Capítulo V
Cálculo de muros
5.1 - Principios generales
En un edificio con muros resistentes, la disposición y las dimensiones de estos muros, serán las adecuadas para que transmitan a la cimentación todas las acciones que recibe el edificio con la requerida seguridad. Disposición y dimensiones vienen en gran parte condicionadas por razones de composición, de construcción, de aislamiento, etc., y, por ello, los muros tienen muchas veces secciones superiores a las necesarias por resistencia.
Para calcular un elemento de fábrica (apartado 5.1.1) se determinan:
- Las características de la fábrica, según el apartado 5.2.
- Las acciones que recibe el elemento en los diferentes casos de carga, según el apartado 5.3.
- Las tensiones resultantes en las secciones del elemento, según el apartado 5.4.
5.1.1 - Elemento de fábrica
Se denomina elemento cada parte de muro, o cada pilar, que se considera en el cálculo como una unidad. A veces elementos que bajo ciertas acciones se consideran separadamente, se agrupan en un solo elemento para su cálculo bajo otras acciones.
Los muros resistentes de un edificio de varias plantas se descomponen verticalmente en tramos, comprendidos entre dos forjados consecutivos. Cuando el tramo que se considera (Figura 5.1) está constituido por machos separados por huecos de puertas o ventanas, cada macho constituye un elemento.

Un elemento se define geométricamente por su sección de área
A y su altura h medida entre la base y la coronación. La base del elemento está en el arranque de cimentación, o en el supradós del forjado inferior. La coronación está en el supradós del forjado superior, en el plano de apoyo de la cubierta, o en su plano superior si el elemento es libre.Si el tramo de muro no tiene huecos, puede considerarse como elemento cada parte comprendida entre muros transversales, o la zona de un metro de anchura que tenga las cargas más desfavorables.
El elemento correspondiente a una esquina, encuentro o cruce, consta de las partes de los muros que lo componen, y se define geométricamente como antes.
Cuando un elemento de muro se apoya sobre otro de mayor anchura se producen en éste, junto a los vértices, tensiones de tracción que pueden originar la rotura de los ladrillos de las primeras hiladas del muro inferior.
Se recomienda el armado de las juntas en el muro inferior y hacer coincidir en la primera hilada de éste llagas con los paramentos del muro superior (Figura 5.2).

5.2 - Características de la fábrica de ladrillo
Las características mecánicas de la fábrica de ladrillo que fundamentalmente interesan son su resistencia a compresión y su deformabilidad.
5.2.1 - Resistencia a compresión de la fábrica de ladrillo
Para el cálculo de los elementos de fábrica de ladrillo se definen los siguientes dos valores de su resistencia a compresión:
Resistencia característica
fk: Es el valor característico, obtenido en el ensayo a compresión establecido en el apartado 5.2.2.Resistencia de cálculo
fd: Se define por la expresión:fd = fk / gm
siendo
gm el coeficiente de minoración, que tiene en cuenta: la reducción de resistencia por cansancio reológico, la variación estadística de resistencia, las inexactitudes del cálculo y las imperfecciones de ejecución, de modo que al alcanzarse la tensión fd, la probabilidad de rotura tenga el valor suficientemente pequeño que exige la seguridad.Se adoptará el valor
gm = 2,5Si no se realiza ensayo a compresión de la fábrica, la resistencia de cálculo se evalúa empíricamente, como se indica en el apartado 5.2.3.
5.2.2 - Ensayo a compresión de la fábrica de ladrillo
Tiene por objeto determinar la resistencia característica
fk de la fábrica. Para obtener la resistencia a compresión se utilizará la Norma UNE 67040. Como resultado del ensayo se tomará el valor característico.
donde

