TÍTULO IV
DEL RÉGIMEN ECONÓMICO-FINANCIERO DE LA UTILIZACIÓN DEL DOMINIO PÚBLICO HIDRÁULICO
CAPÍTULO PRIMERO
CANON DE OCUPACIÓN
Artículo 284.
1. La ocupación o utilización que requiera autorización o concesión de los bienes del dominio público hidráulico en los causes de corrientes naturales, continuas o discontinuas, y en los lechos de los lagos y lagunas y los de los embalses superficiales en causes públicos, se gravará con un canon destinado a la protección y mejora de dicho dominio, cuya aplicación se hará pública por el Organismo de cuenca. Los concesionarios de aguas estarán exentos del pago del canon por la ocupación o utilización de los terrenos de dominio público necesarios para llevar a cabo la concesión (art. 104.1 de la LA).2. La base imponible de esta exacción será el valor del bien utilizado, teniendo en cuenta el rendimiento que reporte. El tipo de gravamen anual será el 4 por 100 sobre el valor de la base imponible (art. 104.2 de la LA).
3. Este canon será gestionado y recaudado, en nombre del Estado, por los Organismos de cuenca, quienes informarán al Ministerio de Economía y Hacienda periódicamente en la forma que el mismo determine (art. 104.3 de la LA).
Artículo 285. El canon que se establece en el artículo 104 de la Ley de Aguas se denominará «canon de utilización de bienes de dominio público hidráulico», y es objeto del mismo la ocupación de terrenos o utilización de terrenos o utilización de bienes de dominio público hidráulico a que se refieren los apartados b) y c) del artículo 2 de la Ley de Aguas, incluyendo el aprovechamiento de sus materiales que requieran concesiones o autorizaciones del Organismo de cuenca.
Artículo 286. Están obligados al pago de canon, en la cuantía y condiciones que se determinan en este Reglamento, los titulares de las concesiones o autorizaciones antes mencionadas o personas que se subroguen en sus derechos y obligaciones.
Artículo 287. 1. El valor del bien utilizado y, en consecuencia, la base imponible, según los distintos casos que puedan presentarse, se determinará de la siguiente forma:
a) Ocupación de terrenos de dominio público hidráulico.
La base de la tasa es el valor del terreno ocupado, habida cuenta del valor de los terrenos contiguos y de los beneficios que los concesionarios obtengan por su proximidad a vías de comunicación y obras marítimas o hidráulicas.
b) Utilización del dominio público hidráulico.
Cuando esta utilización se pueda valorar se empleará este valor como base; en otro caso se aplicará el beneficio obtenido en la utilización.
c) Aprovechamiento de materiales.
Si se consumen, se empleará como base el valor de los materiales consumidos; si no se consumen, se aplicará como base la utilidad que reporte su aprovechamiento.
En todos los casos la fijación de la base imponible será efectuada por el Organismo de cuenca.
2. El canon podrá ser revisado por el Organismo de cuenca proporcionalmente a los aumentos que experimente el valor de la base utilizada para fijarlo, si bien estas revisiones sólo podrán realizarse al término de los períodos que en cada caso se especifiquen en las condiciones de la concesión.
3. El canon tendrá carácter anual, debiendo reducirse proporcionalmente si la concesión o la autorización fuese otorgada por un período inferior.
Artículo 288. La obligación de satisfacer el canon nace para los usuarios con el carácter que fije la concesión o autorización en el momento de la firma de la misma o de la revisión del propio canon por el Organismo de cuenca.
El canon será exigible, por la cuantía que corresponda y por los plazos que se señalen en las condiciones de la concesión o autorización, en el período voluntario, dentro de los treinta días siguientes a la fecha de la notificación de la liquidación de la cuota.
CAPÍTULO II
CANON DE VERTIDO
Artículo 289. 1. Los vertidos autorizados conforme a lo dispuesto en los artículos 92 y siguientes de la Ley de Aguas se gravarán con un canon destinado a la protección y mejora del medio receptor de cada cuenca hidrográfica.
2. El importe de esta exacción será el resultado de multiplicar la carga contaminante del vertido, expresada en unidades de contaminación, por el valor que se asigne a la unidad.
