, del cerramiento y del sentido del flujo de calor, y de la situación del cerramiento.

 

    Tabla 2.1

Posición del cerramiento y sentido del flujo de calor

Situación del cerramiento:
De separación con espacio exterior o local abierto

Situación del cerramiento:
De separación con otro local desván o cámara de aire

1/hi

1/he

1/hi + 1/he

1/hi

1/he

1/hi + 1/he

Cerramientos verticales o con pendiente sobre la horizontal. >60° y flujo horizontal

0,13
(0,11)

0,07
(0,06)

0,20
(0,17)

0,13
(0,11)

0,13
(0,11)

0,26
(0,22)

Cerramientos horizontales o con pendiente sobre la horizontal 60° y flujo ascendente

0,11
(0,09)

0,06
(0,05)

0,17
(0,14)

0,11
(0,09)

0,11
(0,09)

0,22
(0,18)

Cerramientos horizontales y flujo descendente

0,20
(0,17)

0,06
(0,05)

0,26
(0,22)

0,20
(0,17)

0,20
(0,17)

0,40
(0,34)

Resistencias térmicas superficiales en m2 h °C/kcal (m2 °C/W)

    

    2.2 Cerramiento compuesto

    En los cerramientos formados por una serie de láminas planoparalelas de distintos materiales, el coeficiente K del conjunto se obtiene de la fórmula siguiente:

donde es la suma de las resistencias térmicas de las diferentes láminas que conforman el cerramiento. Si el cerramiento tiene heterogeneidades regularmente repartidas, pero importantes (huecos de los ladrillos y bloques),.en el cálculo de K puede introducirse el concepto de resistencia térmica útil Ru por unidad de superficie, quedando la expresión:

    2.3 Cerramiento con cámara de aire

    Las cámaras de aire pueden ser consideradas por su resistencia térmica ya que la transmisión de calor por radiación y convección a su través es proporcional a la diferencia de temperatura de las paredes que los delimitan.

    La resistencia térmica de los espacios de aire depende de la absorción de las superficies, del espesor de la cámara, del sentido del flujo del calor, de la inclinación y de la temperatura de los espacios, así como del movimiento del aire dentro de ellas.

    2.3.1 Cámaras de aire no ventiladas

    La Tabla 2.2 da los valores que deben estimarse para los cálculos de la resistencia térmica al paso del calor de las cámaras de aire continuas, considerando al aire en reposo. Los valores están dados en función de la situación de la cámara de aire, de la dirección del flujo de calor y de su espesor, para cámaras formadas por materiales constructivos corrientes.

    Tabla 2.2

Situación de la cámara y dirección del flujo de calor

Espesor de la cámara, en mm

10

20

50

100

³150

Cámara de aire vertical y flujo horizontal

0,16
(0,14)

0,19
(0,16)

0,21
(0,18)

0,20
(0,17)

0,19
(0,16)

Cámara de aire horizontal y flujo ascendente

0,16
(0,14)

0,17
(0,15)

0,19
(0,16)

0,19
(0,16)

0,19
(0,16)

Cámara de aire horizontal y flujo descendente

0,17
(0,15)

0,21
(0,18)

0,24
(0,21)

0,24
(0,21)

0,24
(0,21)

Resistencia térmica de la cámara Rc en m2 h °C/kcal (m2 °C/W)

    

    2.3.2 Cámaras de aire ventiladas

    El grado de ventilación de las cámaras de aire se caracteriza por la relación entre la sección total de los orificios de ventilación S. expresada en cm2, y la longitud del cerramiento L, expresada en m, para cerramientos verticales, o la superficie del cerramiento A, expresada en m2, en el caso de cerramientos horizontales.

    Se consideran tres casos:

    Caso l: Cerramientos con cámara de aire débilmente ventilada

    Se consideran las cámaras sin ventilación o con ventilación débil cuando se cumplen las siguientes relaciones:

    S/L < 20 cm2/m para cerramientos verticales

    S/A < 3 cm2/m2 para cerramientos horizontales

    El cálculo del coeficiente K del cerramiento se realiza mediante la expresión:

donde:

    Ri es la resistencia térmica de la hoja interior del cerramiento.

    Rc es la resistencia térmica de la cámara de aire calculada según apartado anterior.

    Re es la resistencia térmica de la hoja exterior del cerramiento.

    Caso ll: Cerramientos con cámara de aire medianamente ventilada

    Se consideran las cámaras medianamente ventiladas cuando se cumplen las siguientes relaciones:

    20 S/L < 500 cm2/m para cerramientos verticales

    3 S/A < 30 cm2/m2 para cerramientos horizontales

    El coeficiente K de este cerramiento viene dado por:

    K = K1 + a(K2 - K1) en kcal/h m2 °C (W/m2 °C)

    Siendo:

    K1 Coeficiente K calculado por la fórmula del Caso I.

