|
TITULO IV.- Cálculo de secciones y elementos estructurales |
CAPÍTULO VIII
Datos de los materiales para el proyecto
Artículo 38º Características de los aceros
38.1 Generalidades
Los aceros de las armaduras pasivas deberán cumplir las condiciones prescritas en el Artículo 31º.
Las armaduras activas deberán estar constituidas por aceros que cumplan las condiciones prescritas en el Artículo 32º.
38.2 Diagrama tensión - deformación característico del acero para armaduras pasivas
Diagrama tensión-deformación característico es el que se adopta como base de los cálculos, asociado en esta Instrucción a un porcentaje del 5 por 100 de diagramas tensión-deformación más bajos.
Diagrama característico tensión-deformación del acero en tracción es aquel que tiene la propiedad de que los valores de la tensión, correspondientes a deformaciones no mayores de 10 por 1.000, presentan un nivel de confianza del 95 por 100 con respecto a los correspondientes valores obtenidos en ensayos de tracción realizados según la UNE 7474-1:92.
En compresión puede adoptarse el mismo diagrama que en tracción.
A falta de datos experimentales precisos, puede suponerse que el diagrama característico adopta la forma de la figura 38.2, pudiendo tomarse este diagrama como diagrama característico si se adoptan los valores tipificados del límite elástico dados en el Artículo 31º.

Figura 38.2 Diagrama característico tensión-deformación para armaduras pasivas
La rama de compresión es en todos los casos simétrica de la de tracción respecto al origen.
38.3 Resistencia de cálculo del acero para armaduras pasivas
Se considerará como resistencia de cálculo del acero
fyd el valor:
siendo
fyk el límite elástico característico y, el coeficiente parcial de seguridad definido en el Artículo 15º.
En el caso de emplear un nivel reducido de control para el acero (90.2), deberá tomarse como resistencia de cálculo del acero el valor:
Las expresiones indicadas son válidas tanto para tracción como para compresión.
Cuando en una misma sección coincidan aceros con diferente Límite elástico cada uno se considerará en el cálculo con su diagrama correspondiente.
38.4 Diagrama tensión-deformación de cálculo del acero para armaduras pasivas
El diagrama tensión-deformación de cálculo del acero para armaduras pasivas (en tracción o en compresión) se deduce del diagrama característico mediante una afinidad oblicua, paralela a la recta de Hooke, de razón 1/
gsCuando se utiliza el diagrama de la figura 38.2, se obtiene el diagrama de cálculo de la figura 38.4 en la que se observa que se puede considerar a partir de fyd una segunda rama con pendiente positiva, obtenida mediante afinidad oblicua a partir del diagrama característico, o bien una segunda rama horizontal, siendo esto último suficientemente preciso en general.
Se admite el empleo de otros diagramas de cálculo simplificados, siempre que su uso conduzca a resultados que estén suficientemente avalados por la experiencia.

Figura 38.4 Diagrama tensión-deformación de cálculo para armaduras pasivas
38.5 Diagrama tensión-deformación característico del acero para armaduras activas
Como diagrama tensión-deformación característico del acero para armaduras activas (alambre, barra o cordón) puede adoptarse el que establezca su fabricante hasta la deformación
ep = 0,010, como mínimo, y tal que, para una deformación dada las tensiones sean superadas en el 95% de los casos.Si no se dispone de este diagrama garantizado, puede utilizarse el representado en la figura 38.5. Este diagrama consta de un primer tramo recto de pendiente
Ep y un segundo tramo curvo, a partir de 0,7 fpk, definido por la siguiente expresión:
siendo
Ep el módulo de deformación longitudinal definido en 38.8.

Figura 38.5 Diagrama tensión-deformación característico para armaduras activas
38.6 Resistencia de cálculo del acero para armaduras activas
Como resistencia de cálculo del acero para armaduras activas, se tomará:

siendo
fpk, el valor del Límite elástico característico y gs, el coeficiente parcial de seguridad del acero dado en el Artículo 15º.38.7 Diagrama tensión-deformación de cálculo del acero para armaduras activas
El diagrama tensión-deformación de cálculo del acero para armaduras activas, se deducirá del correspondiente diagrama característico, mediante una afinidad oblicua, paralela a la recta de Hooke, de razón 1/gs (ver figura 38.7.a).
Como simplificación, a partir de fpd se podrá tomar sp = fpd (ver figura 38.7.b).

