TÍTULO V

Regularidad en el suministro de energía eléctrica

 

CAPÍTULO PRIMERO

De las condiciones de los suministros

    Art. 65. 1. Se entenderá por tensión nominal de una red de transporte o distribución de energía eléctrica la que debe existir en los terminales de toma del usuario y constar en la póliza de abono o en los contratos de suministro y, en su defecto, en las condiciones de la autorización que la Administración haya otorgado para las instalaciones con que se presta el servicio. Se entenderá por tensión de servicio en un punto cualquiera de una red el valor de la tensión que realmente existe en este punto en un instante determinado.

    2. Toda Entidad distribuidora de energía eléctrica está obligada a mantener la tensión de servicio, para cada tensión nominal del suministro, dentro de unos limites máximos de variación de +/- 7 por cien de la nominal.

    El Organismo de la Administración Pública competente en materia de energía en cada provincia cuidará de que en todo momento se mantengan las características de la energía suministrada dentro de los limites autorizados oficialmente, comprobando directamente tales características cuantas veces lo estime necesario, independientemente de las comprobaciones motivadas por solicitud de parte interesada.

    3. La frecuencia nominal será en todos los casos de 50 Hz. El Ministerio de Industria y Energía establecerá, previo informe de la Delegación de gobierno, en la explotación del sistema eléctrico, las tolerancias admisibles en el sistema peninsular.

    En los sistemas extrapeninsulares y, en su caso, en otros sistemas aislados los organismos competentes de la administración establecerán dichas tolerancias de frecuencia sobre la nominal si fuese técnicamente preciso, y no se causase perjuicio a la generalidad de los abonados.

    4. El Ministerio de Industria y Energía podrá establecer instrucciones técnicas complementarias de calidad del suministro en que se contemplen los fenómenos transitorios, la forma en la curva de tensión u otras perturbaciones, asimilando sus defectos a los de mantenimiento de tensión y continuidad del suministro.

 

    Art. 66. Salvo causa de fuerza mayor, las empresas o entidades distribuidoras de energía eléctrica tienen la obligación de mantener permanentemente el servicio, cuando no conste lo contrario en los contratos de suministro, en las condiciones indicadas en el articulo anterior.

    En cualquier caso, no se considerarán corno casos de fuerza mayor los que resulten de la inadecuación de las instalaciones eléctricas al fin que han de servir, la falta de previsión en la explotación de las redes eléctricas o aquellos derivados del funcionamiento mismo de las empresas eléctricas.

    El organismo competente de la administración pública velará por el cumplimiento de dicha obligación.

    Las entidades distribuidoras podrán suspender temporalmente el servicio en alguna parte de la red cuando sea imprescindible para proceder al mantenimiento, reparación o mejora de la misma, pero deberán avisar, como mínimo, con 24 horas de anticipación, directamente a los abonados en alta tensión, a los establecimientos públicos y a la autoridad competente, y por medio, como mínimo de dos de los medios de comunicación de mayor difusión en la localidad, al resto de los abonados con la misma antelación. La suspensión temporal del servicio habrá de contar con la autorización expresa del organismo competente, quien podrá denegarla si no lo considerara imprescindible o existiera otras razones que así lo aconsejara. Excepcionalmente, el citado organismo podrá autorizar la suspensión temporal del servicio obviando el procedimiento anterior si del cumpliendo del mismo se pudieran derivar riesgos indeseables a la seguridad de las personas o bienes, o a la calidad del servicio.

    Las suspensiones temporales a las que se refiere el párrafo anterior no se considerarán deficiencias en la calidad de servicio, ni interrupciones de potencia a los efectos de facturación de los abonados acogidos al sistema de interruptibilidad.

    Los cortes para reparaciones, en que no se hubieran observado las condiciones anteriores, se considerarán interrupciones del servicio a efectos de la valoración de la calidad del mismo.