    K2 Coeficiente K calculado por la primera fórmula del Caso lIl.

    Coeficiente de ventilación de la cámara y que toma el valor de la tabla siguiente para cerramientos verticales y de 0,4 para los horizontales.

    Tabla 2.3

Relación de resistencias térmicas de las hojas Re /Ri

Relación S/L en cm2/m
20 a 200

Relación S/L en cm2/m
200 a 500

< 0,1

0,10

0,25

0,1 a 0,6

0,20

0,45

0,6 a 1,2

0,30

0,60

Coeficiente a de ventilación de cámaras verticales.

    

    Caso lIl: Cerramientos con cámara de aire muy ventilada

    Se consideran las cámaras muy ventiladas cuando se cumplen las siguientes relaciones:

S/L 500 cm2/m para cerramientos verticales

S/A 30 cm2/m2 para cerramientos horizontales

Para realizar el cálculo de la K de este cerramiento se considera inexistente la hoja exterior, si bien entonces el aire exterior se considera en calma. El coeficiente K se calcula de la expresión:

donde:

         - Para cerramientos verticales:

         - Para cerramientos horizontales con flujo ascendente (techos):

         - Para cerramientos horizontales con flujo descendente (suelos):

    Si la hoja exterior del cerramiento consiste en una pantalla o protección situada a cierta distancia, el espacio de aire está totalmente abierto con lo que el ambiente exterior no puede considerarse en calma. Entonces, el coeficiente K se calcula por la fórmula:

donde: (1/hi+1/he) toma los valores dados en la Tabla 2.1 para cerramientos de separación con el ambiente exterior.

    2.4 Cerramientos de espesor variable

    2.4.1 Cerramientos con hojas de espesor variable

    Para la obtención del coeficiente K se considerará el espesor medio de las hojas de espesor variable, aplicándose las fórmulas dadas en los epígrafes 2.1 Cerramiento Simple y 2.2 Cerramiento Compuesto.

    2.4.2 Cerramientos con cámara de aire de espesor variable

    Este apartado se refiere principalmente a espacios como desvanes que conforman una cámara de aire de espesor variable.

    La ventilación de la cámara de aire se caracteriza por la relación entre la sección total de los orificios de ventilación S. expresada en cm2, y la superficie Ai del forjado que lo separa del local habitable, expresada en m2.

    El coeficiente de transmisión térmica K que se define a continuación es igual al flujo de calor que atraviesa 1 m2 de forjado para una diferencia de temperatura entre el Iocal y el exterior de 1 °C

    Al igual que en el apartado anterior se consideran tres casos:

    Caso l: Cerramientos con cámara de aire débilmente ventilada

    Se considera que la cámara no está o está débilmente ventilada cuando: S/Ai < 3 cm2/m2

    El cálculo se realiza igual que si la cámara no estuviera ventilada. Es decir:

donde:

Kf es el coeficiente de transmisión de calor del forjado en cuyo cálculo se ha tomado:

es la suma de los productos de Ke . Ae. de los cerramientos exteriores que delimitan el espacio de aire, donde Ke es su coeficiente de transmisión de calor y Ae su superficie.

    Caso ll: Cerramientos con cámara de aire medianamente ventilada

    Se considera que la cámara está medianamente ventilada cuando:

    3 S/Ai 30 cm2/m2

    En este caso:

donde: Kf, Ke, Ae y Ai tienen el mismo significado que en el Caso I anterior. a es un coeficiente igual a 4,3 kcal/m2 h °C (5W/m2 °C)

        Caso III: Cerramientos con cámara de aire muy ventilada

    Se considera que la cámara está muy ventilada cuando:

    S/Ai 30 cm2/m2

    El coeficiente K se calcula en este caso con la fórmula dada en Caso lIl del epígrafe 2.3.2.

    2.5 Cerramientos en contacto con el terreno

    2.5.1 Cálculo simplificado

    El coeficiente de transmisión térmica K de un elemento en contacto con el terreno se calculará con la fórmula:

por considerarse nula la resistencia superficial exterior 1/he.

    El valor de 1/hi se tomará de la Tabla 2.1 en función de la posición del elemento separador del terreno y el sentido del flujo de calor, siendo la conductividad térmica de los elementos que forman el cerramiento en contacto con el terreno y L sus espesores. En el caso de muros semienterrados, el coeficiente K de la parte no enterrada se calculará como se indicó anteriormente.

    Cuando el cerramiento horizontal esté separado del terreno por una cámara de aire. se calculará de acuerdo con el apartado 2.5.4.