Se entiende por unidad de contaminación un patrón convencional de medida, que se fija en los artículos siguientes, referido a la carga contaminante producida por el vertido tipo de aguas domésticas, correspondiente a mil habitantes y al período de un año. Asimismo, se fijarán en el anexo a este título IV los baremos de equivalencia para los vertidos de aguas residuales de otra naturaleza.
El valor de la unidad de contaminación que podrá ser distinto para los distintos ríos y tramos de río, se determinará y revisará, en su caso, de acuerdo con las previsiones de los Planes Hidrológicos respecto a la calidad de las aguas continentales, de modo que se cubra la financiación de las obras necesarias para el cumplimiento de dichas previsiones.
3. Este canon será percibido por los Organismos de cuenca y será destinado a las actuaciones de protección de la calidad de las aguas que hayan sido previstas en los Planes Hidrológicos de cuenca a cuyo efecto se pondrá a Disposición de los Organismos competentes.
4. Cuando el sujeto pasivo del canon de vertido viniera obligado a soportar otras cargas económicas ya establecidas o que puedan serlo por las Comunidades Autónomas o por las Corporaciones Locales, en el ejercicio de sus competencias, para financiar planes o programas públicos de depuración de aguas residuales, el Consejo del Agua determinará anualmente las deducciones que deban realizarse en el importe del canon del vertido (art. 105 de la LA).
Artículo 290. El canon que se establece en el artículo 105 de la Ley de Aguas se denominará «canon de vertido» y es objeto del mismo el vertido de aguas residuales procedentes de saneamientos urbanos, establecimientos industriales y otros focos susceptibles de degradar la calidad de las aguas.
Artículo 291. La obligación de satisfacer el canon tendrá carácter periódico y anual y nace en el momento en que sea otorgada la autorización de vertido. Durante el primer trimestre de cada año natural deberá abonarse el canon correspondiente al año anterior.
Artículo 292. Están obligados al pago del canon de vertido los titulares de las autorizaciones.
Artículo 293. Para la definición de la unidad de contaminación (UC) se considerará que la carga contaminante por habitante y día es de:
90 gramos de materias en suspensión (MES).
61 gramos de materiales oxidables (MO).
Artículo 294. La carga contaminante se determinará por la fórmula siguiente:
C = K V, en la que
C = Carga contaminante medida en unidades de contaminación.
V = Volumen del vertido en metros cúbicos/año.
K = Un coeficiente que depende de la naturaleza del vertido y del grado de tratamiento previo al vertido. Los valores de este coeficiente se incluyen en el anexo de este Título IV.
Artículo 295. 1. El Organismo de cuenca, con base en los Planes de depuración establecidos por las Administraciones Públicas competentes, formulará las previsiones de inversión que puedan servir para calcular el valor de la unidad de contaminación, de modo que se cubra la financiación necesaria.
2. El valor de la unidad de contaminación se establecerá para períodos de cuatro años, sin perjuicio de la revisión, en su caso, en función de la depreciación de la moneda.
3. En tanto se determinan por los Organismos de cuenca los valores de la unidad de contaminación, se fija con carácter general y transitorio un valor para la misma de 500.000 pesetas, que tendrá una reducción del 80 por 100 durante 1986, del 60 por 100 durante 1987 y del 40 por 100 durante 1988.
4. El Estado podrá suscribir los oportunos Convenios, con las Comunidades Autónomas y Corporaciones o Entidades Locales interesadas, en orden a la realización de actuaciones o proyectos relativos a la protección y mejora del medio receptor de la cuenca hidrográfica, cuando los mismos respondan a las previsiones generales contenidas en los Planes Hidrológicos para alcanzar las características básicas de calidad de las aguas y de ordenación de los vertidos, según lo prevenido en el artículo 40, apartado e) de la Ley de Aguas. La financiación, total o parcial, de las actuaciones o proyectos, podrá imputarse en cada cuenca al importe de la recaudación por el concepto de canon del vertido, sin perjuicio de las competencias que en la materia reconoce el artículo 105.3 de la citada Ley a los Organismos de cuenca.
CAPÍTULO III
CANON DE REGULACIÓN Y TARIFAS
Artículo 296. 1. Los beneficiados por las obras de regulación de aguas superficiales o subterráneas realizadas total o parcialmente a cargo del Estado, satisfarán un canon destinado a compensar la aportación del Estado y atender a los gastos de explotación y conservación de tales obras.
