TÍTULO PRIMERO

DEFINICIÓN Y APLICACIÓN DE LAS TARIFAS

PRIMERO: Ámbito de aplicación.

    Las tarifas de energía eléctrica que se definen en el presente Anexo serán de aplicación a la energía suministrada por las empresas acogidas al Sistema Integrado de Facturación de Energía Eléctrica (SIFE).

    Quedan exceptuados de las mismas:

    1.° Los consumos propios de las empresa eléctricas destinados a sus actividades de producción, transporte y distribución de energía eléctrica. No se considerarán como consumos propios los de las explotaciones mineras, aunque sean para el abastecimiento de centrales termoeléctricas, ni los habidos en centrales en construcción y/o moratoria.

    2.° El suministro de energía eléctrica a los empleados de las propias empresas eléctricas destinados a las actividades de producción, transporte y distribución de energía eléctrica, que se rige por su tarifa específica.

    3.° La energía entregada a las Administraciones Públicas, correspondiente a las reservas establecidas en sus concesiones.

    4.° La energía de auxilio y la energía intercambiada entre las empresas eléctricas acogidas al SIFE, salvo las ventas a empresas distribuidoras.

    5.° Los suministros gratuitos o con precios especiales particulares, por servidumbre o contrato, en vigor antes del 1 de enero de 1971, durante el período de vigencia del mismo contrato o su prórroga o ampliación, que hubieran sido registrados por la Dirección General de la Energía a solicitud de los interesados con anterioridad al 20 de abril de 1984 tal y como establecía la Orden de 14 de octubre de 1983.

     

SEGUNDO: Estructura general tarifaria.

    Las tarifas de energía eléctrica son de estructura binomia y están compuestas por un término de facturación de potencia y un término de facturación de energía y, cuando proceda, por recargos o descuentos como consecuencia de la discriminación horaria, del factor de potencia, de la estacionalidad o de la interrumpibilidad.

    El término de facturación de potencia será el producto de la potencia a facturar por el precio del término de potencia y el término de facturación de energía será el producto de la energía consumida durante el período de facturación considerado por el precio del término de energía.

    La suma de los dos términos mencionados, que constituyen la facturación básica, y de los citados complementos, función de la modulación de la carga y de la energía reactiva, constituye, a todos los efectos, el precio máximo de tarifa autorizado por el Ministerio de Industria y Energía.

    En las cantidades resultantes de la aplicación de las tarifas no están incluidos los impuestos, recargos y gravámenes establecidos o que se establezcan sobre el consumo y suministro que sean de cuenta del consumidor, y estén las empresas suministradoras encargadas de la recaudación de los mismos, alquileres de equipos de medida o control, derechos de acometida, enganche y verificación, ni aquellos otros cuya repercusión sobre el usuario esté legalmente autorizada.

     

TERCERO: Definición de las tarifas.

    Las tarifas de aplicación general a todos los abonados, sin más condiciones que las derivadas de la tensión a que se haga su acometida, son:

Baja tensión: 3.0 y 4.0

Alta tensión: 1., 2. y 3.


    Los abonados que cumplan las condiciones especificadas para poderse acoger a alguna de las tarifas restantes, podrán optar por dicha tarifa o por la de aplicación general correspondiente.

    Las tarifas de aplicación serán las siguientes:

    3.1. Tarifas de baja tensión.

    Se podrán aplicar a los suministros efectuados a tensiones no superiores a 1.000 voltios.

    3.1.1. Tarifa 1.0.

    Se podrá aplicar a cualquier suministro, fase-neutro o bifásico, en baja tensión, con potencia contratada no superior a 770 W.

    En esta tarifa se podrán contratar las potencias siguientes:

Tensión nominal

Potencia contratada

127 V

445 W, 635 W

220 V

330W,770W


    A esta tarifa no le son de aplicación complementos por energía reactiva, discriminación horaria, estacionalidad ni interrumpibilidad.

    3.1.2. Tarifa 2.0

    Se podrá aplicar a cualquier suministro en baja tensión, con potencia contratada no superior a 15 kW.

    A esta tarifa sólo le es de aplicación el complemento por energía reactiva si se mediera un coseno de (p inferior a 0,8 en las condiciones fijadas en el punto 7.2.2 y opcionalmente, el complemento por discriminación horaria TIPO 0 denominado «Tarifa Nocturna», pero no le son de aplicación el complemento por discriminación horaria tipos 1, 2, 3, 4 y 5, el complemento por estacionalidad ni el complemento por interrumpibilidad.

    3.1.3. Tarifa 3.0 de utilización normal.

    Se podrá aplicar a cualquier suministro en baja tensión.

    A esta tarifa le son de aplicación complementos por energía reactiva y discriminación horaria pero no por estacionalidad ni interrumpibilidad.

    3.1.4. Tarifa 4.0 de larga duración.

    Se podrá aplicar a cualquier suministro en baja tensión.

    A esta tarifa le son de aplicación complementos por energía reactiva y discriminación horaria pero no por estacionalidad ni interrumpibilidad.

    3.1.5. Tarifa B.O de alumbrado público.

    Se podrá aplicar a los suministros de alumbrado público en baja tensión contratados por la Administración Central, Autonómica o Local.

    Se entiende como alumbrado público el de calles, plazas, parques públicos, vías de comunicación y semáforos. No se incluye como tal el alumbrado ornamental de fachadas, ni el de fuentes públicas.

    Se considera también alumbrado público el instalado en muelles, caminos y carreteras de servicio, tinglados y almacenes, pescaderías y luces de situación, dependencia de las Juntas de Puertos, puertos autonómicos, Comisión Administrativa de Grupos de Puertos y puertos públicos.

    A esta tarifa le es de aplicación complemento por energía reactiva pero no por discriminación horaria, estacionalidad ni interrumpibilidad.

    3.1.6. Tarifa R.O para riegos agrícolas.

    Se podrá aplicar a los suministros de energía en baja tensión con destino a riegos agrícolas o forestales, exclusivamente para la elevación y distribución del agua de propio consumo.

    A esta tarifa le son de aplicación complementos por energía reactiva y discriminación horaria, excepto el tipo 5, pero no por estacionalidad ni interrumpibilidad.

    3.2. Tarifas de alta tensión.

    Se aplicarán las tarifas de alta tensión a los suministros realizados a tensiones nominales superiores a 1.000 voltios.

    3.2.1. Tarifas generales de alta tensión.

    Se podrán aplicar a cualquier suministro en alta tensión, en el escalón de tensión que corresponda en cada caso.

    Sus modalidades, en función de la utilización y de la tensión de servicio, serán:

    

Nivel de tensión:

Utilización

Nivel de tensión

Corta (1.)

Media (2.)

Larga (3.)

1. Hasta 36 kV., inclusive (.1 )

1,1

2,1

3,1

2. Mayor de 36 kV. y no superior a 72,5 kV. (.2)

1,1

2,2

3,2

3. Mayor de 72,5 kV. y no superior a 145 kV. (.3)

1,3

2,3

3,3

4. Mayor de 145 kV. (.4)

1,4

2,4

3,4

 

    A estas tarifas les son de aplicación complementos por energía reactiva y discriminación horaria, y, en su caso, por estacionalidad e interrumpibilidad si cumplen las condiciones requeridas.

    3.2.2. Tarifas T para tracción.

    Se podrán aplicar a los suministros de energía eléctrica para tracción de ferrocarriles, ferrocarriles metropolitanos, tranvías y trolebuses, así como a la energía destinada a los servicios auxiliares o alumbrado de las instalaciones transformadoras para tracción y a los sistemas de señalización que se alimentan de ellas, siempre que estos servicios sean de titularidad pública.

    Sus modalidades, en función de la tensión máxima de servicio, serán las siguientes:

T.1: Hasta 36 kV., inclusive.

T.2: Mayor de 36 kV. y no superior a 72,5 kv.

T.3: Mayor de 72,5 kV.


    A estas tarifas le son de aplicación complementos por energía reactiva y discriminación horaria, pero no por estacionalidad ni interrumpibilidad.