    2.5.2 Cálculo por el método del coeficiente de transmisión térmica lineal k para soleras y muros en contacto con el terreno

    Con este método no se emplea la noción del coeficiente de transmisión térmica K a través de una superficie, sino que se utiliza el concepto de coeficiente de transmisión térmica lineal k, que es igual al flujo de calor que sale del local por metro de perímetro exterior del terreno o del muro considerado, por 1°C de diferencia de temperatura entre el local y el ambiente exterior. Este coeficiente se expresa en kcal/m h °C (W/m °C).

    Una vez obtenido el k de un cerramiento puede obtenerse el K con la siguiente fórmula:

    Siendo L la longitud de perímetro del cerramiento y S la superficie de la solera o muro.

    Se consideran cuatro casos:

    Caso l: Soleras en contacto con el terreno

    Se consideran en este apartado las soleras a nivel con el terreno o como máximo 0,50 m por debajo de éste.

    Para soleras sin aislamiento térmico se tomará el valor del coeficiente k = 1,5 kcal/h m °C (1,75 W/m °C). Este valor puede mejorarse colocando un aislamiento térmico de cualquiera de las maneras que se indican en las figuras siguientes. En este caso el coeficiente k viene dado por la Tabla 2.4, en función de la resistencia térmica ri del aislante y por su anchura a.

    Tabla 2.4

Resistencia térmica ri del aislamiento en h m2 °C/kcal (m2 °C/W)

Ancho a de la banda de aislamiento en m

0,3

0,6

1,2

³ 3,0

0,2
(0,17)

1,35
(1,57)

1,31
(1,52)

1,28
(1,48)

1,26
(1,46)

0,4
(0,34)

1,28
(1,48)

1,20
(1,39)

1,15
(1,33)

1,11
(1,29)

0,6
(0,51)

1,22
(1,41)

1,13
(1,31)

1,06
(1,23)

1,01
(1,17)

0,8
(0,66)

1,18
(1,37)

1,07
(1,24)

0,99
(1,15)

0,93
(1,08)

1,0
(0,86)

1,15
(1,33)

1,03
(1,19)

0,93
(1,08)

0,86
(1,00)

1,2
(1,03)

1,13
(1,31)

0,99
(1,15)

0,88
(1,02)

0,80
(0,93)

1,4
(1,20)

1,11
(1,29)

0,97
(1,12)

0,84
(0,97)

0,75
(0,87)

1,6
(1,37)

1,09
(1,26)

0,95
(1,10)

0,81
(0,94)

0,71
(0,82)

1,8
(1,54)

1,07
(1,24)

0,93
(1,08)

0,78
(0,90)

0,67
(0,77)

2,0
(1,72)

1,06
(1,23)

0,91
(1,05)

0,76
(0,88)

0,63
(0,73)

Coeficiente de transmisión térmica lineal k de la solera en kcal/h m °C (W/m °C)

    

    Caso ll: Muros semienterrados

    El coeficiente k se determina por la Tabla 2.5, en función del coeficiente de transmisión térmica del muro enterrado Km y de la profundidad de la parte enterrada z. Para el cálculo del coeficiente Km se considera la suma de las resistencias térmicas superficiales igual a 0,21 m2 h °C/kcal (0,18 m2 °C/W).

    Tabla 2.5

Coeficiente de transmisión térmica Km del muro enterrado en kcal/h m2 °C (W/m2 °C)

Profundidad z de la parte enterrada del muro, en m

0,5

1

2

3

4

³6

0,6
(0,69)

0,26
(0,30)

0,47
(0,54)

0,79
(0,91)

1,03
(1,19)

1,22
(1,41)

1,52
(1,76)

0,8
(0,93)

0,34
(0,39)

0,59
(0,68)

0,96
(1,11)

1,22
(1,41)

1,44
(1,67)

1,76
(2,04)

1,0
(1,16)

0,41
(0,47)

0,70
(0,81)

1,11
(1,29)

1,39
(1,61)

1,62
(1,88)

1,96
(2,27)

1,2
(1,39)

0,48
(0,55)

0,80
(0,98)

1,24
(1,44)

1,54
(1,79)

1,77
(2,05)

2,12
(2,46)

1,4
(1,62)

0,54
(0,62)

0,89
(1,03)

1,35
(1,57)

1,66
(1,93)

1,90
(2,20)

2,25
(2,61)

1,6
(1,86)

0,60
(0,69)

0,97
(1,12)

1,45
(1,68)

1,78
(2,07)

2,02
(2,34)

2,37
(2,75)

1,8
(2,09)

0,64
(0,74)

1,04
(1,20)

1,55
(1,80)

1,88
(2,18)