Figuras 38.7.a Diagrama tensión-deformación de cálculo para armaduras activas

Figuras 38.7.b Diagrama tensión-deformación de cálculo para armaduras activas
38.8 Módulo de deformación longitudinal del acero para armaduras activas
Como módulo de deformación longitudinal del acero de las armaduras constituidas por alambres o barras se adoptará, salvo justificación experimental, el valor
Ep = 200.000 N/mm2.En los cordones, se pueden adoptar como valores noval y reiterativo los que establezca el fabricante o se determinen experimentalmente. En el diagrama característico (véase 38.5) debe tomarse el valor del módulo reiterativo. Si no existen valores experimentales anteriores al proyecto puede adoptarse el valor
Ep = 190.000 N/mm2.Para la comprobación de alargamiento durante el tesado se requiere utilizar el valor del modulo noval determinado experimentalmente.
38.9 Relajación del acero para armaduras activas
La relajación
r del acero a longitud constante, para una tensión inicial spi=a fmax estando la fracción a comprendida entre 0,5 y 0,8 y para un tiempo t, puede estimarse con la siguiente expresión:
donde:

Figura 38.9
El fabricante del acero suministrará los valores de la relajación a 120 h y a 1.000 h, para tensiones iniciales de 0,6, 0,7 y 0,8 de fmax, a temperaturas de 20º ± 1ºC y garantizará el valor a 1.000 h para a = 0,7.
Con estos valores de relajación pueden obtenerse los coeficientes K1, y K2 para a = 0,6, 0,7 y 0,8.
Para obtener la relajación con otro valor de a puede interpolarse linealmente admitiendo para a = 0,5; r = 0.
Como valor final rf se tomará el que resulte para la vida estimada de la obra expresada en horas, o 1.000.000 de horas a falta de este dato.
38.10 Características de fatiga de las armaduras activas y pasivas
La variación de tensión máxima, debida a la carga de fatiga, debe ser inferior a los valores del límite de fatiga indicados en la tabla 38.10.
Tabla 38.10
Límite de fatiga para armaduras pasivas y activas
|
Tipo de acero |
Límite de fatiga DsD (N/mm2) |
|
|
Adherencia directa |
Adherencia dentro de vainas de acero |
|
|
Armaduras pasivas |
|
|
|
Armaduras activas |
|
|
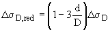
En el caso de barras dobladas, a falta de resultados experimentales específicos y representativos, el límite de fatiga indicado en la tabla 38.10 deberá disminuirse según el siguiente criterio:

donde:
En el caso de estribos verticales de diámetro menor o igual a 10 mm, no será necesaria ninguna reducción del límite de fatiga.
38.11 Características de fatiga de los dispositivos de anclaje y empalme de la armadura activa
Los dispositivos de anclaje y empalme se situarán, en la medida de lo posible, en secciones donde sea mínima la variación de tensiones.
En general, el límite de fatiga de este tipo de elementos es inferior al de las armaduras y deberá ser suministrado por el fabricante después de la realización de ensayos específicos y representativos.
Artículo 39º Características del hormigón
39.1 Definiciones
Resistencia característica de proyecto, fck es el valor que se adopta en el proyecto para la resistencia a compresión, como base de los cálculos. Se denomina también resistencia característica especificada o resistencia de proyecto.
Resistencia característica real, fc,real de obra es el valor que corresponde al cuantiI del 5 por 100 en la distribución de resistencia a compresión del hormigón colocado en obra.
Resistencia característica estimada, fc,est es el valor que estima o cuantifica la resistencia característica real de obra a partir de un número finito de resultados de ensayos normalizados de resistencia a compresión, sobre probetas tomadas en obra. Abreviadamente se puede denominar resistencia característica.
La determinación de la resistencia característica estimada se realizará según 88.4.
Si no se dispone de resultados de ensayos, podrá admitirse que la resistencia característica inferior a tracción fct,k (correspondiente al cuantil del 5 por 100) viene dada, en función de la resistencia característica de proyecto a compresión fck, por la fórmula:

Los valores de la resistencia media a tracción
fct,m, y resistencia característica superior a tracción (correspondiente al cuantil del 95 por 100) fct,k 0,95 pueden estimarse, a falta de resultados de ensayos, mediante:

En todas estas fórmulas,
fct,k, fck ,fct,m, fct,k 0,95 están expresadas en N/mm2 .En la presente Instrucción, la expresión resistencia característica a tracción se refiere siempre, salvo que se indique lo contrario, a la resistencia característica inferior a tracción
fct,k.39.2 Tipificación de los hormigones
Los hormigones se tipificarán de acuerdo con el siguiente formato (lo que deberá reflejarse en los planos de proyecto y en el Pliego de Prescripciones Técnicas Particulares del proyecto):
T- R / C / TM / A
donde:
En cuanto a la resistencia característica especificada, se recomienda utilizar la siguiente serie:
20, 25, 30, 35, 40, 45, 50
En la cual las cifras indican la resistencia característica especificada del hormigón a compresión a 28 días, expresada en N/mm2.
La resistencia de 20 N/mm2 se limita en su utilización a hormigones en masa.
El hormigón que se prescriba deberá ser tal que, además de la resistencia mecánica, asegure el cumplimiento de los requisitos de durabilidad (contenido mínimo de cemento y relación agua/cemento máxima) correspondientes al ambiente del elemento estructural, reseñados en 37.3.
Salvo indicación expresa, las prescripciones y requisitos de la presente instrucción están avalados por la experimentación para resistencia de hasta 50 N/mm2, por lo que para valores superiores a éste, se deberá realizar la adecuación oportuna
39.3 Diagrama tensión-deformación característico del hormigón
El diagrama característico tensión-deformación del hormigón depende de numerosas variables: edad del hormigón, duración de la carga, forma y tipo de la sección, naturaleza de la solicitación, tipo de árido, estado de humedad, etc.
Dada la dificultad de disponer del diagrama tensión-deformación del hormigón, aplicable al caso concreto en estudio, a efectos prácticos pueden utilizarse diagramas característicos simplificados.

Figura 39.3.a

Figura 39.3.b
39.4 Resistencia de cálculo del hormigón
Se considerará como resistencia de cálculo del hormigón (en compresión
fcd o en tracción fct,d) el valor de la resistencia característica de proyecto fck correspondiente, dividido por un coeficiente parcial de seguridad gc que adopta los valores indicados en el Artículo 15º.39.5 Diagrama tensión-deformación de cálculo del hormigón
Para el cálculo de secciones sometidas a solicitaciones normales, en los Estados Límite Ultimos se adoptará uno de los diagramas siguientes:
a) Diagrama parábola rectángulo
Está formado por una parábola de segundo grado y un segmento rectilíneo (figura 39.5.a). El vértice de la parábola se encuentra en la abscisa 2 por 1.000 (deformación de rotura del hormigón a compresión simple) y el vértice extremo del rectángulo en la abscisa 3,5 por 1.000 (deformación de rotura del hormigón en flexión). La ordenada máxima de este diagrama corresponde a una compresión igual a 0,85 fcd , siendo fcd la resistencia de cálculo del hormigón a compresión.

Figura 39.5.a Diagrama de cálculo parábola rectángulo
b) Diagrama rectangular
Está formado por un rectángulo cuya altura y se da en función de la profundidad del eje neutro
x en la figura 39.5.b (para el caso habitual x £ h es y = 0,8x) y cuya anchura es 0,85 fcd

Figura 39.5.b Diagrama de cálculo rectangular
c) Otros diagramas de cálculo, como los parabólicos, birrectilíneos, trapezoidales, etc. Se aceptarán siempre que los resultados con ellos obtenidos concuerden, de una manera satisfactoria, con los correspondientes a los de la parábola rectángulo o queden del lado de la seguridad.
39.6 Módulo de deformación longitudinal del hormigón
Para cargas instantáneas o rápidamente variables, el módulo de deformación longitudinal inicial del hormigón (pendiente de la tangente en el origen de la curva real
s -e) a la edad de j días, puede tomarse igual a:
En esta expresión
fcm,j es la resistencia media a compresión del hormigón a j días de edad y debe expresarse en N/mm2 para obtener Eoj en N/mm2.Como módulo instantáneo de deformación longitudinal secante
Ej (pendiente de la secante), se adoptará:
Dicha expresión es válida siempre que las tensiones, en condiciones de servicio, no sobrepasen el valor de 0,45
fcj, siendo fcj la resistencia característica a compresión del hormigón a j días de edad.39.7 Retracción del hormigón
Para la evaluación del valor de la retracción, han de tenerse en cuenta las diversas variables que influyen en el fenómeno, en especial: el grado de humedad ambiente, el espesor o menor dimensión de la pieza, la composición del hormigón y el tiempo transcurrido desde la ejecución, que marca la duración del fenómeno.
39.8 Fluencia del hormigón
La deformación dependiente de la tensión, en el instante t, para una tensión constante
s (t0), menor que 0,45 fcm, aplicada en t0 puede estimarse de acuerdo con el criterio siguiente:
donde t
0 y t se expresan en días.El primer sumando del paréntesis representa la deformación instantánea para una tensión unidad, y el segundo la de fluencia, siendo:
E0,28 - Módulo de deformación longitudinal inicial del hormigón a los 28 días de edad, definido en 39.6.
E0,to - Módulo de deformación longitudinal inicial del hormigón en el instante t0 de aplicación de la carga, definido en 39.6.
j(t,t0) - Coeficiente de fluencia.
39.9 Coeficiente de Poisson
Para el coeficiente de Poisson relativo a las deformaciones elásticas bajo tensiones normales de utilización, se tomará un valor medio igual a 0,20.
39.10 Coeficiente de dilatación térmica
El coeficiente de dilatación térmica del hormigón se tomará igual a 10-5 .