    3.2.3. Tarifas R para riegos agrícolas.

    Se podrán aplicar a los suministros de energía en alta tensión con destino a riegos agrícolas o forestales, exclusivamente para la elevación y distribución del agua del propio consumo.

    Sus modalidades, en función de la tensión máxima de servicio, serán las siguientes:

R.1: Hasta 36 kV., inclusive.

R.2: Mayor de 36 kV. y no superior a 72,5 kV.

R.3: Mayor de 72,5 kV.


    A estas tarifas les son de aplicación complementos por energía reactiva y discriminación horaria, excepto el tipo 5, pero no por estacionalidad ni interrumpibilidad.

    3.2.4. Tarifa G.4 de grandes consumidores.

    Se podrá aplicar a los suministros de energía en alta tensión que reúnan las siguientes características:

- Potencia contratada en un solo punto superior a 100.000 kW.

- Utilización anual superior a ocho mil horas de la potencia contratada.

- Utilización mensual superior a la correspondiente a 22 horas diarias de la potencia contratada.

- Tensión nominal del suministro mayor de 145 kV.

    Para determinar la utilización anual se considerará el año eléctrico de l de noviembre a 31 de octubre del año siguiente. La utilización mensual se medirá por meses naturales.

    Con el fin de conseguir un ahorro energético, mayor eficiencia, racionalidad en la explotación del sistema u objetivos de política energética en general, los abonados que deseen estar acogidos a esta tarifa deberán solicitar de la Dirección General de la Energía autorización individual para ello. En consecuencia, se faculta a este Centro Directivo para establecer el período de aplicación y las condiciones de suministro, incluyendo límites al mismo, globales y/o por consumo específico, así como las condiciones de estacionalidad e interrumpibilidad a que dichos abonados estarán sujetos.

    Los consumos que excedan de los límites establecidos tendrán un recargo expresado en pesetas /kWh.

    A esta tarifa sólo le son de aplicación complementos por energía reactiva y discriminación horaria, pero no por estacionalidad ni por interrumpibilidad, incluso en el caso de que la Dirección General de la Energía imponga a sus abonados contraprestaciones de estos tipos.

    3.2.5. Tarifas D para venta a distribuidores en alta tensión.

    Las tarifas D serán de aplicación a las ventas de energía en alta tensión a aquellos distribuidores a quienes se les viniese facturando por las mismas, no siendo de aplicación a los consumos de energía eléctrica de las industrias propias del distribuidor, para los que la tarifa aplicable será la general correspondiente.

    Sus modalidades, en función de la tensión máxima de servicio del suministro, serán las siguientes:

D.1: Hasta 36 kV. inclusive.

D.2: Mayor de 36 kV. y no superior a 72,5 kV.

D.3: Mayor de 72,5 kV. y no superior a 145 kV.

D.4: Mayor de 145 kV.


A estas tarifas les son de aplicación complementos por energía reactiva y discriminación horaria, pero no por estacionalidad ni interrumpibilidad.

    La determinación de la potencia a facturar para los abonados a esta tarifa es incompatible con los Modos 1 y 5 dispuestos en el punto 6.1.

     

CUARTO: Condiciones generales de aplicación de las tarifas.

    4.1. Contratos de suministro y facturación de consumos.

    El contrato de suministro que se formule o renueve se adaptará siempre a las condiciones generales insertas en el modelo oficial de póliza de abono, autorizándose a las empresas suministradoras de energía eléctrica para que impriman a su costa las pólizas para sus contratos con los usuarios, en las que deberán constar impresas y copiadas literalmente todas las cláusulas generales que figuran en el modelo oficial.

    Para un mismo abonado, en un mismo local o unidad de consumo, todos los usos generales constituirán un único contrato de suministro.

    Los consumos de energía realizados en un período de facturación en que haya regido más de una tarifa, se distribuirán para su facturación proporcionalmente a la parte del tiempo transcurrido desde la última lectura en que haya estado en vigor cada una de ellas. En casos particulares, por causa debidamente justificada, si la distribución del consumo hubiese sido excepcionalmente irregular, el Organismo competente podrá establecer otro tipo de distribución.

    La facturación expresará las variables que sirvieron de base para el cálculo de las cantidades y se realizará en los modelos oficiales de recibos, que estuvieran aprobados por la Dirección General de la Energía.

    4.2. Plazos de facturación y de lectura.

    Las facturaciones serán mensuales o bimestrales, y corresponderán a las lecturas reales o estimadas, en su caso, de los consumos correspondientes al período que se especifique en la citada factura.

    Los plazos de lectura no serán superiores a los tres días anteriores o posteriores a la finalización del mes o bimestre de la última lectura realizada, excepto en los casos de lecturas estimadas de abonados acogidos a la tarifa 1.0 y 2.0, que se regirán por su normativa específica.

    Los maxímetros que sirvan de base para la facturación de potencia se leerán y pondrán a cero mensualmente, excepto los de abonados que determinen la potencia a facturar según el modo S.

    4.3. Elección de tarifa.

    Todo abonado podrá elegir la tarifa y el sistema de complementos que estime más conveniente a sus intereses entre los oficialmente autorizados para el suministro de energía que el mismo desee demandar, siempre que cumpla las condiciones establecidas en la presente Orden.

    Como principio general los abonados podrán elegir la potencia a contratar, debiendo ajustarse, en su caso, a los escalones correspondientes a los de intensidad normalizados para los aparatos de control.

    Al abonado que haya cambiado voluntariamente de tarifa podrá negársele pasar a otra mientras no hayan transcurrido, como mínimo, doce meses, excepto si se produjese algún cambio en la estructura tarifaria que le afecte. Estos cambios no implicarán el pago de derecho alguno, por este concepto, a favor de la empresa suministradora. El cambio de modalidad de aplicación de alguno de los complementos de tarifa así como la modificación de la potencia contratada se considerará, a estos efectos, como cambio de tarifa.

    Las empresas suministradoras están obligadas a modificar la potencia contractual para ajustarla a la demanda máxima que deseen los abonados, con la limitación del apartado anterior o, cuando por sus especiales condiciones, precisara autorización de la Dirección General de la Energía.

    Por reducciones de potencia, las empresas no podrán cobrar cantidad alguna en concepto de derechos de enganche, acometida, ni ningún otro a favor de la empresa, salvo los gastos que se puedan producir por la sustitución o corrección de aparatos de medida o control de la potencia, cuando ello fuera necesario.

    Los aumentos de potencia contratada se tramitarán como un alta adicional, sin perjuicio de que en lo sucesivo se haga una sola facturación.

    4.4. Temporadas eléctricas.

    A efectos de la aplicación de tarifas, se considerará el año dividido en tres períodos, temporada alta, media y baja, incluyendo en cada uno los siguientes meses:

    Para la Península:

Temporada alta: Noviembre, diciembre, enero y febrero.
Temporada media: Marzo, abril, julio y octubre.
Temporada baja: Mayo, junio, agosto y septiembre.

    Para Baleares, Ceuta y Melilla:

Temporada alta: Junio, julio, agosto y septiembre.
Temporada media: Enero, febrero, octubre y diciembre.
Temporada baja: Marzo, abril, mayo y noviembre.

    Para las Islas Canarias:

Temporada alta: Diciembre, enero, febrero y marzo.
Temporada media: Abril, septiembre, octubre y noviembre.
Temporada baja: Mayo, junio, julio y agosto.

     

QUINTO: Condiciones particulares de aplicación de las tarifas.

    5.1. Tarifa 2.0 con discriminación horaria nocturna.

    Los abonados acogidos a esta tarifa deberán comunicar a la empresa suministradora las potencias máximas de demanda en horas nocturnas y diurnas.

    La potencia contratada será la correspondiente a las horas diurnas. El límite de la potencia en las horas nocturnas será el admisible técnicamente en la instalación.

    La potencia a facturar se calculará de acuerdo con lo establecido con carácter general.

    Como derechos de acometida por la potencia que exceda de la contratada y que se demande solamente en las horas de valle no se abonarán derechos de responsabilidad y se computará el 20 por l00 de esta potencia para el cálculo de los derechos de extensión, cuyo valor quedará adscrito a la instalación.