2,12
(2,46)

2,47
(2,87)

2,0
(2,32)

0,70
(0,81)

1,11
(1,29)

1,63
(1,89)

1,97
(2,29)

2,20
(2,55)

2,56
(2,97)

2,2
(2,55)

0,75
(0,87)

1,18
(1,37)

1,70
(1,97)

2,05
(2,38)

2,29
(2,66)

2,65
(3,08)

2,4
(2,79)

0,80
(0,93)

1,23
(1,43)

1,78
(2,07)

2,12
(2,46)

2,37
(2,75)

2,73
(3,17)

2,6
(3,02)

0,84
(0,97)

1,29
(1,50)

1,84
(2,13)

2,19
(2,54)

2,44
(2,83)

2,80
(3,25)

2,8
(3,25)

0,89
(1,03)

1,34
(1,55)

1,90
(2,20)

2,24
(2,60)

2,52
(2,93)

2,87
(3,33)

3,0
(3,48)

0,93
(1,08)

1,40
(1,62)

1,96
(2,27)

2,30
(2,67)

2,60
(3,02)

2,95
(3,43)

Coeficiente de transmisión térmica lineal k del muro enterrado en kcal/h m ºC (W/m ºC)

    

    Caso lIl: Muros totalmente enterrados

    El coeficiente k se obtiene de la expresión: k = ks - kp

    Donde ks y kp son los coeficientes k dados en la tabla del apartado anterior, donde:

    ks es el que se obtiene al hacer z = zs

    kp es el que se obtiene al hacer z = zp

    zs y zp son las alturas definidas en la figura.

    Para entrar en la tabla, el coeficiente k es siempre el coeficiente de transmisión térmica del muro enterrado comprendido entre las cotas zs y zp.

    Caso IV: Soleras de sótanos enterradas

    Se consideran enterradas las soleras cuando la diferencia de cotas entre el terreno y ellas es superior a 0,50 m. El coeficiente k se obtiene del ábaco siguiente, en función de la profundidad z a que esté situada la solera.

    Tabla 2.6

Profundidad z de la solera en m

0,5

1

2

3

4

5

> 6

Coeficiente de transmisión térmica lineal k de la solera enterrada en kcal/h m °C (W/m °C)

1,50
(1,74)

0,87
(1,01)

0,57
(0,66)

0,35
(0,40)

0,20
(0,23)

0,10
(0,11)

0
(0)

 

    2.5.3 Cálculo de K para forjados enterrados y azoteas ajardinadas

    El coeficiente de transmisión térmica K viene dado por la fórmula siguiente:

    Donde:

    Rf - es la resistencia interna del forjado expresada en m2 h °C/kcal (m2 °C/W).

    e - es el espesor del terreno por encima del forjado, expresado en m.

    2.5.4 Cálculo de K para forjados sobre cámara de aire

    Este método de cálculo es aplicable para cámaras de aire de una altura inferior o igual a 1 m. En caso contrario, la cámara se considerará como un local y su coeficiente K se calculará según los apartados 2.1 ó 2.2, donde 1/he tomará los valores dados en la Tabla 2.1 para cerramientos exteriores.

    El coeficiente de transmisión térmica definido por la fórmula siguiente es igual al flujo de calor que atraviesa 1 m2 de forjado, por 1°C de diferencia de temperatura entre este local y el ambiente exterior.

Donde:

    Kf es el coeficiente de transmisión térmica del forjado que separa el local de la cámara de aire, en kcal/m2 h °C (W/m2°C), y calculado tomando la suma de las resistencias superficiales (1/hi+1/he) igual a 0,34 m2 h °C/kcal (0,29 m2 °C/W).

    Iex es el perímetro exterior de la cámara de aire en m.

    A es la superficie de la cámara de aire en m2.

    a es un coeficiente cuyo valor se da en la tabla siguiente, en función de la relación entre la sección total de las aberturas de ventilación S. en cm2 y la superficie de la cámara de aire A. en m2.

    Tabla 2.7.

Relación S/A en cm2/m2

Coeficiente a en

kcal/m2 h ºC

(W/m2 ºC)

Cámara de aire muy ventilada ³10

1,4

(1,6)

Cámara de aire medianamente ventilada 2 -10

0,35

(0,4)

Cámara de aire muy poco ventilada < 2

0,0

(0,0)

    2.6 Coeficiente útil de transmisión de calor

    2.6.1 Generalidades

    Las edificaciones nunca están delimitadas por un cerramiento normalmente homogéneo y continuo, longitudinal y transversalmente. Los huecos, los elementos estructurales, los encuentros entre forjados y muros, las juntas y uniones con mortero, anclajes tanto de los paneles prefabricados como de ladrillos y bloques, etc., hacen que dicha superficie envolvente de los cerramientos, a través de las cuales tiene lugar los procesos de transmisión del calor y de la difusión del vapor de agua entre los dos ambientes que separa, presente ciertas heterogeneidades que van a influir decisivamente en las características que regularán el equilibrio térmico del sistema edificio-clima exterior.