siendo:
el valor medio, d la estimación de la desviación típica, fi cada uno de los resultados de los ensayos y n el número de probetas ensayadas.
5.2.3 - Evaluación empírica de la resistencia
Si no se realiza ensayo a compresión de la fábrica, la tensión de agotamiento puede evaluarse en función de: la resistencia del ladrillo, la resistencia a compresión del mortero (apartado 3.2.1), la plasticidad del mortero (apartado 3.2.2) y el espesor de las juntas, tomándose los valores prescritos en la Tabla 5.1 si se emplea ladrillo macizo, en la Tabla 5.2 si se emplea ladrillo perforado, y en la Tabla 5.3 si se emplea ladrillo hueco.
Tabla 5.1 Resistencia de cálculo de las fábricas de ladrillo macizo
|
Resistencia del ladrillo kg/cm2 |
Plasticidad del mortero |
Espesor de las juntas en cm |
Resistencia de cálculo fd de la fábrica, en kg/cm2 con mortero |
Espesor de las juntas en cm |
Plasticidad del mortero |
Resistencia del ladrillo, kg/cm2 |
|||
|
M-20 |
M-40 |
M-80 |
M-160 |
||||||
|
100 |
magra |
> 1,5 |
12 |
14 |
16 |
-- |
|
|
150 |
|
magra |
1,5 a 1 |
14 |
16 |
18 |
-- |
|
|
||
|
magra |
< 1 |
|
|
|
|
|
|
||
|
> 1,5 |
magra |
||||||||
|
sograsa |
< 1 |
18 |
20 |
22 |
25 |
1,5 a 1 |
magra |
||
|
grasa |
< 1 |
|
|
|
|
< 1 |
magra |
||
|
200 |
magra |
> 1,5 |
|||||||
|
magra |
1,5 a 1 |
22 |
25 |
28 |
32 |
< 1 |
sograsa |
||
|
magra |
< 1 |
|
|
|
|
< 1 |
grasa |
||
|
> 1,5 |
magra |
300 |
|||||||
|
sograsa |
< 1 |
28 |
32 |
36 |
40 |
1,5 a 1 |
magra |
||
|
grasa |
< 1 |
32 |
36 |
40 |
45 |
< 1 |
magra |
||
|
|
36 |
40 |
45 |
50 |
< 1 |
sograsa |
300 |
||
|
40 |
45 |
50 |
56 |
< 1 |
grasa |
||||
Tabla 5.2 Resistencia de cálculo de las fábricas de ladrillo perforado
|
Resistencia del ladrillo kg/cm2 |
Plasticidad del mortero |
Espesor de las juntas en cm |
Resistencia de cálculo fd de la fábrica, en kg/cm2 con mortero |
Espesor de las juntas en cm |
Plasticidad del mortero |
Resistencia del ladrillo, kg/cm2 |
|||
|
M-20 |
M-40 |
M-80 |
M-160 |
||||||
|
100 |
magra |
> 1,5 |
11 |
12 |
14 |
-- |
|
|
150 |
|
magra |
1,5 a 1 |
12 |
14 |
16 |
-- |
|
|
||
|
magra |
< 1 |
|
|
|
|
|
|
||
|
> 1,5 |
magra |
||||||||
|
sograsa |
< 1 |
16 |
18 |
20 |
22 |
1,5 a 1 |
magra |
||
|
grasa |
< 1 |
|
|
|
|
< 1 |
magra |
||
|
200 |
magra |
> 1,5 |
|||||||
|
magra |
1,5 a 1 |
20 |
22 |
25 |
28 |
< 1 |
sograsa |
||
|
magra |
< 1 |
|
|
|
|
< 1 |
grasa |
||
|
> 1,5 |
magra |
300 |
|||||||
|
sograsa |
< 1 |
25 |
28 |
32 |
36 |
1,5 a 1 |
magra |
||
|
grasa |
< 1 |
|
|
|
|
< 1 |
magra |
300 |
|
|
|
|||||||||
|
32 |
36 |
40 |
45 |
< 1 |
sograsa |
||||
|
36 |
40 |
45 |
50 |
< 1 |
grasa |
||||
Tabla 5.3 Resistencia de cálculo de las fábricas de ladrillo hueco
|
Resistencia del ladrillo kg/cm2 |
Plasticidad del mortero |
Espesor de las juntas en cm |
Resistencia de cálculo fd de la fábrica, en kg/cm2 con mortero |
Espesor de las juntas en cm |
Plasticidad del mortero |
Resistencia del ladrillo, kg/cm2 |
|||
|
M-20 |
M-40 |
M-80 |
M-160 |
||||||
|
50 |
magra |
> 1,5 |
6,3 |
7,5 |
-- |
-- |
|
|
70 |
|
magra |
1,5 a 1 |
7 |
8 |
-- |
-- |
|
|
||
|
magra |
< 1 |
|
|
|
|
|
|
||
|
> 1,5 |
magra |
||||||||
|
sograsa |
< 1 |
9 |
10 |
11 |
-- |
1,5 a 1 |
magra |
||
|
grasa |
< 1 |
|
|
|
|
< 1 |
magra |
||
|
100 |
magra |
> 1,5 |
|||||||
|
magra |
1,5 a 1 |
11 |
12 |
14 |
-- |
< 1 |
sograsa |
||
|
magra |
< 1 |
|
|
|
|
< 1 |
grasa |
||
|
> 1,5 |
magra |
150 |
|||||||
|
sograsa |
< 1 |
14 |
16 |
18 |
20 |
1,5 a 1 |
magra |
||
|
grasa |
< 1 |
|
|
|
|
< 1 |
magra |
150 |
|
|
200 |
magra |
> 1,5 |
|||||||
|
magra |
1,5 a 1 |
18 |
20 |
22 |
25 |
< 1 |
sograsa |
||
|
magra |
< 1 |
|
|
|
|
|
|
||
|
sograsa |
< 1 |
22 |
25 |
28 |
32 |
|
|
||
|
grasa |
> 1 |
25 |
28 |
32 |
36 |
||||
5.2.4 - Deformabilidad de la fábrica de ladrillo
El módulo de deformación de una fábrica de ladrillo, que se precisa para el cálculo de las deformaciones de la fábrica, y de las rigideces de los elementos construidos con ella, puede determinarse experimentalmente mediante ensayos. Es necesario que los ensayos se realicen a lo largo de un plazo suficiente, para que tenga lugar una deformación reológica que permita evaluar su valor final estabilizado.
Si no se realizan ensayos, el módulo de deformación
E puede estimarse mediante la fórmula:E = fd / e
en la que
e es la deformación unitaria de la fábrica, a largo plazo, cuyos valores en función del tipo de ladrillo y del mortero se dan en la Tabla 5.4.
Tabla 5.4 Deformabilidad de las fábricas de ladrillo
|
|
Deformabilidad e en tanto por mil, siendo el tipo de mortero |
|
|
Tipo de ladrillo |
M-160 a M-40 |
M-20 |
|
Macizo |
0,63 |
0,80 |