    5.2. Contratos para suministros de temporada.

    A efectos de aplicación de tarifas se considerarán como suministros de temporada los de duración inferior a doce meses de forma repetitiva anualmente, circunstancia que se deberá consignar en la Póliza de Abono. A estos suministros sólo les serán de aplicación las tarifas generales, 3.0 y 4.0 en baja tensión y l., 2. y 3. en alta tensión, con las siguientes condiciones:

    Los precios del término de potencia se aumentarán en un l00 por 100 para los meses de temporada alta y en un 50 por l00 para los restantes en que se reciba la energía. El complemento por energía reactiva se aplicará sobre la facturación básica más los aumentos citados.

    No se podrá aplicar el Modo 5 para determinar la potencia a facturar, el complemento por estacionalidad la discriminación horaria tipo 5 ni el complemento por interrumpibilidad.

     

SEXTO: Determinación de los componentes de la facturación básica.

    6.1. Determinación de la potencia a facturar.

    El cálculo de la potencia a facturar se realizará atendiendo a los diferentes modos que se describen a continuación, con las limitaciones impuestas en cada uno de ellos:

    Modo 1. Sin maxímetro.

    Será aplicable a cualquier suministro en baja o alta tensión, cuando el abonado haya contratado una sola potencia y no tenga instalado aparato maxímetro, salvo lo dispuesto en el punto 3.2.5.

    En estos casos la potencia a facturar será la potencia contratada.

    Modo 2. Con un maxímetro.

    Será aplicable a cualquier suministro en baja o alta tensión, cuando el abonado haya contratado una sola potencia y tenga instalado un solo maxímetro para la determinación de la potencia base de facturación.

    La potencia a facturar se calculará de la forma que se establece a continuación:

    a) Si la potencia máxima demandada, registrada por el maxímetro en el período de facturación estuviere dentro de +5 y -15 por 100, respecto a la contratada establecida en la Póliza de Abono, dicha potencia registrada será la potencia a facturar.

    b) Si la potencia máxima demandada registrada por el maxímetro en el período de facturación, fuere superior al 105 por 100 de la potencia contratada la potencia a facturar en el período considerado, será igual al valor registrado por el maxímetro, más el doble de la diferencia entre el valor registrado por el maxímetro y el valor correspondiente al 105 por 100 de la potencia contratada.

    c) Si la potencia máxima demandada en el período a facturar fuere inferior al 85 por 100 de la potencia contratada, la potencia a facturar será igual al 85 por 100 de la citada potencia contratada.

    No se tendrá en cuenta la punta máxima registrada durante las veinticuatro horas siguientes a un corte o a una irregularidad importante en la tensión o frecuencia del suministro. Para ello, será condición necesaria su debida justificación, preferentemente mediante aparato registrador.

    A estos efectos la orden de reducción de potencia en el sistema de interrumpibilidad no tendrá la consideración de corte.

    Modo 3. Con dos maxímetros.

    Será sólo aplicable a los abonados acogidos al sistema de discriminación horaria tipos 3, 4 ó 5 que tengan instalados dos maxímetros y contratadas dos potencias, una para horas punta y llano y otra para horas valle.

    En estos casos, la potencia a facturar en cualquier período será igual a la que resulte de aplicar la siguiente fórmula:

PF=P12+0,2(P3 - P12)

Donde:
P12 = Potencia a considerar en horas punta y llano una vez aplicada la forma de cálculo establecida para el Modo 2. Para aquellos períodos de facturación en que no existieran horas punta y llano se tomará como valor de P12 el 85% de la potencia contratada por el abonado para las mismas.
P3 = Potencia a considerar en horas valle una vez aplicada la forma de cálculo establecida para el Modo 2.

    Si P3 - P12 es menor que cero, se considerará de valor nulo el segundo término de la fórmula anterior.

    Modo 4. Con tres maxímetros.

    Será sólo aplicable a los abonados acogidos al sistema de discriminación horaria tipos 3, 4 ó 5 que tengan instalados tres maxímetros y contratadas tres potencias, una para horas punta, otra para horas llano y otra para horas valle.

    En estos casos, la potencia a facturar en cualquier período será igual a la que resulte de aplicar la siguiente fórmula:

PF = P1 +0,5 (P2 - P1)+0,2(P3 - P2)

Donde:
P1 = Potencia a considerar en horas punta una vez aplicada la forma de cálculo establecida para el Modo 2. Para aquellos períodos de facturación en que no existieran horas punta se tomará como valor de P2 el 85% de la potencia contratada por el abonado para las mismas.
P2 = Potencia a considerar en horas llano una vez aplicada la forma de cálculo establecida para el Modo 2. Para aquellos períodos de facturación en que no existieran horas llano se tomará como valor de P2 el 85 % de la potencia contratada por el abonado para las mismas.
P3 = Potencia a considerar en horas valle una vez aplicada la forma de cálculo establecida para el Modo 2.

    En el caso de que alguna Pn sea inferior a Pn-1 la diferencia (Pn - Pn-1) se considerará de valor nulo. En estos casos, la potencia del sumando siguiente será (Pn+1 - Pn-1).

    Modo 5. Estacional.

    Será de aplicación a los abonados a una tarifa general de alta tensión que se acojan al complemento por estacionalidad definido en el punto 7.3, del presente Título, lo soliciten a su empresa suministradora y cumplan las siguientes condiciones:

    a) Tenga instalado el equipo adecuado para ello.

    b) El contrato de suministro estacional con inicio el 1 de noviembre y final el 31 de octubre del año siguiente, tendrá una vigencia de doce meses, prorrogable por períodos iguales, y con los mismos parámetros, si el abonado no manifiesta su voluntad de rescindirlo por escrito, con una antelación mínima de cuarenta y cinco días antes de su vencimiento.

    c) La facturación definitiva se realizará por períodos de doce meses.

    Para las facturaciones mensuales a cuenta, los valores de las potencias a considerar serán los reales, si hubiere terminado la temporada correspondiente, y los de contrato, en el resto de los casos. Al completar cada temporada se refacturarán los meses transcurridos desde el inicio del contrato con los valores reales obtenidos.

    Existirán dos tipos y la potencia a facturar en cada uno de ellos se calculará de la forma siguiente:

    a) Tipo A:

    Estos abonados deberán fijar en el contrato seis potencias contratadas correspondientes a cada uno de los seis períodos siguientes:

    1. Horas punta de temporada alta.

    2. Horas llanas de temporada alta.

    3. Horas punta de temporada media.

    4. Horas llanas de temporada media.

    5. Horas punta de temporada baja y horas valle de temporada alta.

    6. Horas valle de temporada media y horas llanas y valle de temporada baja.

    Las horas concretas de punta, llano y valle serán las incluidas en el punto 7.1 para la discriminación horaria a que está acogido el abonado.

    La potencia a facturar, igual para cada uno de los doce meses de contrato en la facturación definitiva, será la que resulte de aplicar al final de la temporada eléctrica la fórmula siguiente:

PF = 1,2P1 +(P2 - P1)+0,5(P3 - P2)+0,25(P4 - P3)+ 0,10 (P5 - P4) + 0,05 (P6 - P5)

Donde :
P1 = Potencia a considerar en el período l una vez aplicada la forma de cálculo establecida para el Modo 2.
P2 = Potencia a considerar en el período 2 una vez aplicada la forma de cálculo establecida para el Modo 2.
P3 = Potencia a considerar en el período 3 una vez aplicada la forma de cálculo establecida para el Modo 2
P4 = Potencia a considerar en el período 4 una vez aplicada la forma de cálculo establecida para el Modo 2.
P5 =Potencia a considerar en el período 5 una vez aplicada la forma de cálculo establecida para el Modo 2.
P6 = Potencia a considerar en el período 6 una vez aplicada la forma de cálculo establecida para el Modo 2.

    En el caso de que alguna Pn sea inferior a Pn-1 la diferencia (Pn - Pn-1) se considerará de valor nulo. En estos casos, la potencia del sumando siguiente será (Pn+1 - Pn-1) y se utilizará el mismo criterio para el caso en que más de un valor consecutivo de Pn sea inferior a los anteriores.

    b) Tipo B:

    Estos abonados deberán fijar en el contrato tres potencias contratadas, correspondientes a cada una de las tres temporadas, alta, media y baja definidas anteriormente.