    Por consiguiente, si la homogeneidad de una pared o cubierta se ve interrumpida por la intersección de otro elemento de mayor conductividad térmica, pilar o vigas metálicas, por ejemplo, la cantidad de calor que atraviesa la sección de este material será mayor que la que atraviesa otra sección cualquiera del resto de la pared o cubierta. Es decir, que la densidad de líneas de flujo de calor en esta zona es superior a la del resto del cerramiento.

    A esta parte de mayor densidad de peso de calor se le denomina punto débil de transmisión de calor o puente térmico.

    Los cerramientos con puentes térmicos definen su poder aislante mediante un coeficiente útil de transmisión de calor en cuyo cálculo deben tenerse en cuenta las características termofísicas y geométricas del elemento constitutivo del puente térmico.

    2.6.2 Cerramientos con heterogeneidades simples

    Se dice que una heterogeneidad es simple cuando ésta queda perfectamente definida y delimitada por dos planos perpendiculares a las caras del cerramiento, así como cuando en la constitución del conjunto del cerramiento, no existen flujos de calor laterales realmente importantes entre la parte heterogénea y el resto del cerramiento. Termofísicamente hablando la heterogeneidad viene definida por un coeficiente de transmisión térmica distinto, mayor o menor, que el del resto del cerramiento.

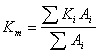
    El método del cálculo del coeficiente de transmisión térmica útil medio del cerramiento se basa en la descomposición de éste en elementos homogéneos en los que se determina su correspondiente K.

    Es decir:

siendo Ai la superficie del cerramiento a que corresponde un coeficiente de transmisión igual a Ki.

    De este modo, la resistencia térmica de un bloque hueco, como el que muestra la figura, con secciones alternativas de material sólido y cámara de aire, puede ser deducida por este procedimiento siempre que el espesor del espacio de aire sea igual o mayor a 20 mm y suficientemente grande en comparación con su espesor total. Sin embargo, en el caso de ladrillos huecos no puede seguirse este método dado que los espacios de aire no cumplen esas condiciones, por lo que su resistencia térmica útil puede obtenerse de la tabla que se da al final de este Anexo.

    2.6.3 Cerramientos con heterogeneidades complejas

    A continuación se explica el sistema de cálculo de cerramientos con las heterogeneidades complejas que suelen ser más frecuentes en construcción.

    Se consideran dos casos:

    Caso I: Cerramientos con un entramado de perfil metálico

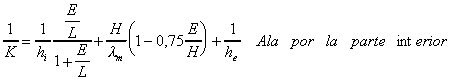
    Se sigue el mismo procedimiento de cálculo del apartado anterior. La heterogeneidad compleja se asimila a una simple en la que la anchura y el coeficiente de transmisión K son los siguientes:

         - Para perfiles en I:

    La anchura de la heterogeneidad equivalente es la longitud L del ala del perfil. La K equivalente se deduce de:

    donde es la conductividad térmica del metal del perfil, y E, L y H son las dimensiones acotadas en la figura, expresadas en m.

         - Para perfiles en U:

    La anchura de la heterogeneidad equivalente es la longitud L del ala del perfil. La K equivalente se deduce de:

con las mismas notaciones que en el párrafo anterior.

         - Para perfiles en T:

    La anchura equivalente de la heterogeneidad E, es la del alma del perfil, y el coeficiente K equivalente se deduce de las expresiones siguientes:

con las mismas unidades y notación que anteriormente.

    Caso ll: Cerramiento de paneles de hormigón con relleno de material aislante.

    En este caso se sigue empleando el método de la ecuación del apartado 2.6.2, pero mayorando las superficies del entramado o parte maciza y minorando las de las partes normales del cerramiento. La mayoración de la superficie de los entramados o partes macizas se obtiene de aumentar su anchura real en una cantidad x dada por el ábaco adjunto en función de:

a)espesor total del hormigón (ei+ ee) en metros, y

b)de la relación ei/(ei + ee).

    Los limites de aplicación de este método son los siguientes:

a) Conductividad térmica útil del aislante, inferior a 0,05 kcal/m h °C (0,06 W/m °C).

b) La distancia media entre entramados o partes macizas es superior a tres veces su anchura media.

    Sobre los bordes de estos cerramientos la mayoración y minoración de superficies es de x/2.