 

    Art. 67. Los Ayuntamientos, las Corporaciones de Derecho Público, las Asociaciones de Consumidores y los Organismos de la Administración Pública tendrán derecho a que por el organismo competente en materia de energía en la provincia, se determine la tensión de servicio en cualquier punto accesible de la red colocando equipos registradores de la tensión durante periodos de una semana, que se pueden repetir hasta completar un mes de duración, para la determinación de las caídas de tensión y las interrupciones de servicio que durante el mismo se produzcan; todo abonado tendrá derecho a que se efectúan iguales comprobaciones en la acometida que abastece su instalación.

    Las Empresas Distribuidoras de energía eléctrica deberán disponer de aparatos portátiles de medida y de registro de la tensión, de ciase de precisión uno, con los complementos necesarios para poder efectuar corporaciones en baja y alta tensión de los valores de servicio a que efectúen sus suministros y sus desviaciones respecto a los nominales, que tendrán a disposición del la Administración Publica para que se utilicen en sus comprobaciones. Su papel u otro soporte del registro deberá ser de una semana de duración como mínimo. Su número no será inferior en cada provincia a uno por cada 10.000 abonados o fracción. Todos los modelos de los equipos de medida deberán ser aprobados a este fin por el Ministerio de Industria y Energía, y cada aparato y equipo deberá haber sido verificado y comprobadas sus características, y precintados oficialmente.

    Los propios abonados y las Entidades antes citadas podrán colocar aparatos registradores, de su propiedad o propiedad de terceros, debidamente verificados y precintados oficialmente, para efectuar las mismas determinaciones. Podrán, incluso, hacerlo sin comunicación previa, aunque; en este caso, sin poder levantar para ello los precintos de la Empresa distribuidora, y con la asistencia de un técnico competente o un instalador autorizado, siempre que haya constancia fehaciente de la fecha y hora de colocación del aparato y del papel u otro soporte del registro y de que no se haya movido o alterado durante el periodo registrado; el Organismo competente en materia de energía levantará el aparato o el papel u otro soporte del registro en su caso, invitando previamente a la Empresa distribuidora, y si se tratara de medición en la acometida que abastece a un abonado a éste, a presenciarlo, efectuará la comprobación de los datos registrados y resolverá en el caso de que la Empresa distribuidora no acepte la validez de los mismos.

    Las peticiones a la Administración se harán, cuando menos, con dos días hábiles de anticipación, previo el depósito por el solicitante, en su caso, de las tasas legalmente establecidas, las cuales, si se comprobaran deficiencias en la calidad del servicio prestado, serán satisfechas por la Entidad distribuidora y devueltas al denunciante.

    Si el Organismo de la Administración Publica competente en materia de energía mide las características de la energía eléctrica por propia iniciativa sólo cobrará dichas tasas a la Entidad distribuidora cuando quede comprobado que existen deficiencias en el servicio.

    Si dicho Organismo recibe mayor número de peticiones que las que pueda realizar simultáneamente, establecerá un calendario para llevar todas a cabo, dando preferencia a las que se refieran a los puntos en que se prevea que existen mayores divergencias con relación al valor nominal de las características de la energía o a las que afecten a un mayor número de abonados.

 

    Art. 68. Cuando el Organismo competente tenga que efectuar, a instancia de parte, la determinación de las características del suministro de energía eléctrica, invitará a presenciar la comprobación al solicitante o a su representante y a un delegado autorizado de la Entidad distribuidora, sin comunicar a esta última ni la clase de la prueba ni el punto del sector en que se ha de ejecutar, avisándole para ello con el tiempo estrictamente necesario para que dicho delegado pueda comparecer en el lugar que el mismo le señale.

    La comprobación abarcará, como mínimo, una semana, procurando que se extienda a un periodo en que se den todas las circunstancias variables posibles que afecten a la calidad del servicio.

    La Administración podrá utilizar el concurso, a estos fines, de Entidades colaboradoras debidamente autorizadas.