    La potencia a facturar, igual para cada uno de los doce meses del contrato en la facturación definitiva, será la que resulte de aplicar al final de la temporada eléctrica la fórmula siguiente:

PF = Máximo ( 1,1 PA, 0,75 PM , 0,45 PB)

Donde:
PA = Potencia a considerar en temporada alta una vez aplicada la forma de cálculo establecida para el Modo 2, considerando como potencia máxima demandada la máxima registrada por el maxímetro a lo largo de toda la temporada alta.
PM = Potencia a considerar en temporada media una vez aplicada la forma de cálculo establecida para el Modo 2, considerando como potencia máxima demandada la máxima registrada por el maxímetro a lo largo de toda la temporada media.
PB = Potencia a considerar en temporada baja una vez aplicada la forma de cálculo establecida para el Modo 2, considerando como potencia máxima demandada la máxima registrada por el maxímetro a lo largo de toda la temporada baja.

    6.2. Energía a facturar.

    La energía a facturar será en todos los casos la energía consumida, y medida por contador o, en su caso estimada, durante el período al que corresponda la facturación.

     

SÉPTIMO: Complementos tarifarios.

    Los complementos tarifarios consistirán en una serie de recargos o descuentos, que se calcularán tal y como se especifique en cada caso y deberán figurar por separado en el recibo de energía eléctrica.

    7.1. Complemento por discriminación horaria.

    7.1.1. Condiciones generales.

    El complemento de discriminación horaria estará constituido por un recargo o descuento que se calculará de acuerdo con la siguiente fórmula:

CH = Tej S Ei Ci /100

en la que:
CH = Recargo o descuento, en pesetas.
Ei = Energía consumida en cada uno de los períodos horarios definidos para cada tipo de discriminación horaria, en kWh.
Ci = Coeficiente de recargo o descuento especificado en el punto 7. 1.4.
Tej = Precio del término de energía de la tarifa general de media utilización correspondiente a la tensión de suministro, excepto para la tarifa G-4 que se tomará el término de energía correspondiente a esta tarifa y para baja tensión que se tomará el término de energía correspondiente a la tarifa 3.0.

    Se aplicará obligatoriamente a todos los suministros a tarifas 3.0, 4.0 y R.0 de baja tensión y a todos los de alta tensión.

    Los abonados de la tarifa 2.0 tendrán opción a que se les aplique la discriminación horaria Tipo 0 denominada «tarifa nocturna». No es de aplicación el complemento por discriminación horaria a los abonados de las tarifas B.0 (Alumbrado público) y 1.0.

    Los cambios de horario de invierno a verano o viceversa coincidirán con la fecha del cambio oficial de hora.

    Los abonados, de acuerdo con las empresas suministradoras, podrán solicitar por causas debidamente justificadas a la Dirección General de la Energía la aplicación de períodos distintos a los establecidos en la presente Orden, siempre que se mantenga la duración y los recargos y descuentos correspondientes a los mismos.

    El citado Centro Directivo podrá conceder lo solicitado, siempre que de ello no resulte perjuicio para el Sistema Eléctrico Nacional, considerando el efecto resultante que dicha modificación pudiera producir de aplicarse a los abonados con características similares de consumo.

    Se faculta a la Dirección General de la Energía para que pueda modificar con carácter general las horas consideradas, en concreto, como de punta, llano y valle, teniendo en cuenta las condiciones de cada Zona y en su caso las de ámbito peninsular.

    7.1.2. Tipos de discriminación horaria.

    Los tipos de discriminación horaria a los que podrán optar los distintos abonados, sin más limitaciones que las que en cada caso se especifican, y siempre que tengan instalados los equipos de medida adecuados, serán los siguientes:

    Tipo 0: «Tarifa nocturna» con contador de doble tarifa. Sólo será aplicable a los abonados a la tarifa 2.0.

    Tipo 1: Discriminación horaria sin contador de tarifa múltiple. De aplicación a los abonados con potencia contratada igual o inferior a 50 kW.

    Tipo 2: Discriminación horaria con contador de doble tarifa. De uso general.

    Tipo 3: Discriminación horaria con contador de triple tarifa, sin discriminación de sábados y festivos. De uso general.

    Tipo 4: Discriminación horaria con contador de triple tarifa y discriminación de sábados y festivos. De uso general.

    Tipo 5: Discriminación horaria estacional con contador de quíntuple tarifa. De uso general pero será incompatible con el complemento por estacionalidad y con tarifas que en su definición estén excluidas de este tipo de discriminación.

    7.1.3. Zonas de aplicación.

    Las zonas en que se divide el mercado eléctrico nacional a efectos de aplicación de la discriminación horaria, serán las relacionadas a continuación e incluyen las Comunidades Autónomas que se indican:

    Zona 1: Galicia, Asturias, Cantabria, País Vasco, Castilla-León, La Rioja y Navarra.

    Zona 2: Aragón y Cataluña.

    Zona 3: Madrid, Castilla la Mancha y Extremadura.

    Zona 4: Valencia, Murcia y Andalucía.

    Zona 5: Baleares.

    Zona 6: Canarias.

    Zona 7: Ceuta y Melilla.

    7.1.4. Recargos, descuentos y horas de aplicación.

    Tipo 0.

    Los coeficientes de recargo o descuento aplicables y la duración de cada período serán los que se detallan a continuación:

Período horario

Duración

Recargo o descuento
(Coeficiente)

Punta y llano

16 horas/día

+ 3

Valle

8 horas/día

-55


    Se considerarán como horas valle en todas las Zonas de 23 a 24 h. y de 0 a 7 h. en horario de invierno y de 0 a 8 h. en horario de verano.

    Tipo 1.

    Se consideran dentro de este tipo todos los abonados a los que les sea de aplicación el complemento por discriminación horaria y no hayan optado por alguno de los restantes tipos.

    Estos abonados tendrán un coeficiente de recargo de 20 sobre la totalidad de la energía consumida.

    Tipo 2.

    El coeficiente de recargo para este tipo de abonados y la duración de cada período serán los siguientes:

Período horario

Duración

Recargo o descuento
(Coeficiente)

Horas punta

4 horas/día

+ 40

Horas llano y valle

20 horas/día

-


    Se considerarán como horas punta en todas las zonas de 9 a 13 h. en horario de invierno y de 10 a 14 h. en horario de verano.

    Tipo 3.

    Los coeficientes de recargo o descuento aplicables y la duración de cada período serán los que se detallan a continuación:

    

Período horario

Duración

Recargo o descuento
(Coeficiente)

Punta

4 horas/día

+ 70

Llano

12 horas/día

-

Valle

8 horas/día

- 43


    Se consideran horas punta, llano y valle en cada una de las zonas antes definidas, las siguientes:

    

 

Invierno

Verano

Punta

Llano

Valle

Punta

Llano

Valle

Zona 1

18-22

8-18
22-24

0-8

9-13

8-9
13-24

0-8

Zona 2

18-22

8-18
22-24

0-8

9-13

8-9
13-24

0-8

Zona 3

18-22

8-18
22-24

0-8

10-14

8-10
14-24

0-8

Zona 4

18-22

8-18
22-24

0-8

10-14

8-10
14-24

0-8

Zona 5

18-22

8-18
22-24

0-8

19-23

0-1
9-19
23-24

1-9

Zona 6

18-22

8-18
22-24

0-8

19-23

0-1
9-19
23-24

1-9

Zona 7

19-23

8-19
23-24

0-8

20-24

0-1
9-20

1-9

 

    Tipo 4

    Los coeficientes de recargo o descuento aplicables y la duración de cada período serán los que se detallan a continuación:

    

Período horario

Duración

Recargo o descuento
(Coeficiente)

Punta

6 horas de lunes a viernes

+ 100

Llano

10 horas de lunes a viernes

-

Valle

8 horas de lunes a viernes
24 horas en sábados y domingos

-43

 

    Se considerarán también como horas valle las 24 horas de los días festivos de ámbito nacional con inclusión de aquellos que pueden ser sustituidos a iniciativa de cada Comunidad Autónoma para los abonados que posean el equipo de discriminación horaria adecuado.