    2.7 Conductividades térmicas de materiales empleados en cerramientos

    Los datos que aparecen en esta tabla de algunos materiales utilizables en cerramientos, son valores típicos indicativos para los cálculos que se precisan en esta Norma. Pueden tomarse valores más estrictos cuando el material disponga de datos avalados por Marca o Sello de Calidad y en su defecto se disponga de ensayos realizados en los últimos dos años por laboratorios oficiales.

    Los valores aparecen en unidades tradicionales y entre paréntesis en el sistema Internacional S.l., y están dados para una temperatura de 0°C.

    Tabla 2.8

Material

Densidad
aparente
kg/m3

Conductividad térmica

kcal/hm °C

W/m °C

ROCAS Y SUELOS NATURALES

 

 

 

-Rocas y terrenos

 

 

 

- Rocas compactas

2500-3000

3,00

3,50

- Rocas porosas

1700-2500

2,00

2,33

- Arena con humedad natural

1700

1,20

1,40

- Suelo coherente humedad natural

1800

1.80

2,10

- Arcilla

2100

0,80

0,93

Materiales suelos de relleno desecados al aire, en forjados, etc.

 

 

 

- Arena

1500

0,50

0,58

- Grava rodada o de machaqueo

1700

0,70

0,81

- Escoria de carbón

1200

0,16

0,19

- Cascote de ladrillo

1300

0,35

0,41

PASTAS, MORTEROS Y HORMIGONES

 

 

 

Revestimientos continuos

 

 

 

- Morteros de cal y bastardos

1600

0,75

0,87

- Mortero de cemento

2000

1,20

1,40

- Enlucido de yeso

800

0,26

0,30

- Enlucido de yeso con perlita

570

0,16

0,18

Hormigones normales y ligeros

 

 

 

- Hormigón armado (normal)

2400

1,40

1,63

- Hormigón con áridos ligeros

600

0,15

0,17

- Hormigón con áridos ligeros

1000

0,28

0,33

- Hormigón con áridos ligeros

1400

0,47

0,55

- Hormigón celular con áridos siliceos

600

0,29

0,34

- Hormigón celular con áridos siliceos

1000

0,58

0,67

- Hormigón celular con áridos siliceos

1400

0,94

1,09

- Hormigón celular sin áridos

305

0,08

0,09

Hormigón en masa con grava normal:

 

 

 

 con áridos ligeros

1600

0,63

0,73

 con áridos ordinarios, sin vibrar

2000

1,00

1,16

 con áridos ordinarios, vibrado

2400

1,40

1,63

- Hormigón en masa con arcilla expandida Hormigón en masa con arcilla expandida

500

0,10

0,12

- Hormigón en masa con arcilla expandida Hormigón en masa con arcilla expandida

1500

0,47

0,55

Fábrica de bloques de hormigón incluidas juntas (1)

 

 

 

- Con ladrillos silicocalcáreos macizo

1600

0,68

0,79

- Con ladrillos silicocalcáreos perforado

2500

0,48

0,56

- Con bloques huecos de hormigón

1000

0,38

0,44

- Con bloques huecos de hormigón

1200

0,42

0,49

- Con bloques huecos de hormigón

1400

0,48

0,56

- Con bloques hormigón celular curado vapor

600

0,30

0,35

- Con bloques hormigón celular curado vapor

800

0,35

0,41

- Con bloques hormigón celular curado vapor

1000

0,40

0,47

- Con bloques hormigón celular curado aire

800

0,38

0,44

- Con bloques hormigón celular curado aire

1000

0,48

0,56

- Con bloques hormigón celular curado aire

1200

0,60

0,70

Placas o paneles

 

 

 

- Cartón-yeso

900

0,16

0,18

- Hormigón con fibra de madera

450

0,07

0,08

- Placas de escayola

800

0,26

0,30

LADRILLOS Y PLAQUETAS

 

 

 

- Fábrica de ladrillo macizo

1800

0,75

0,87

- Fábrica de ladrillo perforado

1600

0,65

0,76

- Fábrica de ladrillo hueco

1200

0,42

0,49

- Plaquetas

2000

0,90

1,05

VIDRIO (2)

 

 

 

- Vidrio plano para acristalar

2500

0,82

0,95

METALES

 

 

 

- Fundición y acero

7850

50

58

- Cobre

8900

330

384

- Bronce

8500

55

64

- Aluminio

2700

175

1204

MADERA

 

 

 

- Maderas frondosas

800

0,18

0,21

- Maderas de coníferas

600

0,12

0,14

- Contrachapado

600

0,12

0,14

- Tablero aglomerado de partículas

650

0,07

0,08

PLASTICOS Y REVESTIMIENTOS DE SUELOS

 

 

 