2. Los beneficiados por otras obras hidráulicas específicas realizadas íntegramente a cargo del Estado, incluidas las de corrección del deterioro del dominio público hidráulico, derivado de su utilización, satisfarán por la disponibilidad o uso del agua una exacción destinada a compensar los costes de inversión y atender a los gastos de explotación y conservación de tales obras.
3. La cuantía de cada una de las exacciones se fijará, para cada ejercicio presupuestario, sumando las siguientes cantidades:
a) El total previsto de gastos de funcionamiento y conservación de las obras realizadas.
b) Los gastos de administración del Organismo gestor, imputables a dichas obras.
c) El 4 por 100 del valor de las inversiones realizadas por el Estado, debidamente actualizado, teniendo en cuenta la amortización técnica de las obras e instalaciones y la depreciación de la moneda.
4. La distribución individual de dicho importe global entre todos los beneficiados por las obras, se realizará con arreglo a criterios de racionalización del uso del agua, equidad en el reparto de las obligaciones y autofinanciación del servicio.
5. Estas exacciones serán gestionadas y recaudadas en nombre del Estado por los Organismos de cuenca, quienes informarán al Ministerio de Economía y Hacienda periódicamente en la forma en que el mismo determine (art. 106 de LA).
Artículo 297. El canon que se establece en el artículo 106.1 de la Ley de Aguas se denominará «canon de regulación» y son objeto del mismo las mejoras producidas por la regulación de los caudales de agua sobre los regadíos, abastecimientos de poblaciones, aprovechamientos industriales o usos e instalaciones de cualquier tipo que utilicen los caudales que resulten beneficiados o mejorados por dichas obras hidráulicas de regulación.
Artículo 298. La obligación de satisfacer el canon tendrá carácter periódico y anual y nace en el momento en que se produzca la mejora o beneficio de los usos o bienes afectados, bien sea directa o indirectamente, como se especifica en este Reglamento.
Artículo 299. Están obligados al pago del canon de regulación, las personas naturales o jurídicas y demás Entidades titulares de derechos al uso del agua, beneficiadas por la regulación de manera directa o indirecta.
Se considera que lo son de manera directa los que, beneficiándose de la regulación, tienen su toma en los embalses o aguas abajo de los mismos, o se abastecen de un acuífero recargado artificialmente.
Se considera que lo son de manera indirecta los concesionarios de aguas públicas cuyos títulos de derecho al uso del agua estén fundamentados en la existencia de una regulación que permita la reposición de los caudales concedidos.
Artículo 300. El cálculo de las cantidades que han de sumarse para obtener la cuantía del canon para cada ejercicio presupuestario se efectuará con arreglo a los siguientes criterios:
a) El total previsto de los gastos de funcionamiento y conservación de las obras realizadas referentes a la regulación.
Dicho total se deducirá del presupuesto del ejercicio correspondiente, asignado la parte adecuada de los conceptos o artículos presupuestarios a los que se prevea imputar los gastos correspondientes a las obras de regulación.
El desglose será el suficiente para poder efectuar el cálculo de los distintos cánones aplicables para cada obra o grupo de obras que el Organismo de cuenca defina a efectos de este canon.
A las cantidades así deducidas se añadirán las diferencias en más o en menos que pudieran resultar entre las cantidades previstas para el ejercicio anterior y los gastos realmente producidos.
b) Los gastos de administración del Organismo gestor imputables a las obras de regulación.
Se procederá para su cálculo de una forma análoga al procedimiento establecido para determinar los gastos de funcionamiento y conservación del apartado a).
c) El 4 por 100 de las inversiones realizadas por el Estado. El importe de las inversiones incluirá los gastos motivados por la redacción de los proyectos, la construcción de las obras principales y las complementarias, las expropiaciones o indemnizaciones necesarias y, en general, todos los gastos de inversión sean o no de primer establecimiento.
Serán deducibles de dicho importe de las inversiones la parte correspondiente a la reposición de los servicios afectados que constituya una mejora de los mismos.