    Las horas punta, llano y valle en cada una de las zonas antes definidas son las siguientes:

    

 

Invierno

Verano

Punta

Llano

Valle

Punta

Llano

Valle

Zona 1

16-22

8-16
22-24

0-8

8-14

14-24

0-8

Zona 2

17-23

8-17
22-24

0-8

9-15

8-9
15-24

0-8

Zona 3

16-22

8-16
22-24

0-8

9-15

8-9
15-24

0-8

Zona 4

17-23

8-17
23-24

0-8

10-16

8-10
16-24

0-8

Zona 5

16-22

7-16
22-24

0-7
23-24

17-23

0-1
9-17
23-24

1-9

Zona 6

16-22

7-16
22-24

0-7
23.24

17-23

8-17
23-24

0-8

Zona 7

17-23

8-17
23-24

0-8

18-24

0-1
9-18

1-9

 

    Tipo 5.

    EL contrato del tipo 5 de discriminación horaria comenzará con el principio de la temporada alta eléctrica definida en el punto 4.4 del presente Título y tendrá una vigencia de doce meses, prorrogable por períodos iguales, si el abonado no manifiesta su voluntad de rescindirlo por escrito, con una antelación mínima de cuarenta y cinco días antes de su vencimiento.

    Los días del año se clasifican a estos efectos en cuatro categorías. El número de días del año correspondientes a cada categoría serán los siguientes:

    

Categoría

Número de días

Pico

70

Alto

80

Medio

80

Bajo

Resto

 

    La Dirección General de la Energía fijará para cada año los días concretos asignados a cada categoría, tanto para el sistema integrado peninsular, como para cada uno de los sistemas aislados o extrapeninsulares.

    Los coeficientes de recargo o descuento aplicables y la duración de cada período serán los que se detallan a continuación:

    

Periodo horario

Categoría de los días

Duración h/día

Descuento o recargo
Coeficiente

Punta

Pico
Alto

10
4

+300
+100

Llano

Pico
Alto
Medio

6
12
8

-

Valle

Pico
Alto
Medio
Bajo
Siguiente día-bajo

8*
8*
16*
24*
8

-43
-43
-43
-43
-50

* Salvo que sean días siguientes a días bajos.

    Se considerarán como valle con un coeficiente Ci 50 de descuento las ocho primeras horas valle de los días siguientes a días bajo, sea cual sea la categoría de los mismos.

    Se considerarán horas punta, llano y valle, en cada una de las zonas antes definidas, las siguientes:

    

.

Días pico

Días medio

.

Punta

Llano

Valle

Punta

Llano

Valle

Zona 1

9-14
17-22

8-9
14-17
22-24

0-8

-

9-17

0-9
17-24

Zona 2

9-14
17-22

8-9
14-17
22-24

0-8

-

10-18

0-10
18-24

Zona 3

10-15
18-23

8-10
15-18
23-24

0-8

-

10-18

0-10
18-24

Zona 4

9-14
17-22

8-9
14-17
22-24

0-8

-

14-22

0-14
22-24

Zona 5

9-14
17-22

8-9
14-17
22-24

0-8

-

16-24

0-16

Zona 6

9-12
16-23

8-9
12-16
23-24

0-8

-

16-24

0-16

Zona 7

9-13
18-24

8-9
13-18

0-8

-

16-24

0-16


    Se considerarán como horas punta, llano y valle para los días altos, las establecidas para la discriminación horaria tipo 3.

    7.2. Complemento por energía reactiva.

    7.2.1. Condiciones Generales.

    El complemento por energía reactiva está constituido por un recargo o descuento porcentual y se aplicará sobre la totalidad de la facturación básica. Se calculará con una cifra decimal y el redondeo se hará por defecto o por exceso, según que la segunda cifra decimal, despreciada, sea o no menor de cinco.

    Estarán sujetos al complemento por energía reactiva los abonados a cualquier tarifa, excepto a las 1.0 y 2.0. No obstante, los abonados a la tarifa 2.0 estarán sujetos a la excepción que se concreta en el párrafo segundo del punto 7.2.2.

    No se podrá aplicar este complemento si no se dispone para la determinación de su cuantía del contador de energía reactiva permanentemente instalado.

    En los períodos de facturación en que no haya habido consumo de energía activa no se aplicará complemento por energía reactiva sobre el término de potencia facturado.

    7.2.2. Corrección obligatoria del factor de potencia.

    Cuando un abonado tenga su instalación con factor de potencia que sea inferior a 0,55 en tres o más mediciones, la empresa suministradora deberá comunicarlo al Organismo competente de la Administración Pública, quien podrá establecer al usuario un plazo para la mejora de su factor de potencia, y si no se cumpliera el plazo establecido, resolver la aplicación de recargos pudiendo llegar a ordenar la suspensión del suministro en tanto no se mejore la instalación en la medida precisa.

    Los suministros acogidos a la tarifa 2.0 deberán disponer de los equipos de corrección del factor de potencia adecuados para conseguir como mínimo un valor medio del mismo de 0,80; en caso contrario, la empresa suministradora podrá instalar, a su costa, el contador correspondiente y efectuar en el futuro la facturación a este abonado con complemento por energía reactiva en los períodos de lectura real en los que el coseno de j (cosj ) medio sea inferior a 0,8.

    7.2.3. Corrección de los efectos capacitivos.

    Cuando la instalación de un abonado produzca efectos capacitivos que den lugar a perturbaciones apreciables en la red de suministro o de transporte, cualquier afectado por las perturbaciones podrá ponerlo en conocimiento del Organismo competente, el cual, previo estudio de aquéllas, recabará del abonado su corrección y le fijará un plazo para ello. En caso de no hacerlo así se aplicarán las medidas que procedan, pudiendo llegar -en aplicación de las condiciones de carácter general de la póliza de abono- a ordenar la suspensión de suministro de energía eléctrica en tanto no se modifique la instalación.

    7.2.4. Determinación del factor de potencia. El factor de potencia o coseno de j (cosj ) medio de una instalación se determinará a partir de la fórmula siguiente:

en la que:
Wa= Cantidad registrada por el contador de energía activa, expresada en kWh.
Wr= Cantidad, registrada por el contador de energía reactiva, expresada en kVArh.

    Los valores de esta fórmula se determinarán con dos cifras decimales y el redondeo se hará por defecto o por exceso, según que la tercera cifra decimal despreciada sea o no menor que 5.

    7.2.5. Recargos y bonificaciones.

    EL valor porcentual, Kr a aplicar a la facturación básica se determinará según la fórmula que a continuación se indica.

    Cuando la misma dé un resultado negativo se aplicará una bonificación en porcentaje igual al valor absoluto del mismo.

    La aplicación de esta fórmula da los resultados siguientes para los valores de cosj que a continuación se indican. Los valores intermedios deben obtenerse de la misma fórmula y no por interpolación lineal.

    

cosj

Recargo
%

Descuento

1,00

-

4,0

0,95

-

2,2

0,9

0,0

0,0

0,85

2,5

-

0,8

5,6

-

0,75

9,2

-

0,70

13,7

-

0,65

19,2

-

0,60

26,2

-

0,55

35,2

-

0,5

47,0

-

 

    No se aplicarán recargos superiores al 47 por 100 ni descuentos superiores al 4 por 100.

    7.2.6. Gestión de los equipos de corrección de energía reactiva.

    Las empresas eléctricas podrán acordar con sus abonados en alta tensión, individualmente o con carácter general para una zona determinada, la desconexión total o parcial de sus equipos de corrección de energía reactiva y del contador de la misma durante las horas valle y la fijación del complemento por energía reactiva a aplicar en estos casos. Dichos acuerdos deberán tener la conformidad de la Dirección General de la Energía.

    7.3. Complemento por estacionalidad.

    7.3.1. Condiciones generales.

    El complemento por estacionalidad está constituido por un recargo o descuento porcentual y se aplicará exclusivamente sobre la parte correspondiente al término de energía de la facturación básica.