    Realizada la inspección, se levantará acta por triplicado, que firmarán el técnico de la Administración o, en su caso, el de la Entidad colaboradora de la Administración, el solicitante o quien le represente y el delegado de la Empresa distribuidora. La incomparecencia o negativa de cualquiera de estos últimos a firmarla no alterará la eficacia de dicho documento, cuyas copias se entregarán o remitirán, en su caso, a cada una de las partes interesadas.

    El Organismo de la Administración Publica competente en materia de energía podrá revisar o comprobar las características de un suministro, siempre que lo considere pertinente, avisando o no a la Empresa distribuidora, según los casos y finalidades.

    La medida de tensión se hará preferentemente en la acometida general para no incluir la caída de tensión de la instalación del abonado, aunque para hacer dicha medida, sin estar presente la Entidad distribuidora, el técnico de la Administración Pública tuviera necesidad de romper los precintos de la acometida. En este caso, una vez terminada la operación, deberá volver a precintar aquélla con los precintos oficiales, dando cuenta de ello a la Entidad distribuidora.

    Si el suministro se hiciera en alta tensión y la medida se efectuara en baja tensión se tendrán en cuenta las pérdidas y la relación de transformación.

    Así mismo, si se hiciera la medida en un punto distinto del de conexión de la acometida del abonado, se tendrán en cuenta las eventuales caídas de tensión entre ambos puntos.

    Para el caso de suministro entre ambas Empresas eléctricas, los suministradores están obligados a mantener la tensión de servicio, para cada tensión nominal de suministro a los distribuidores, dentro de los limites establecidos con carácter general, excepto para los distribuidores que reciban la energía en el primer escalón de tensión, en que las tolerancias se reducirán a un 80 por 100 de las establecidas con carácter general aplicadas sobre la tensión nominal media de servicio.

    A estos efectos, se entenderá como tensión nominal media del servicio el valor real medio previsto de la tensión suministrada al distribuidor. Este valor se encontrará dentro de los limites establecidos, con carácter general, para las distintas tensiones nominales.

    El suministrador deberá comunicar a sus distribuidores la tensión nominal media de servicio de cada uno de sus suministros, así como, en caso de modificación de las instalaciones, el valor resultante.

 

    Art. 69. En las actas que formule el Organismo competente, como consecuencia de inspecciones, revisiones o comprobaciones, deberán constar:

         a) Motivos que la originan, indicándose si se realiza a instancia de parte, por orden o solicitud del Organismo oficial o por propia iniciativa.

         b) Fecha y hora en que empezó y acabó la comprobación

         c) Lugar o lugares en que se ha realizado y resultados obtenidos, especificándose su relación con las características nominales.

         d) Abonados, sectores o zonas afectadas por deficiencias del servicio, con la potencia del suministro a los mismos, tomando como tal la contratada, si es un solo abonado, y la máxima en el día, en el circuito a que afecte la medida, la del transformador de donde se alimenta el sector o zona de distribución, si la medida se hace para varios abonados.

    En los casos en que no se pueda determinar con exactitud la potencia afectada se hará una estimación razonada de la misma. Se requerirá además a la Empresa, fijándole un plazo para que comunique el número de abonados y la suma de las potencias contratadas en cada tensión en el sector o zona considerada.

    El Organismo competente de la Administración, a la vista de las comprobaciones efectuadas y de cuantos informes juzgue necesarios, notificará a la Empresa suministradora, y si se tratara de medición en la acometida que abastece o un abonado a este, los resultados obtenidos y, previa audiencia de la misma y de acuerdo con lo dispuesto en la Ley de Procedimiento Administrativo, resolverá que medidas se deberán adoptar para mejorar el servicio, fijando los plazos correspondientes para llevarlas a cabo.