- Linóleo

1200

0,16

0,19

- Moquetas, alfombras

1000

0,04

0,05

MATERIALES BITUMINOSOS

 

 

 

- Asfalto

2100

0,60

0,70

- Betún

1050

0,15

0,17

- Láminas bituminosas

1100

0,16

0,19

MATERIALES AISLANTES TÉRMICOS

 

 

 

- Arcilla expandida

300

0,073

0,085

- Arcilla expandida

450

0,098

0,114

- Aglomerado de corcho UNE 5.690

110

0,034

0,039

- Espuma elastomérica

60

0,029

0,034

- Fibra de vidrio:

 

 

 

Tipo I

10 - 18

0,038

0,044

Tipo II

19 - 30

0,032

0,037

Tipo III

31 - 45

0,029

0.034

Tipo IV

46 - 65

0,028

0,033

Tipo V

66 - 90

0,028

0,033

Tipo VI

66 - 90

0,031

0,036

- Lana mineral:

 

 

 

Tipo I

30 - 50

0,036

0,042

Tipo II

51 - 70

0,034

0,040

Tipo lIl

71 - 90

0,033

0,038

Tipo IV

91 - 120

0,033

0,038

Tipo V

121 - 150

0,033

0,038

- Perlita expandida

130

0,040

0,047

- Poliestireno expandido UNE 53.310

 

 

 

Tipo I

10

0,049

0,057

Tipo II

12

0,038

0,044

Tipo lll

15

0,032

0,037

Tipo IV

20

0,029

0,034

Tipo V

25

0,028

0,033

-Poliestireno extrusionado

33

0,028

0,033

-Polietileno reticulado

30

0,033

0,038

-Polisocianurato, espuma de

35

0,022

0,026

- Poliuretano conformado, espuma de

 

 

 

Tipo I

32

0,020

0,023

Tipo II

35

0,020

0,023

Tipo lll

40

0,020

0,023

Tipo IV

80

0,034

0,040

- aplicado in situ, espuma de

 

 

 

Tipo I

35

0,020

0,023

Tipo II

40

0,020

0,023

- Urea formol, espuma de

10 - 12

0,029

0,034

-Urea formol, espuma de

12 - 14

0,030

0,035

-Vermiculita expandida

120

0,030

0,035

-Vidrio celular

160

0,038

0,044


1. Las densidades se refieren al bloque, no a la fábrica.
2. Véase tabla de resistencias térmicas.

    2.8 Resistencias térmicas útiles de elementos constructivos

    En las siguientes tablas se dan con carácter orientativo los valores útiles que pueden emplearse de resistencia térmica de algunos elementos constructivos que pueden formar parte del cerramiento o constituir ellos mismos el propio cerramiento.

    2.8.1 Muros de cerramiento de ladrillo

    En las Tablas 2.9 y 2.10 se da el valor de la resistencia térmica útil de un cerramiento de ladrillo de una hoja, en función del tipo de ladrillo, hueco, perforado o macizo, y del espesor del cerramiento, excluidos los revestimientos que pudiera llevar.

    Tabla 2.9

Formato métrico

Espesor E, en cm, del cerramiento

Tipo de ladrillo

Peso específico en kg/m3

4,0

5,3

9,0

11,5

24,0

36,0

49,0

Hueco

1200

0,09
(0,07)

0,13
(0,11)

0,21
(0,18)

0,27
(0,23)

0,57
(0,49)

0,86
(0,74)

1,17
(1,00)

Perforado

1600

0,06
(0,05)

0,08
(0,07)

0,14
(0,12)

0,18
(0,15)

0,37
(0,32)

0,55
(0,47)

0,75
(0,65)

Macizo

1800

0,05
(0,04)

0,07
(0,06)

0,12
(0,10)

0,15
(0,13)

0,32
(0,27)

0,48
(0,41)

0,65
(0,60)

Resistencia térmica R en m2 h °C/kcal (m2 °C/W)

    

    Tabla 2.10

Formato catalán

Espesor E, en cm, del cerramiento

Tipo de ladrillo

Peso específico en kg/m3

4,0

6,5

9,0

14,0

19,0

29,0

44,0

Hueco

1200

0,09
(0,07)

0,15
(0,13)

0,21
(0,18)

0,33
(0,28)

0,45
(0,39)

0,69
(0,59)

1,04
(0,89)

Perforado

1600

0,06
(0,05)

0,10
(0,09)

0,14
(0,12)

0,21
(0,18)

0,29
(0,25)

0,45
(0,39)

0,68
(0,58)

Macizo

1800

0,05
(0,04)

0,09
(0,07)

0,12
(0,10)

0,19
(0,16)

0,25
(0,22)

0,39
(0,34)

0,59
(0,50)

Resistencia térmica R en m2 h °C/kcal (m2 °C/W)

    

    2.8.2 Forjados

    En la Tabla 2.11 se dan valores de resistencias térmicas útiles de algunos tipos de forjados unidireccionales con bovedillas, cerámicas o de hormigón, para distintas alturas de bovedillas y distancias de entrevigado. Estos valores se dan para hormigón de relleno de senos y capa de compresión, con áridos normales.