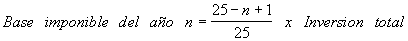
El período total de amortización técnica para las inversiones de regulación se fija en cincuenta años, durante los cuales persiste la obligación del pago del apartado c) del canon de regulación. La base imponible se obtendrá restando de la inversión total la amortización técnica lineal durante dicho período, lo que se traduce en la fórmula siguiente:
![]()
se considerará año 1 el primer ejercicio económico siguiente a la puesta en marcha de las obras.
La base imponible del año n se ha de actualizar mediante la aplicación sucesiva a esta base de los incrementos monetarios experimentados cada año, desde el primero, estimándose estos incrementos porcentuales en el exceso sobre el 6 por 100 del interés legal del dinero que tuvo vigencia en cada anualidad transcurrida, resultando así la base imponible definitiva del año n.
Para las obras de regulación de aguas superficiales o subterráneas, realizadas total o parcialmente a cargo del Estado, y con un régimen económico de aportación al coste de las obras regulado por la normativa anterior a la entrada en vigor de la Ley de Aguas, el período pendiente de pago será el resultante del régimen fijado en su día para la financiación de las obras. Las anualidades restantes por satisfacer serán las correspondientes a dicho régimen de financiación, pero sujetas a una actualización porcentual acumulativa, teniendo en cuenta la amortización técnica y depreciación de la moneda, a partir de la entrada en vigor de la Ley de Aguas, de acuerdo con la siguiente fórmula:

En la que:
A = Anualidad que resultaría del régimen de financiación anterior fijado en su día para las obras.
b = El porcentaje de amortización técnica, cuyo valor se fija en 4.
Y sin que en ningún caso el valor actualizado pueda ser inferior a la anualidad que resultaría del régimen de financiación anterior.
Artículo 301. A los efectos de cálculo, las cantidades resultantes de los apartados a) y b) del artículo anterior se repartirán entre la totalidad de usuarios o beneficiarios actuales obligados al pago del canon de regulación, aunque podrá establecerse un régimen transitorio cuando la puesta en servicio se efectúe gradualmente.
Las cantidades resultantes del apartado c) del artículo anterior se repartirán entre los usuarios o beneficiarios actuales y previsibles de las obras de regulación existentes.
Los citados repartos se harán equitativamente en razón a la participación en los beneficios o mejoras producidas por las obras. El valor unitario de aplicación individual a cada sujeto obligado vendrá dado en unidades de superficie cultivable, caudal, consumo de agua, energía o cualquier otro tipo de unidad adecuada al uso de que se trate, estableciendo el Ministerio de Obras Públicas y Urbanismo, a propuesta del Organismo de cuenca, oídos los órganos representativos de los usuarios o beneficiarios existentes en su seno las equivalencias necesarias.
Artículo 302. Para las obras hidráulicas explotadas por el Organismo de cuenca, éste determinará los cánones de regulación correspondientes a cada ejercicio, efectuando la liquidación conforme a lo indicado en los artículos siguientes.
El Organismo de cuenca fijará los cánones correspondientes a cada ejercicio, para las obras hidráulicas a su cargo. Su cálculo irá acompañado del correspondiente estudio económico efectuado con participación de los órganos representativos de los usuarios o beneficiarios existentes en el Organismo gestor correspondiente.
El valor propuesto se someterá a información pública por un plazo de quince días, anunciada en el «Boletín Oficial» de las provincias afectadas, a efecto de que puedan formularse las reclamaciones que procedan.
Si no existieran reclamaciones durante el período de información pública, el canon de regulación se considerará automáticamente aprobado al finalizar la misma; en caso contrario, el Organismo de cuenca resolverá lo que proceda.
Artículo 303. El canon podrá ser puesto al cobro a partir de la aplicación del presupuesto del ejercicio correspondiente o de la prórroga del anterior.
En el caso de que el canon de regulación no pudiera ser puesto al cobro en el ejercicio correspondiente, debido a retrasos motivados por tramitación de impugnaciones o recursos o por, o por otras causas, el Organismo gestor podrá aplicar provisionalmente y a buena cuenta el último aprobado que haya devenido firme.
Artículo 304. La exacción que se establece en el artículo 106.2 de la Ley de Aguas se denominará «tarifa de utilización del agua» y son objeto de la misma el aprovechamiento o disponibilidad del agua hecha posible por obras hidráulicas específicas. Los ocasionales fallos en el suministro producidos por sequía o causa de fuerza mayor no producirán exención de la tarifa.