 

    Art. 70. El Organismo competente de la Administración pública en materia de energía, a la vista de los resultados de las inspecciones de la calidad del servicio, determinarán si hay lugar a declarar la existencia de deficiencias de calidad en el servicio y a qué abonados o zonas de distribución se considera afectados. Si estima que tales deficiencias puedan deberse a negligencia o a infracción de reglamentos u ordenes de la Administración, incoará el oportuno expediente sancionador comunicando los resultados obtenidos al Organismo de la Administración Pública competente en materia de consumo.

 

    Art. 71.

         1 Se considerará como deficiencia de calidad de servicio el suministro de energía eléctrica en unas condiciones inferiores a las establecidas reglamentariamente y que servirá de base para establecer la contraprestación económica correspondiente.

    Las deficiencias de calidad de servicio y las reducciones de facturación a que darán lugar, serán las siguientes:

         1.1 Irregularidades.

         1.1.1 Suministro de energía, durante más de dos horas en total en el mismo día, a una tensión fuera de los limites señalados en el articulo 65, pero que no supere el limite del 10 por 100 de la tensión nominal. Si se superara el periodo de seis horas se contabilizaran dos deficiencias cada día.

    Si la tensión superase el limite del 10 por 100 de la tensión nominal sin alcanzar el 15 por 100 durante un periodo superior a treinta minutos e inferior a dos horas en el mismo día se considerara como una deficiencia y si superase el periodo de doras se consideran dos deficiencias por cada día. Si se superase e1 periodo de seis horas diarias se contabilizaran tres deficiencias cada día.

    Si la tensión superase el limite del 15 por 100 de la tensión nominal durante un periodo superior a diez minutos e inferior a treinta minutos, en el mismo día, se considerará como una deficiencia; si superase el periodo de treinta minutos, pero fuera inferior a dos horas, se considerará como dos deficiencias, y si se superase el periodo de dos horas se consideraran tres deficiencias. Si se superase el periodo de seis horas diarias se contabilizarán cuatro deficiencias por cada día.

         1.1.2 Interrupción del suministro en un día por un periodo total de tiempo superior a cinco minutos y no superior a una hora. Si la interrupción de suministro fuese superior a una hora e inferior a seis horas, se considerará como dos deficiencias, y si fuese superior a seis horas e inferior a doce horas, tres deficiencias.

    Por cada seis horas adicionales de interrupción o fracción se computará una deficiencia mas.

         1.1.3 Otras deficiencias distintas de las anteriores que originen análogos perjuicios a los abonados, que el Ministerio de Industria y energía pueda determinar en disposiciones complementarias, en las cuales valorará su incidencia en la facturación.

         1.1.4 La acumulación de tres o más deficiencias de calidad de las especificadas en 1.1.2 y en 1.1.3 para un abonado, circuito o zona de suministro, alimentada por un mismo transformador, durante treinta días consecutivos, se considerará deficiencia del servicio y tendrá como consecuencia, al margen de las sanciones administrativas y responsabilidades civiles o penales a que pudiera haber lugar, una reducción de la facturación de treinta días en el primer recibo siguiente, a razón de un 5 por 100 de la tarifa básica por la tercera deficiencia, más otro 3 por 100 adicional por cada una de las siguientes con una reducción máxima del 50 por 100.

    Esta reducción se aplicará al abonado en cuestión o, en su caso a todos los abonados del circuito o de la zona de suministro afectada por las deficiencias, y se calculará del modo siguiente:

donde

    R = Descuento, en tanto por 100 aplicable a la facturación integra del recibo.

    D = Numero de deficiencias en treinta días si es superior a dos.

    P = Número de días del periodo de facturación.

    Si a lo largo de meses sucesivos se pusiera de manifiesto que el servicio prestado por una Empresa distribuidora es retiradamente deficiente, por repetición de las deficiencias enumeradas en este artículo, aunque no se superaran las tres deficiencias durante treinta días consecutivos, o en base a los valores resultantes para los índices de calidad de servicio establecidos por el Ministerio de Industria y Energía, el Organismo competente de la Administración Publica, además de seguir manteniendo las reducciones que anteceden, iniciará el oportuno expediente, informando al Organismo superior competente de la situación, y propondrá las medidas que a su juicio pudieran adoptarse en atención al alcance y la gravedad de la situación denunciada. El citado Organismo superior resolverá en consecuencia.