    Se aplicará a los abonados que hayan optado por el modo 5 estacional para el cálculo de la potencia a facturar.

    7.3.2. Recargos o descuentos.

    Los consumos de energía activa correspondientes a cada período, de los definidos en el punto 4.4, tendrán los siguientes recargos o descuentos:

    

Período

Porcentaje

Temporada alta

+10

Temporada media

-

Temporada baja

-10

 

    7.4. Complemento por interrumpibilidad.

    7.4.1. Condiciones generales.

    7.4.1.1. Condiciones para acogerse al sistema de interrumpibilidad.

    Todo abonado, acogido a una tarifa general en alta tensión, que tenga el equipo adecuado para ello, podrá acogerse al sistema de interrumpibilidad, de acuerdo con las siguientes condiciones:

    a) Los abonados, que deseen acogerse al sistema de interrumpibilidad, deberán solicitarlo a la Dirección General de la Energía, con un plazo de antelación mínimo de cuarenta y cinco días, previo al comienzo de la temporada alta, especificando en la solicitud y acompañando a la misma los siguientes documentos:

- Condiciones de contratos que se solicitan para el suministro interrumpible:

- Tarifa

- Modo de facturar la potencia

- Potencia/s contratada/s

- Tipo de discriminación horaria

- Interrumpibilidad:


    Tipos a los que se acoge y
Pmaxi para cada uno.

- Potencias contratadas y consumo de energía eléctrica en los dos últimos años desglosados en los distintos períodos horarios, punta, llano y valle.

- Previsiones de consumo para la temporada eléctrica siguiente.

- Informe de la empresa suministradora sobre las posibilidades técnicas del suministro, condiciones y características del nuevo contrato solicitado.

- En su caso, fotocopia de la póliza de abono vigente para dicho suministro.

    La Dirección General de la Energía podrá negar la aplicación de este sistema si por las características de la forma de consumo se estimara que para dicho suministro no resulta efectiva la aplicación del mismo y en cualquier caso si no se derivara un beneficio para el sistema eléctrico o pudiera afectar perjudicialmente a terceros.

    b) La potencia interrumpible ofertada por el abonado no será inferior a 5 MW, para todos y cada uno de los tipos a los que esté acogido. Esta potencia se calculará como diferencia entre la Pf y la Pmaxi, que se definen en 7.4.4. La Dirección General de la Energía podrá establecer unos límites inferiores a la potencia, para los sistemas aislados extrapeninsulares.

    En el caso de que un abonado, para un mismo suministro en un único lugar de trabajo, disponga de varios puntos de toma, éstos se podrán considerar por la Dirección General de la Energía como un todo y las magnitudes a contemplar serán la suma de las parciales de cada toma o las registradas por aparato totalizador.

    7.4.1.2. Condiciones del contrato de interrumpibilidad.

    El contrato de suministro interrumpible deberá comenzar con el inicio de una temporada alta eléctrica, tendrá una vigencia de cinco años y se considerará prorrogado por iguales períodos si el abonado no solicita por escrito a la Dirección General de la Energía rescindirlo, con una anticipación mínima de un año.

    La rescisión del contrato o de sus prórrogas, por parte del abonado, durante el período de vigencia significará la refacturación del descuento DI, definitivo y/o provisional a cuenta del anual desde la fecha origen del contrato o prorroga, suponiendo unos factores Kj = 0 en las fórmulas respectivas del apartado 7.4.4 del presente Título. En estos casos, la Dirección General de la Energía podrá eximir total o parcialmente de la refacturación de los descuentos definitivos correspondientes a temporadas que haya completado el abonado por motivos excepcionales debidamente justificados. En ningún caso se eximirá de la refacturación de los descuentos provisionales a cuenta del anual que se hubieran realizado si la temporada no ha finalizado en la fecha en que se produzca la rescisión del contrato.

    Se consideran a estos efectos como casos de rescisión del contrato o de sus prórrogas, por parte del abonado, las siguientes:

    1° Que la potencia ofertada por el abonado en cualquier momento de la vigencia del contrato sea inferior a 5 MW para cualquiera de los tipos a los que esté acogido.

    2° El incumplimiento de cinco o más interrupciones durante la vigencia del contrato o de cada una de sus prórrogas.

    3.° El no tener instalado y en perfecto estado de funcionamiento el equipo de medida y control, salvo lo dispuesto a estos efectos en el último párrafo del punto 8.4.4 del presente Título.

     4° Los establecidos en la normativa general y específica para los contratos de suministro de energía eléctrica.

    7.4.1.3. Modificación de las condiciones del contrato.

    Las variaciones de los parámetros, tipo de interrumpibilidad o cualquier modificación del contrato de suministro de energía eléctrica necesitarán ser autorizadas por la Dirección General de la Energía.

    A estos efectos, se distinguirán dos clases de modificaciones:

    1) Modificaciones a comienzo de la temporada alta eléctrica: Para poder ser autorizadas deberán estar basadas en causas debidamente justificadas y solicitarse a la Dirección General de la Energía con un mínimo de 45 días de antelación a la fecha de comienzo de la temporada alta.

    2) Modificaciones que no coinciden con el día de comienzo de la temporada alta: Sólo podrán ser autorizadas por causas excepcionales e imprevistas. En estos casos, la Dirección General de la Energía establecerá las condiciones particulares de adaptación del sistema de interrumpibilidad.

    En ambos casos la Dirección General de la Energía podrá conceder lo solicitado siempre que de ello no resulte un perjuicio para el sistema eléctrico o pudiera afectar negativamente a terceros.

    La información mínima sobre condiciones del contrato que deberán presentar los interesados junto con las solicitudes de modificación del mismo, correspondientes al momento de efectuar la solicitud y las solicitadas, serán las siguientes:

- Tarifa.

- Modo de facturar la potencia.

- Potencia/s contratada/s.

- Tipo de discriminación horaria.

- Interrumpibilidad:


    Tipos a los que se acoge y
Pmaxi para cada uno.

    7.4.1.4. Procedimiento y modelo de solicitudes.

    La Dirección General de la Energía podrá establecer el procedimiento y modelo de solicitudes, para acogerse al sistema de interrumpibilidad, así como para la modificación de las condiciones del contrato.

    7.4.1.5. Facturación.

    La facturación definitiva del suministro interrumpible se hará por períodos anuales que comprenderán desde el día de comienzo de la temporada alta hasta el día anterior al de comienzo de la temporada alta del año siguiente.

    Mensualmente se facturará un descuento provisional a cuenta del anual, que se hallará aplicando a la facturación básica acumulada desde el comienzo del período anual un descuento porcentual calculado con arreglo a la fórmula establecida en el apartado 7.4.4, con la única diferencia de que, para el cálculo del parámetro H, la energía realmente suministrada desde el comienzo del período anual hasta el último día del mes, se multiplicará por 12 y dividirá por el número de meses del período anual transcurridos. EL descuento así calculado se aplicará sobre la facturación básica del mismo período transcurrido y del importe resultante se deducirá el calculado de la misma forma para el mes anterior. Esta diferencia será la facturación del complemento por interrumpibilidad del mes correspondiente.

    7.4.1.6. Información.

    Los abonados interrumpibles deberán remitir a la Dirección General de la Energía cualquier información sobre consumos eléctricos, facturación o condiciones del contrato que esta le solicite y las empresas eléctricas deberán remitir a la Dirección General de la Energía, no más tarde del día 10 de noviembre de cada año, relación detallada de todos sus abonados interrumpibles con las condiciones del contrato de todos ellos y las previsiones de consumo durante la misma.

    La no remisión de la información solicitada podrá ser causa de suspensión total o parcial del descuento por interrumpibilidad en la temporada correspondiente, según lo dispuesto en el punto

    7.4.1.7. Suspensión del descuento por interrumpibilidad.

    La Dirección General de la Energía podrá suspender el disfrute de los descuentos de la facturación o de la compensación, en su caso, relacionados con la interrumpibilidad, en todo o en parte, pudiendo llegar a la totalidad de los mismos y para la temporada completa, por los motivos siguientes:

    a) No hallarse en perfecto estado de funcionamiento el equipo de control.

    b) No facilitar la información que la Dirección General de la Energía, solicite referente al sistema de interrumpibilidad o dificultar de cualquier modo las inspecciones, que realice directamente o a través del Organismo que designe para ello.