Artículo 305. La obligación de satisfacer la tarifa tendrá carácter periódico y anual y nace en el momento en que puedan utilizarse las instalaciones de las obras hidráulicas específicas, conducirse el agua y suministrarse a los terrenos o usuarios afectados.
Artículo 306. Están obligados al pago de la tarifa las personas naturales o jurídicas y demás Entidades titulares de derechos al uso del agua que utilicen las obras hidráulicas específicas realizadas íntegramente a cargo del Estado.
La obra hidráulica específica comprenderá el conjunto de las obras e instalaciones interrelacionadas que constituyan un sistema capaz de proporcionar un servicio completo de suministro de agua.
Artículo 307. El cálculo de las cantidades que han de sumarse para obtener la cuantía de la tarifa para cada ejercicio presupuestario se efectuará con arreglo a los siguientes criterios:
a) El total previsto de los gastos de funcionamiento y conservación de las obras hidráulicas específicas.
Dicho total se deducirá del presupuesto del ejercicio correspondiente, asignando la parte adecuada de los conceptos o artículos presupuestarios a los que se prevea imputar los gastos correspondientes a cada obra hidráulica específica. El desglose será el suficiente para poder efectuar el cálculo de las distintas tarifas aplicables para cada uno de los grupos de usuarios que se sirvan de cada obra hidráulica específica en distintas situaciones.
A las cantidades así deducidas se añadirán las diferencias en más o en menos que pudieran resultar entre las cantidades previstas para el ejercicio anterior y los gastos realmente producidos y acreditados en la liquidación de dicho ejercicio.
b) Los gastos de administración del Organismo gestor imputables a las obras de que se trate.
Se procederá para su cálculo de una forma análoga al procedimiento establecido para determinar los gastos de funcionamiento y conservación del apartado anterior.
c) El 4 por 100 de las inversiones realizadas por el Estado.
El importe de las inversiones incluirá los gastos motivados por la redacción de los proyectos, la construcción de las obras principales y las complementarias, las expropiaciones o indemnizaciones necesarias y, en general, todos los gastos de inversión, sean o no de primer establecimiento.
Serán deducibles de dicho importe de las inversiones la parte correspondiente a la reposición de los servicios afectados que constituyan una mejora de los mismos.
La amortización técnica para las obras hidráulicas específicas realizadas íntegramente a cargo del Estado se concretará en cuanto al período total, fijando en veinticinco anualidades la duración de la obligación del pago del apartado c) de la tarifa de utilización del agua; en cuanto a la determinación de la parte no amortizada de la inversión se concretará suponiendo una depreciación lineal en el período de amortización, según la fórmula:
![]()
Se considerará año 1 el primer ejercicio económico después de que se hayan dado las condiciones previstas en el artículo 305.
La actualización del valor de las inversiones se determinará en todos los casos incrementando cada año la base imponible, calculada de la forma establecida, en la suma de las cantidades resultantes de aplicar a cada una de las bases imponibles de las anualidades ya devengadas un porcentaje igual a lo que exceda del 6 por 100 el del interés legal del dinero vigente del ejercicio económico correspondiente.
Para las obras hidráulicas específicas realizadas íntegramente a cargo del Estado, con un régimen económico de aportación al coste de las obras regulado por la normativa anterior a la entrada en vigor de la Ley de Aguas, el período pendiente de pago será el resultante del régimen fijado en su día para la financiación de las obras. Las anualidades restantes por satisfacer serán las correspondientes a dicho régimen de financiación, pero sujetas a una actualización porcentual acumulativa, teniendo en cuenta la amortización técnica y depreciación de la moneda, a partir de la entrada en vigor de la Ley de Aguas, de acuerdo con la siguiente fórmula:

En la que:
A = Anualidad que resultaría del régimen de financiación anterior fijado en su día para las obras.
b = El porcentaje de amortización técnica, cuyo valor se fija en 4.
Y sin que en ningún caso el valor actualizado pueda ser inferior a la anualidad que resultaría del régimen de financiación anterior.
Artículo 308. A los efectos de cálculo, las cantidades resultantes de los apartados a), b) y c) del artículo anterior se repartirán entre la totalidad de usuarios o beneficiarios actuales obligados al pago de la tarifa, aunque podrá establecerse un régimen transitorio cuando la puesta en servicio se efectúe gradualmente.