         1.2 Tensiones diferentes de las normalizadas recomendadas por los Reglamentos vigentes.

         1.2.1 Baja tensión. - El suministro a una tensión nominal en baja tensión distinto de 127 ó 220 voltios, si es monofásico, o de 127/220 ó 220/380 voltios si es trifásico.

    Para los solicitantes de nuevos suministros a dos hilos en baja tensión, la tensión nominal deberá ser en todos los casos de 220 voltios. Para los nuevos suministros trifásicos en baja tensión serán de 220/380 voltios, aunque se admitirá la tensión nominal de 127/220 voltios con autorización expresa del organismo competente, para zonas y periodos de tiempo determinados.

    No se consideran nuevos suministros a estos efectos los aumentos de potencia.

         1.2.2 Alta tensión.- Para los nuevos suministros en alta tensión, la tensión nominal deberá ser una de las de uso preferente o, en su defecto, de las normalizadas, establecidas en la instrucción complementaria MIE RAT 04 del Reglamento sobre condiciones técnicas y garantías de seguridad en centrales eléctricas, subestaciones y centros de transformación, aunque, con autorización expresa del Organismo competente, se admitirán, por zonas y plazos determinados, otras tensiones nominales.

         1.2.3 Los suministros que supongan deficiencia de calidad de servicio por su tensión nominal, según lo establecido en los epígrafes 1.2.l y 1.2.2, darán lugar a una reducción de la facturación de energía eléctrica a los abonados de un 5 por 100 sobre la tarifa básica. El descuento se mantendrá en la misma cuantía en cuanto perdure la deficiencia y por un periodo máximo de un año; se elevará a un 10 por 100 para el siguiente año y a un 30 por cien a partir del comienzo del tercero, en tanto no este corregida la deficiencia. Estas reducciones son acumulables a las reguladas en 1.1.4, con un máximo total para el conjunto del 50 por 100.

         2. Las Empresas eléctricas podrán declarar al organismo competente en materia de energía la existencia de zonas en que tengan dificultad temporal para el mantenimiento de la calidad exigible, presentando a la vez un plan de corrección de las causas que la originan. En estos casos, dicho Organismo podrá resolver que la facturación a los abonados de la zona se reduzca hasta un 5 por 100 de la tarifa básica durante la ejecución del plan; desde la fecha en que se haya previsto alcanzar la calidad adecuada si el Organismo competente de la Administración pública en la provincia prorroga el plazo para la corrección se añadirá un 10 por cien acumulable a las reducciones establecidas con carácter general. No se admitirá mas de una prorroga y, a partir de su caducidad, se aplicaran las reducciones establecidas con carácter general, aumentadas en un 20 por 100 adicional, con un limite del 70 por ciento, hasta que se restablezca la calidad correcta del servicio.

         3. Las deficiencias de calidad del servicio enumeradas no tienen carácter exhaustivo. Si se produjesen habitualmente otras que originasen perturbaciones en los abonados, sin llegar a alcanzar los limites especificados como deficiencias con reducción directa de la facturación, el Organismo competente de la Administración pública en materia de energía podrá imponer a la Empresa suministradora la obligación de corregir en un plazo determinado, la deficiencias que las originan.

         4. El Organismo Competente de la Administración Pública comprobará de oficio si las Entidades distribuidoras de energía eléctrica hacen efectivas las reducciones que se establecen en los anteriores apartados y verificará las posibles denuncias de los abonados sobre este particular.