    7.4.2. Condiciones especiales.

    Las empresas eléctricas, para sus industrias propias o filiales o para abonados con participación mayoritaria común, deberán solicitar a la Dirección General de la Energía, las condiciones específicas de funcionamiento y aplicación, a efectos de los descuentos y en su caso, compensaciones por interrumpibilidad.

    7.4.3. Condiciones de aplicación del sistema de interrumpibilidad.

    7.4.3.1. Tipos de interrumpibilidad.

    Existirán cuatro tipos de interrupciones:

Tipo

Interrupción máxima

Preaviso mínimo

A

12 horas

16 horas

B

6 horas

6 horas

C

3 horas

1 hora

D

45 minutos

5 minutos

 

    La Dirección General de la Energía, podrá establecer un tipo de interrupción automática sin preaviso, incompatible con el D, disponiendo las condiciones para acogerse, los beneficios y los equipos de control necesarios.

    7.4.3.2. Número de interrupciones.

    EL número máximo de interrupciones anuales será de treinta, sumadas las de cualquier tipo, con un límite máximo de una diaria, cinco interrupciones semanales, ciento veinte horas mensuales y doscientas cuarenta horas anuales.

    Las interrupciones se realizarán por iniciativa de Red Eléctrica de España, S.A. o de la empresa suministradora con la conformidad de Red Eléctrica de España, S.A., sin perjuicio de las instrucciones que puede emitir, a este efecto, la Dirección General de la Energía.

    Red Eléctrica de España, S.A., comunicará mensualmente a la Dirección General de la Energía las órdenes de interrupción que se hayan realizado, indicando las causas de las mismas, así como los abonados afectados, e informará a la citada Dirección sobre el funcionamiento y resultados de la aplicación del sistema con carácter anual o a solicitud de la misma.

    7.4.3.3. Información para la aplicación del sistema de interrumpibilidad.

    Para mejorar la eficacia del sistema de interrumpibilidad, las empresas distribuidoras de energía eléctrica comunicarán a Red Eléctrica de España, S.A., los valores de que dispongan sobre la potencia demandada por los abonados interrumpibles, previamente a la solicitud de una interrupción determinada.

    Sin perjuicio de lo anterior, los abonados tienen obligación de facilitar los mismos datos, cuando se lo solicite Red Eléctrica de España, S.A., directamente o a través de las empresas distribuidoras.

    7.4.3.4. Procedimiento de interrupción y equipo de control.

    EL preaviso se realizará de acuerdo con lo dispuesto en la Resolución de la Dirección General de la Energía de 15-3-90, o las disposiciones dictadas por la misma que en su momento la sustituyan.

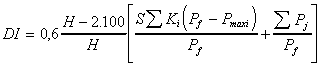
    7.4.4. Descuento o Recargo por interrumpibilidad.

    Todo abonado acogido a un sistema de interrumpibilidad tendrá derecho a un descuento o recargo sobre su facturación básica anual, calculado como suma de los dos términos siguientes:

    Donde cada uno de ellos se calculará de acuerdo con las siguientes fórmulas:

    a) CALCULO DI.

donde las variables tienen el siguiente significado:

DI = Descuento anual en porcentaje. Se calculará con dos cifras decimales y el redondeo se hará, por defecto o por exceso, según que la tercera cifra decimal despreciada sea o no menor que cinco.
H = Horas anuales de utilización equivalente expresadas en números enteros, con un redondeo igual al anterior, que se calculará como el cociente entre el consumo total anual expresado en kWh y la potencia Pf que se define más adelante expresada en kW, con el tope máximo de las horas reales del año, 8.760 u 8.784 en año bisiesto. En los casos en que se haya rebasado el 105 por 100 de la potencia contratada en algún período de punta y/o llano de temporada alta, se considerará para el cálculo de H la mayor de las potencias base de facturación que correspondan a las horas de punta y/o de llano de temporada alta que resulten una vez aplicada la forma de cálculo establecida para el modo 2 del punto 6.1. Si el valor del cociente fuera inferior a 2.100 DI será igual a cero.
S = Coeficiente de coincidencia. Tendrá los siguientes valores, según el número de tipos de interrumpibilidad a que estén acogidos los abonados:

    

Nº tipos

S

1

1,000

2

0,875

3

0,750

4

0,625

 

Ki = Constante, que tendrá un valor según el tipo de interrumpibilidad al cual esté acogido el abonado.

K1 = 25 para el tipo A.
K2 = 18 para el tipo B.
K3 = 16 para el tipo C.
K4 = 21 para el tipo D.

Pf = La menor de las potencias contratadas en períodos de punta y/o llano de temporada alta. Se considerarán como períodos de temporada alta, media y baja los definidos para la aplicación del complemento por estacionalidad.

Pmax = Potencia residual máxima demandable por el abonado durante la posible interrupción en cada uno de los tipos a los que esté acogido.

= Suma de los productos Ki (Pf - Pmax) para cada uno de los tipos de interrupción aceptados

Pj= Reducción de potencia computable por cada interrupción a efectos de cálculo del descuento. Será igual a la diferencia entre Pf y la potencia residual máxima demandable por el abonado, de acuerdo, con la orden de reducción de potencia. Si el abonado no cumpliera la interrupción de acuerdo con la orden de reducción de potencia y para las dos primeras interrupciones solicitadas durante la temporada eléctrica Pj será igual a 0.

S Pj = Suma de las reducciones de potencia computables.

    Todos los valores de potencia se expresarán en kW.

    b) CALCULO RI.

    Este término sólo se aplica si por parte del abonado se superase, en momento de interrupción, la potencia máxima demandable (Pf - Pj), solicitada por la empresa distribuidora, y tendrá un vafor:

siendo N, el número de interrupciones en que se haya sobrepasado la potencia residual máxima solicitada por la empresa suministradora; Pd, la potencia máxima real demandada por el usuario en cada período de interrupción incumplida, y

es el producto de los N cocientes (Pd + 2) / (Pf - Pj + 2) correspondientes a las interrupciones solicitadas por la empresa suministradora y no cumplidas por el abonado.

    Las potencias se expresarán en MW.

    Si I resulta negativo, tendrá significado de recargo, con un límite del 5 por l00, y no será reintegrado en caso de rescisión del contrato.

    Sin perjuicio del recargo correspondiente, en su caso, el incumplimiento de tres o más interrupciones en un período anual significará la anulación del descuento I al abonado en dicho período.

     

OCTAVO: Equipos y sistemas de medida y control y su incidencia en la facturación.

    8.1. Condiciones generales.

    Todo suministrador de energía eléctrica, sin distinción, está obligado a utilizar, para sus suministros, contadores de energía eléctrica, cuyos modelos, tipos y sistemas hayan sido aprobados previamente, e interruptores de control de potencia que respondan a un modelo y tipo de los autorizados por la Dirección General de la Energía. Para la aprobación o autorización citadas, se estará a lo que establezca la normativa vigente.

    Es obligatoria, sin excepción alguna, la verificación y el precintado oficial de los contadores, transformadores de medida, limitadores o interruptores de control de potencia y similares que se hallen actualmente instalados o se instalen en lo sucesivo, cuando sirvan de base directa o indirectamente para regular la facturación total o parcial de la energía eléctrica.

    Los abonados y las empresas suministradoras tienen derecho a la verificación de los equipos de medida y control instalados para su suministro, cualquiera que sea su propietario, previa solicitud al Organismo competente.

    Los costes de dicha verificación, así como las liquidaciones a que hubiere lugar en virtud de la misma, se determinarán en la forma reglamentariamente establecida.

    En relación con los derechos y deberes de empresas suministradoras y abonados, respecto a la propiedad, instalación o alquiler de los equipos de medida y control, se estará a lo dispuesto en las condiciones de la póliza de abono.