Los citados repartos se harán equitativamente en razón a la participación en los beneficios o mejoras producidas por las obras. El valor unitario de aplicación individual a cada sujeto obligado vendrá dado en unidades de superficie cultivable, caudal, consumo de agua, energía o cualquier otro tipo de unidad adecuada al uso de que se trate, estableciendo el Ministerio de Obras Públicas y Urbanismo, a propuesta del Organismo de cuenca, oídos los órganos representativos de los usuarios o beneficiarios existentes en su seno las equivalencias necesarias. También podrá establecerse una tarifa binomia que contemple dos unidades de medida cuando el Organismo de cuenca lo considere oportuno.
Artículo 309. Para las obras hidráulicas explotadas por el Organismo de cuenca, éste determinará las tarifas de utilización del agua correspondientes a cada ejercicio, efectuando la liquidación conforme a lo indicado en el artículo 311.
El Organismo de cuenca fijará las tarifas para cada obra hidráulica a su cargo correspondientes a cada ejercicio, que deberán ir acompañadas del correspondiente estudio económico efectuado con participación de los órganos representativos de los usuarios o beneficiarios existentes en el Organismo gestor correspondiente.
El valor propuesto se someterá a información pública por un plazo de quince días, anunciada en el «Boletín Oficial» de las provincias afectadas, a efecto de que puedan formularse las reclamaciones que procedan.
Si no existieran reclamaciones durante el período de información pública, la tarifa se considerará automáticamente aprobada al finalizar la misma; en caso contrario, el Organismo de cuenca resolverá el expediente aprobando la tarifa si procediera.
Artículo 310. La tarifa podrá ser puesta al cobro a partir de la aplicación del presupuesto del ejercicio correspondiente o de la prórroga del anterior.
En el caso de que la tarifa no pudiera ser puesta al cobro en el ejercicio corriente debido a retrasos motivados por tramitación de impugnaciones o recursos o por otras causas, el Organismo gestor podrá aplicar provisionalmente y a buena cuenta la última aprobada que haya devenido firme.
Artículo 311. Una vez aprobados los cánones de regulación y las tarifas de utilización de agua, el Organismo de cuenca formulará las correspondientes liquidaciones y las notificará a los interesados en la forma prevista en la Ley de Procedimiento Administrativo.
A los sujetos de la tarifa de utilización del agua se les incluirá en la liquidación anual el importe del canon de regulación que les correspondiera.
El Organismo de cuenca podrá exigir el pago directamente a los obligados o, si así lo decidiere, a través de las Comunidades de Usuarios o de cualquier otro Organismo representativo de los mismos.
Artículo 312. La recaudación se hará efectiva por ingreso directo en la cuenta de cada Organismo de cuenca, abierta a este fin en la entidad de crédito designada en la forma que disponga la legislación aplicable a la materia.
El período voluntario de ingreso será de un mes, contado a partir de la fecha de recepción de la notificación de la liquidación. Transcurrido el plazo para realizar el ingreso voluntario, se procederá a la recaudación por el procedimiento ejecutivo de apremio, conforme a lo dispuesto en el Reglamento General de la Recaudación.
Dentro del período voluntario el sujeto obligado podrá solicitar demora o fraccionamiento del pago, a cuyos efectos se faculta el Organismo de cuenca para decidir sobre su procedencia y concesión, en su caso, de las mismas condiciones establecidas en el Reglamento General de Recaudación.
CAPÍTULO IV
ACTOS DE LIQUIDACIÓN
Artículo 313. 1. El Gobierno, por Real Decreto, a propuesta de los Ministros de Economía y Hacienda y de Obras Públicas y Urbanismo, podrá establecer un sistema de autoliquidación de los cánones o exacciones previsto en la Ley en función de la peculiaridad de los mismos.
2. Los actos de aprobación y liquidación de estos cánones o exacciones tendrán carácter económico-administrativo. Sin perjuicio de lo dispuesto en las normas reguladoras de los procedimientos aplicables, la impugnación de los actos no suspenderá su eficacia, siendo exigible el abono del débito por la vía administrativa de apremio. El impago podrá motivar la suspensión o pérdida del derecho a la utilización o aprovechamiento del dominio público hidráulico (art. 107.2 de la LA).