5.3 - Acciones que se consideran
Cada elemento (Figura 5.1) recibe las acciones transmitidas directamente en su coronación por el tramo superior del muro y por el forjado, comprendidos en su acción A; las de los cargaderos sustentados en el elemento (apartado 5.6); en su caso, las de las vigas transversales que apoyan sobre él, y el peso propio del elemento hasta la sección que se considere.
5.3.1 - Acciones características
El valor de servicio
Fk de cada una de las acciones aplicadas a un elemento se evaluará según la Norma NBE AE-88 «Acciones en la Edificación».
5.3.2 - Acciones ponderadas
El valor ponderado
Fd de una acción se obtendrá mediante la expresión:Fd = Fk gt
siendo
gt el coeficiente de ponderación, que tiene en cuenta la posibilidad de que, por causas excepcionales, se produzca en la acción, sobre su valor de servicio, un incremento, si es desfavorable, o un decremento, si es favorable, de modo que la probabilidad de alcanzarse Fd en la vida del edificio tenga el valor suficientemente pequeño que exige la seguridad.En cada uno de los tres casos de carga que se establecen en la Norma NBE AE-88, será preceptivo aplicar los valores de los coeficientes de ponderación que se indican en la Tabla 5.5.
Tabla 5.5 Coeficientes de ponderación
|
Caso de carga según NBE-AE-88 |
Clase de acción |
Coeficiente de ponderación g t si la acción es: |
|
|
Desfavorable |
Favorable |
||
|
Caso I |
Concargas |
1,65 |
1,00 |
|
Caso II |
Concargas |
1,50 |
1,00 |
|
Caso III |
Concargas |
1,00 |
1,00 |
5.3.3 - Solicitaciones
Las componentes de la solicitación en una sección, esfuerzo normal
N, esfuerzo cortante V, momento flector M, momento torsor T, se calcularán a partir de las acciones por los métodos generales de la resistencia de materiales, salvo en los casos en que en la Norma se indican métodos específicos.Las solicitaciones características de componentes
Nk, Vk, Mk, Tk, se calcularán con las acciones características y se emplean fundamentalmente para el cálculo de deformaciones cuando sean precisas.5.4 - Tensiones
El cálculo de las tensiones ponderadas para cada tipo de solicitación se realiza según los apartados 5.4.1, 5.4.2, 5.4.3
En cada elemento se precisa calcular:
a) Tensión resultante general, determinada de acuerdo con los apartados 5.5 y 5.6 en las secciones que se exigen, con las cargas y las excentricidades que correspondan.
b) Tensión resultante local en cada área de apoyo de cargaderos, vigas u otros elementos, determinada con sólo la reacción del elemento, de acuerdo con el apartado 5.7.
5.4.1 - Esfuerzo normal
En una sección de un elemento de fábrica, de área total
A (Figura 5.3), en la que actúa un esfuerzo normal Nd, en un punto G, no coincidente con el baricentro o de la sección, la tensión resultante s se calcula admitiendo distribución uniforme de tensiones en una parte de la sección, denominada sección eficaz, de área B, delimitada por una recta secante y cuyo baricentro coincide con el punto de aplicación del esfuerzo normal y considerando inactiva al resto de la sección.
La condición de seguridad es:
s
= Nd / B £ fdCuando la carga sea centrada, es decir, su punto de aplicación coincida con el baricentro o, la sección eficaz es la sección total: B = A.
Si en algún caso la sección eficaz es de difícil determinación geométrica, puede sustituirse por otra sección eficaz aproximada, comprendida en la sección total, y cuyo baricentro coincida con el punto
G (Figura 5.4). El error que se comete va siempre en favor de la seguridad, pues la sección eficaz tiene área máxima y, si se elige convenientemente, este error es pequeño.
5.4.2 - Flexión
En casos excepcionales: muros exentos, etc., los elementos de muro sometidos a flexión compuesta con un esfuerzo normal de gran excentricidad respecto al baricentro de la sección, o a flexión simple, pueden calcularse admitiendo que la fábrica resiste tensiones de tracción, de valor no mayor que
0,1 fd, justificándolo en la memoria del proyecto, y tomando las precauciones constructivas necesarias para garantizar la precisa adherencia entre el mortero de las juntas y el ladrillo.Con estas condiciones, en una sección de área
A y módulos resistentes W1 y W2 respecto de sus ejes de inercia, actuando la solicitación compuesta por: momentos flectores M1d y M2d, respecto a sus ejes de inercia, y si existe, un esfuerzo normal de compresión N, la condición de seguridad es:
siendo
s' la máxima tensión de tracción en la sección.5.4.3 - Esfuerzo cortante
Si en la sección de un elemento actúa un esfuerzo cortante
Vd, simultáneamente con un esfuerzo normal Nd, las condiciones de seguridad son:

siendo
B el área de la sección eficaz definida en el apartado 5.4.1.Si no actúa esfuerzo normal simultáneamente, basta comprobar:

5.5 - Acción de los forjados
Los forjados transmiten a los muros cargas que se evalúan según el apartado 5.5.1. La deformación por flexión de los forjados, produce excentricidades en la transmisión de estas cargas, que se calculan según los apartados 5.5.2 y 5.5.3.
5.5.1 - Cargas transmitidas por los forjados
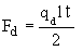
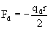
En un forjado de tramo aislado (Figura 5.5a), de luz
l, con carga qd, sustentado sobre un elemento de ancho b, con huecos contiguos de vanos v y w, siendo t la distancia entre ejes de huecos:
se transmite el elemento la carga
Fd de valor:

En un forjado continuo (Figura 5.5.e,i), cuyo dimensionado se ha efectuado considerando en los sucesivos apoyos
A, B, C..., los momentos flectores negativos de valor absoluto MAd, MBd, MCd ..., por metro de anchura de forjado, las cargas que se consideran transmitidas son:|
Tramo e apoyo A |
|
|
Tramo e apoyo B |
|
|
Tramo i apoyo B |
|
|
Tramo i apoyo C |
|
y así sucesivamente.
Salvo excepciones, se considera
MAd = 0.En un forjado paralelo a un muro, con nervios o viguetas a separación
r entre ejes, la carga Fd que transmite es:
5.5.2 - Excentricidad de la carga de forjado sin tramo superior de muro
Un forjado, sustentado con entrega a, en un elemento de muro extremo (Figura 5.6) de espesor
d, sin que exista tramo superior de muro de carga sobre el forjado, transmite la carga Fd (apartado 5.5.1), aplicada con la excentricidad:
y si la entrega es total,
a = d, la excentricidad es:

Un forjado continuo, sustentado en un elemento de muro interno (Figura 5.7), transmite la carga
Fd = F1d + F2d, suma de ambos tramos aplicada con la excentricidad:
5.5.3 - Excentricidad de la carga de forjado con tramo superior de muro
Un forjado sustentado en un elemento de muro extremo (Figura 5.8), con tramo superior de espesor
d1, anchura b y altura h1, que tiene en su arranque el esfuerzo normal Nd, y tramo inferior de espesor d2, anchura b y altura h2, transmite, en la posición de la figura, la carga Fd (apartado 5.5.1) y un momento flector Md, dado por la fórmula:Md = m qd b l2
siendo µ el factor de empotramiento:

función de las rigideces:
|
del tramo superior: |
|
|
del tramo inferior: |
|
|
del forjado: |
|
siendo:
K = módulo de flecha, por metro de forjado (K = Jf Ef).
n = 0,5 en forjado de tramo aislado, n = 1 en forjado continuo.

Este momento flector
Md se equilibra en el muro con los producidos por las fuerzas Nd y Nd + Fd, cumpliéndose la condición:Md =Nd (u + e1) + (Nd + Fd) e2
La tensión resultante s1, en el tramo superior, y la s2 en el inferior, tienen que cumplir las condiciones:


Estas condiciones son insuficientes para determinar
e1 y e2, pero suficientes para comprobar el dimensionado.Se hace sucesivamente
s1 = fd y s2 = fd y se obtienen las excentricidades máximas.

Si e1' < - r/2 d1 es insuficiente para Nd. Se aumentará d1.
Si e2' < 0 d2 es insuficiente para Nd + Fd. Se aumentará d2.
Con valores d1 y d2 que cumplan las dos condiciones se forma:

Si
Ø £ 1 el dimensionado es suficiente para resistir Md y puede tomarse:e1 = Ø e1'; e2 = Ø e2'
Si Ø > 1 es preciso aumentar d2 .
Los aumentos de d1 o d2 implican recalcular Nd y Md y volver a comprobar.
Un forjado continuo, con tramos de luces la y lb (la > lb), sustentado en un elemento de muro interior (Figura 5.9), transmite, en la posición de la figura, la carga Fd = Fad+ Fbd y un momento flector Md dado por la fórmula:
Md = µ qd b (la² - lb²)
siendo µ el factor de empotramiento:

función de las rigideces de los tramos superior e inferior:
r1 y r2 y de las de los tramos contiguos al forjado:

Las tensiones
s1 y s2, y las excentricidades e1 y e2, se obtienen con las mismas fórmulas anteriores.
De modo aproximado, el factor de empotramiento puede calcularse por la fórmula:

siendo:
l = luz del forjado, o luz media de las luces contiguas.
c = canto del forjado.
d = espesor del muro inferior.
EF = módulo de elasticidad del hormigón del forjado.
E = módulo de deformación de la fábrica.
n = coeficiente que según el caso toma los valores (Fig. 5.10).
Caso
A: apoyo de tramo aislado n = 0,5.Caso
E: apoyo extremo de forjado continuo n = 1.Caso
I: apoyo interno de forjado continuo n = 2.
Los valores de µ en función de
h / l, c / d, EF / E, y del caso, se dan en la Tabla 5.6.
Tabla 5.6 Factor de empotramiento de forjados
|
Caso |
EF/E |
Valor de m , siendo c/d |
||||||||||||
|
A |
|
|
20 |
10 |
5 |
0,4 |
0,5 |
0,6 |
0,7 |
0,8 |
1,0 |
1,2 |
1,5 |
2 |
|
h/l |
2 |
|
|
|
|
0,018 |
0,010 |
0,006 |
0,004 |
0,003 |
0,002 |
0,001 |
0,000 |
0,000 |
Los valores intermedios se interpolarán linealmente
5.6 - Excentricidades función de la esbeltez
En todo elemento de fábrica, sometido a un esfuerzo normal T, actúa éste en general con excentricidades, producidas por los forjados (apartado 5.5), y/o por apoyo excéntrico de cargaderos, vigas u otros elementos, y/o por esfuerzos horizontales. Incluso un esfuerzo normal teóricamente centrado actúa siempre en la práctica con excentricidad variable a lo largo del eje del elemento a causa de las inevitables imperfecciones de ejecución y de las deformaciones irregulares por diferencias del Módulo de elasticidad de la fábrica en sus diferentes puntos.
Al actuar el esfuerzo normal, la excentricidad inicial aumenta por la deformación lateral producida en el flexopandeo. Por ello, la excentricidad con que hay que calcular el elemento es función de su esbeltez (apartado 5.6.1) y se evalúa en la forma indicada en el apartado 5.6.4.
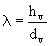
5.6.1 - Esbeltez de un elemento
Esbeltez
l de un elemento de fábrica de ladrillo, de altura virtual hv, definida en el apartado 5.6.2, y de espesor virtual dv, definido en el apartado 5.6.3, es el cociente:
5.6.2 - Altura virtual de un elemento
La altura virtual
hv de un elemento de fábrica es la distancia entre los puntos de inflexión de la deformada del eje del elemento sometido a flexopandeo.La determinación exacta de la altura virtual es difícil, porque el fenómeno de flexopandeo en los elementos de fábrica de ladrillo es complejo, debido a la variación del módulo de elasticidad con las tensiones, y reducción de la sección por la aparición de grietas.
Por ello, a menos de justificar con estudios teóricos o experimentales los valores de altura virtual, se tomará en el cálculo el valor:
hv = a·h
siendo
a un factor, dado en la Tabla 5.7, que depende de que el elemento tenga o no arriostramiento horizontal en la coronación, y de la relación entre la separación s, entre arriostramientos transversales con muros que cumplan las condiciones del apartado 4.3 y la altura h del elemento (Figura 5.11).
Tabla 5.7 Factor de altura virtual
|
Arriostramientos transversales |
Factor a , para elementos cuya coronación está horizontalmente |
|
|
Arriostrada |
no arriostrada |
|
|
1 |
0,5 |
1 |
5.6.3 - Espesor virtual
Para determinar el espesor virtual de un elemento de muro se considera su sección menor sin contar revocos ni guarnecidos.
En un muro aparejado, verdugado o doblado, el espesor virtual del elemento es el siguiente:
Sección rectangular, de espesor
d y anchura b ³ d:dv = d
Sección centrosimétrica (Figura 5.12): la mínima dimensión entre rectas paralelas aplicadas al perímetro.

Sección asimétrica (Figura 5.13): el doble de la mínima distancia
g entre el baricentro G de la sección y una recta aplicada al perímetro.
Para aplicar lo anterior, en todas las secciones compuestas por rectángulos, en cada uno de los unidos en sus dos extremos, la relación longitud/anchura será no mayor de 10; y en cada uno de los unidos en un solo extremo será no mayor de 5.
En un muro apilastrado (Figura 5.14) el espesor virtual vale
dv = d d, dándose los valores de d en la Tabla 5.8.
Tabla 5.8 Espesor virtual en muros apilastrados
|
|
Valor de d siendo s:r |
|||||
|
t:d |
4 |
5 |
6 |
8 |
10 |
|
|
1 |
1 |
1 |
1 |
1 |
1 |
|
En un muro capuchino, con hojas de espesores
d1 y d2, el espesor virtual será:|
si 0,5 d1 < d2 £ d1 |
|
|
si d2 £ 0,5 d1 |
dv = d1 |
5.6.4 - Excentricidad en flexopandeo
Un elemento de muro con arriostramiento horizontal en coronación y base (Figura 5.15), sometido a un esfuerzo normal
N, que actúa con excentricidad e1 en su coronación y excentricidad e2 en su base (Figura 5.15), se calcula con la excentricidad ef máxima que se produce en el flexopandeo.
Para determinar
ef se calcula previamente la excentricidad unitaria de pandeo simple h del elemento de muro, función de su esbeltez l del coeficiente de deformabilidad e de la fábrica de ladrillo, mediante la Tabla 5.9.
Tabla 5.9 Excentricidad unitaria de pandeo
|
Esbeltez |
Excentricidad unitaria, siendo la deformabilidad e de la fábrica |
|||
|
0,63 |
0,80 |
1,00 |
1,25 |
|
|
2 |
0 |
0 |
0 |
0 |
|
6 |
0,010 |
0,014 |
0,019 |
0,027 |
|
11 |
0,053 |
0,069 |
0,094 |
0,135 |
|
16 |
0,128 |
0,167 |
0,214 |
0,288 |
|
21 |
0,222 |
0,271 |
0,333 |
0,417 |
|
26 |
0,315 |
0,375 |
0,452 |
|
|
31 |
0,407 |
0,479 |
|
|
|
36 |
0,500 |
|
|
|
Esta excentricidad
ef tiene el sentido de la excentricidad del extremo em, de mayor valor absoluto, que es:em = e1 en la figura 5.15 a
em = e2 en la figura 5.15 b
La excentricidad en en el extremo opuesto es positiva si va en el sentido de em, (Figura 5.15 a), y negativa, si va en sentido contrario (Figura 5.15 b).
Se obtienen los valores auxiliares:

introduciendo
en con su signo. La excentricidad por deformación ep, vale:ep = h (dv + 1,8 es)
expresión en la que se introduce la influencia de la excentricidad de cargase , en el centro de la pieza.
|
Se calcula |
|
La excentricidad
ef que se busca tiene el valor siguiente:Si
Si
e < 1 ef = em + ep (1 - e )²En un elemento de muro sin arriostramiento horizontal en la coronación, la excentricidad
ef tiene el sentido de e2 y vale:ef = e2 + h ( dv + 1,8 e2 )
Para carga centrada en ambos casos:
e1 = e2 = 0 y ef = h dv
5.7 - Cargaderos
Un cargadero de canto c (Figura 5.16), excluyendo la pestaña si existe, y anchos, que forma el dintel de un hueco, de vano v, con entrega a £ c en cada apoyo, se calculará como simplemente apoyado, con la luz l = v + a, y con las cargas situadas dentro de las verticales del vano, o con la carga reducida, que se detalla en el apartado 5.7.1, cuando exista muro encima y pueda en él producirse el efecto de arco. La tensión en cada apoyo sobre la fábrica se calculará dividiendo la correspondiente reacción R de las cargas por el área A = a s.

5.7.1 - Efecto de arco
Cuando por encima, y a los lados de un cargadero de luz
l, exista un muro que permita producir efecto de arco sin huecos que lo perturben, la carga a considerar será: el peso del muro situado en una altura k = 0,6 l y las de forjados y las aisladas situadas hasta una altura l.5.7.2 - Empotramiento
Si en un extremo la entrega a (Figura 5.17) es mayor que el canto
c, puede considerarse empotramiento, calculando con la luz l = v + r, siendo r ³ c, aplicando en la zona extrema, de longitud a - r, una reacción de empotramiento Sd, que estáticamente puede ser equilibrada en el muro, y verificando las tensiones producidas en la fábrica por la reacción isostática Rd de la carga, y la reacción Sd:
El momento de empotramiento
Md = Sd a / 2 será no mayor que la mitad del momento isostático de la carga con la luz l.
5.8 - Estabilidad del conjunto
Los esfuerzos horizontales que actúan en un edificio, señalados en el apartado 4.7, se transmiten horizontalmente por los forjados a los muros que solamente pueden resistirlos cuando actúan en su dirección longitudinal, ya que la resistencia de un muro a esfuerzos perpendiculares a su paramento es muy escasa y por ello se proyectarán muros con disposiciones cruzadas.
Cuando sea preciso se calcularán los forjados con sus cadenas de manera que puedan resistir a flexión en su plano y a cortadura la transmisión horizontal de estos esfuerzos.
Los muros que reciban longitudinalmente las reacciones horizontales de los forjados en cada piso, se calcularán considerando las excentricidades que estas reacciones producen en el plano del muro al componerse con las cargas verticales, además de las excentricidades normales a este plano.
Igualmente se calculará la cimentación teniendo en cuenta estos descentramientos de las cargas.