    Tabla 2.11

Tipo de forjado

Distancia de entrevigado E en cm

Altura H de la bovedilla, en cm

Bovedilla cerámica

 

8

12

16

20

25

< 45


45 a 65


> 65

0,09
(0,08)

0,13
(0,11)

0,14
(0,12)

0,13
(0,11)

0,16
(0,14)

0,19
(0,16)

 

 

 

Bovedilla cerámica

 

8

12

16

20

25

< 45


45 a 65


> 65

 

0,15
(0,13)

0,22
(0,19)

0,27
(0,23)

0,20
(0,17)

0,27
(0,23)

0,31
(0,27)

0,24
(0,21)

0,30
(0,26(

0,35
(0,30)

0,29
(0,25)

0,36
(0,31)

0,40
(0,34)

Bovedilla de hormigón

 

8

12

16

20

25

< 65


65

 

0,13
(0,11)

0,14
(0,12)

0,15
(0,13)

0,16
(0,14)

0,17
(0,15)

0,19
(0,16)

0,21
(0,18)

0,22
(0,19)

Bovedilla de hormigón

 

8

12

16

20

25

< 65


65

 

 

 

0,26
(0,22)

0,27
(0,23)

0,29
(0,25)

0,31
(0,27)

Resistencia térmica R. en m2 h °C/kcal (m2 °C/W)

    

    2.8.3 Ventanas

    Se consideran en este apartado las ventanas que pueden formar parte del cerramiento del edificio. No se da su resistencia térmica, pues estos elementos en si constituyen el propio cerramiento, por lo que añadiéndole la resistencia térmica superficial se obtiene su resistencia térmica total, es decir, el valor inverso de K.

    Los valores de la Tabla 2.12, se dan para la superficie total del hueco y no de la superficie del vidrio. Se ha estimado que ésta corresponde a 0,7 del hueco en carpintería de madera y 0,8 en carpintería metálica.

    Tabla 2.12

Tipo de acristalamiento

Espesor nominal de la cámara de aire, en mm

Tipo de carpintería

Inclinación del hueco con respecto a la horizontal

60º

< 60º

Sencillo

 

Madera


Metálica

4,3
(5,0)

5,0
(5,8)

4,7
(5,5)

5,6
(6,5)

Doble

6

Madera


Metálica

2,8
(3,3)

3,4
(4,0)

3,0
(3,5)

3,7
(4,3)

 

9

Madera


Metálica

2,7
(3,1)

3,4
(3,9)

2,8
(3,3)

3,6
(4,2)

 

12

Madera


Metálica

2,5
(2,9)

3,2
(3,7)

2,7
(3,1)

3,4
(4.0)

Doble ventana

30

Madera


Metálica

2,2
(2,6)

2,6
(3.0)

2,3
(2,7)

2,8
(3,2)

Hormigón translúcido

------

------

3,0
(3,5)

3,2
(3,7)

Coeficiente de transmisión térmica K en kcal/h m2 °C (W/m2 °C)

    

    2.8.4 Puertas

    Se consideran en este apartado las puertas que pueden formar parte de cerramientos con el exterior o con locales no calefactados. Análogamente al apartado 2 8.3, en la Tabla 2.13 se dan los valores del coeficiente de transmisión térmica k para los distintos casos, donde el % expresado es el de la superficie del vidrio sobre la superficie total de la puerta.

    Tabla 2.13

Tipo de puerta

Separación con exterior

Separación con local no calefactado

Madera

Opaca

3,0
(3,5)

1,7
(2,0)

Acristalamiento simple en < 30 %

3,4
(4,0)

 

Acristalamiento simple en 30 a 60 %

3,9
(4,5)

 

Acristalamiento doble

2,8
(3,3)

 

Metálica

Opaca

5,0
(5,8)

3,9
(4,5)

Acristalamiento simple

5,0
(5,8)

 

Acristalamiento doble con cámara de 6 mm en < 30 %

4,7
(5,5)

 

Acristalamiento doble con cámara de 6 mm en 30 a 70 %

4,1
(4,8)

 

Vidrio sin carpintería

 

5,0
(5,8)

3,9
(4,5)

Coeficiente de transmisión térmica K, en kcal/h m2 °C (W/m2 °C)