    8.2. Control de la potencia.

    8.2.1. Sistemas de control.

    La empresa suministradora podrá controlar la potencia demandada por el abonado. Este control se podrá efectuar por medio de maxímetros, limitadores de corriente o interruptores de control de potencia u otros aparatos de corte automático, cuyas características deberán estar aprobadas por el Ministerio de Industria y Energía, quien fijará el alquiler que las empresas suministradoras puedan cobrar por los citados aparatos cuando proceda. La elección del equipo de control corresponde al abonado.

    No se podrán utilizar interruptores de control de potencia unipolares para suministros multipolares.

    Cuando la potencia que desee contratar el abonado sea superior a la que resulte de una intensidad de 63 amperios, teniendo en cuenta el factor de potencia correspondiente, la empresa suministradora podrá disponer que los interruptores sean de disparo de intensidad regulable si se ha optado por este sistema de control.

    8.2.2. Control por maxímetro.

    El abonado que tuviere instalado el equipo adecuado, cualquiera que sea la tensión o la potencia contratada, tendrá opción a que la determinación de la potencia que ha de servir de base para su facturación se realice por maxímetro. En todos los casos, los maxímetros tendrán un período de integración de quince minutos.

    La potencia máxima demandada en cualquier momento no podrá ser superior a la máxima admisible técnicamente en la instalación, tanto del abonado como de la empresa suministradora.

    En caso de desacuerdo sobre este particular, el límite admisible se fijará por el Organismo competente.

    El registro de una demanda de potencia superior a la solicitada en contrato, a efectos de acometida, autoriza a la empresa suministradora a facturar al abonado los derechos de acometida correspondientes a este exceso, cuyo valor quedará adscrito a la instalación.

    8.3. Medida a distintas tensiones.

    En el caso de que un abonado posea un equipo de medida común a todos sus usos para una cierta tensión y otros equipos de medida similares, aunque sean de menor precisión, en otra tensión más baja, para registrar todos y cada uno de los consumos a que sean aplicables distintas tarifas, podrá exigir que las sumas de las potencias y energías facturadas sean las registradas en el equipo común a la tensión más alta y que el escalón de tensión aplicado sea el correspondiente a la misma. La distribución de las lecturas totales entre las distintas tarifas se hará según las registradas por los equipos situados en las tensiones menores.

    En los suministros en alta tensión la medida se realizará, asimismo, en alta tensión, con las excepciones siguientes:

    - A los abonados de cualquier tarifa de alta tensión que lo soliciten, y que dispongan de un transformador de potencia no superior a 50 kVA o de potencia superior a 50 kVA en instalación intemperie sobre poste, si la tensión máxima de servicio, en este caso, es inferior a 36 kV., se les realizará la medida en baja tensión y la facturación en alta tensión. En tales supuestos, la energía medida por el contador conectado en el lado de baja tensión del transformador se incrementará en 6 kWh mensuales por kVA de potencia del mismo y la energía medida se recargará además en un 4 por 100. Asimismo, si la potencia se determina en el lado de baja tensión del transformador, para su facturación por una tarifa de alta tensión, se incrementará en un 4 por 100.

    En los demás casos, en que excepcionalmente se mida la tensión inferior a la de suministro y facturación, se facturará con incrementos de potencia y energía adecuados a las pérdidas previsibles. En caso de discrepancia resolverá el Organismo competente.

    8.4. Condiciones particulares.

    8.4.1. Ayuntamientos.

    Las empresas suministradoras de energía eléctrica facilitarán, en régimen de alquiler, a los Ayuntamientos que así lo requieran, los equipos de medida de energía reactiva y de energía activa, con cualquier tipo de discriminación horaria, que se precisen para los puntos de suministro de las instalaciones o edificios, cuyos gastos de mantenimiento figuren consignados expresamente en el presupuesto ordinario municipal, independientemente de la tarifa a la que esté contratado el suministro, y del uso al que se destine la energía. Por la manipulación de los equipos de medida, se cobrarán únicamente los derechos de enganche, de acuerdo con lo establecido en el vigente Reglamento sobre acometidas eléctricas.

    EL alumbrado público, cuando se trate de puntos de conexión con potencias instaladas inferiores a 15 kW, se puede limitar el número de contadores con discriminación horaria, a uno por cada grupo de no más de 10 puntos de conexión, siempre y cuando estén accionados por un sistema de encendido y apagado, y tengan un programa de apagado intermedio similares, aunque no estén conectados entre sí.

    En el caso citado, el porcentaje de consumo que resulte de la lectura del contador instalado, para cada uno de los períodos horarios, se aplicará para la facturación del resto de los suministros del mismo grupo.

    8.4.2. Equipos de discriminación horaria.

    La instalación de contadores de tarifa múltiple es potestativa para los abonados que tengan contratada una potencia no superior a 50 kW y obligatoria para el resto.

    Se faculta a las empresas suministradoras para instalar contadores de tarifa múltiple a los abonados de más de 50 kW de potencia contratada que no lo tuvieran instalado por su cuenta, cargándoles los gastos de instalación y el alquiler correspondiente.

    El uso de un equipo de medida de discriminación horaria deberá ser autorizado por la Dirección General de la Energía previa aportación de los ensayos oportunos sobre seguridad eléctrica y garantía de medida.

    Los abonados con discriminación horaria tipo 0 deberán instalar por su cuenta el equipo adecuado para ello. La empresa suministradora queda obligada a alquilar dicho equipo si así lo solicitare el abonado.

    8.4.3. Equipos de energía reactiva.

    Para al determinación del factor de potencia, en su caso, los abonados instalarán por su cuenta el contador de energía reactiva adecuado.

    En el caso de que el abonado no lo hubiera instalado y tuviera obligación, la empresa suministradora tendrá la opción de colocar por su cuenta el correspondiente contador de energía reactiva, cobrando por dicho aparato el alquiler mensual legalmente autorizado. La empresa suministradora podrá cobrar los derechos de enganche establecidos reglamentariamente para estos casos.

    Las empresas eléctricas podrán instalar, a su cargo, contadores o maxímetros para la medida de energía reactiva capacitiva, cuyas medidas no se tendrán en cuenta para el cálculo de los recargos o descuentos, que se determinarán con base en los contadores de energía reactiva inductiva, sino sólo a los efectos de prevenir las posibles perturbaciones a que se ha hecho referencia en el punto 7.2.3.

    8.4.4. Equipos de interrumpibilidad.

    El equipo de medida y control de los abonados acogidos al sistema de interrumpibilidad constará como mínimo de un maxímetro registrador de período de integración de quince minutos para todas y cada una de las potencias máximas demandadas en los diferentes períodos horarios y estacionales,. que entren en el cálculo de los descuentos por interrumpibilidad y de un elemento registrador de la recepción de la orden de corte.

    EL equipo registrador de potencia será capaz de entregar, como mínimo, los siguientes datos en forma de impresiones en valores reales y sobre cinta continua:

- La potencia activa promediada en integraciones de quince minutos que sirve de base para la facturación.

- La potencia activa continua o promediada en integraciones de cinco minutos durante el período de reducción de potencia.

- Los equipos de integración de cinco minutos serán sincronizables con el comienzo del período de reducción de la potencia.

- La fecha y hora (en horario oficial) correspondiente a cada una de las inscripciones citadas.

    Las características concretas de los equipos de interrumpibilidad serán las establecidas con carácter general en la Resolución de la Dirección General de la Energía de 15 de marzo de 1990, o disposición dictada por la misma que en su momento la sustituya.

    Si existiera avería del equipo, el abonado deberá comunicar a la Dirección General de la Energía, en el plazo de dos días, la existencia de la avería y en su caso el levantamiento del equipo, debiendo proceder a su reparación o sustitución por otro equipo en plazo máximo de 15 días. Transcurrido el plazo de reparación o sustitución del equipo, deberá comunicarlo en el plazo de dos días a la Dirección General de la Energía. La no reparación o sustitución del equipo o la falta de comunicación a la Dirección General de la Energía en los plazos citados podrá ser causa de suspensión total o parcial del descuento por interrumpibilidad de acuerdo con lo previsto en el punto 7.4.1.7.