 

    Art. 72. Se considerará exigencia de un servicio de calidad superior al normal la petición, por parte del abonado de alguna de las mejoras siguientes:

         a) Mantenimiento de la tensión de suministro dentro de unos márgenes inferiores a los establecidos con carácter general.

         b) Reducción de las tolerancias establecidas en artículo 71 para la determinación de las deficiencias de calidad de servicio.

         c) Eliminación de armónicos o fenómenos transitorios que no originen perturbaciones de la generalidad de los abonados, sin perjuicio en lo previsto en el epígrafe 3 del articulo 65.

    Los sobrecostes de instalación en la red de la empresa suministradora originados por las exigencias de una mayor calidad de servicio serán a cargo del abonado o de los abonados que la hayan requerido. La valoración de los mismos, en caso de desacuerdo, se fijará por el organismo competente de la administración pública.

    El Ministerio de Industria y Energía podrá fijar con carácter general las condiciones técnicas y económicas que deban regir para todos los abonados que requieran unas exigencias similares de calidad de servicio superior a la normal.

    El Ministerio de Industria y Energía en los casos de aplicación general, o las autoridades competentes de la Administración Pública, en los particulares, establecerán también las obligaciones de la Entidad suministradora en relación con estos servicios de mayor calidad y las reducciones de la facturación a que puedan dar lugar su incumplimiento.

 

    Art. 73. Toda Empresa distribuidora de energía eléctrica contará con el personal y medios necesarios para garantizar la calidad de servicio que exige el presente Reglamento.

    En caso de baja calidad de servicio continuada en una zona, o de que concurran en ella circunstancias especiales que lo pongan en peligro, o si la baja calidad pudiera tener consecuencias particularmente graves, el Organismo competente de la Administración pública podrá establecer los mínimos de personal y medios materiales que la Empresa distribuidora debe tener para restablecer la calidad del servicio.

 

CAPÍTULO II

Tarifas de suministro de energía eléctrica. De los convenios y pólizas.

    Art. 74. Todo abonado podrá elegir la tarifa básica y complementos que estime más convenientes a sus intereses entre las que la Empresa tenga oficialmente autorizadas para la aplicación de la energía que el usuario haya de realizar. El contrato de suministro que se formule, o renueve, entre ambas partes se adaptará siempre a las condiciones generales insertas en el modelo oficial de póliza, anejo a este Reglamento, y entre las cuales deberán figurar:

         a) Obligatoriedad del suministro.

         b) Cuándo pueden negarse las Empresas a suscribir pólizas de abono.

         c) Libertad de elección de tarifa y potencia por parte de abonado.

         d) Obligación o deber de asesoramiento por parte de la empresa al usuario y responsabilidad de la misma si éste no es correcto.

         e) Tiempo mínimo que debe permanecer el abonado cuando voluntariamente escoge una modalidad de tarifa, para poder pasar a otra.

         f) El compromiso del abonado a facilitar en su propiedad apoyos para su propio suministro.

         g) Condiciones de la instalación interior del abonado y aparatos de medida y control instalados, así como las condiciones que han de reunir dichos aparatos.

         h) Condiciones y datos mínimos que han de tener los recibos de cobro del suministro a los abonados.

         i) Lugar de pago de los recibos.

         j) Características de la energía.

         k) Condiciones mínimas que han de darse para que pueda haber subrogación en la póliza de abono y en los traspasos de suministros.

         l) Casos en que puede suspenderse el suministro de energía por parte de la Empresa. Las Empresas someterán a la aprobación del Ministerio de Industria y Energía los correspondientes modelos de póliza, quien autorizará su impresión.

    Se autoriza a las Empresas para que impriman a su costa las pólizas para sus contratos con los usuarios, en los que deberán constar impresas y copiadas literalmente todas las cláusulas generales que figuran en el modelo oficial.

    También se podrán recoger en las condiciones generales preceptos de otros Reglamentos y Disposiciones que regulen el suministro de energía eléctrica tales como los Reglamentos Electrotécnicos, Reglamento de Acometidas, Ordenes sobre tarifas, etc.

 

    Art. 75. A los contratos y pólizas existentes se unirá como complemento, tanto en el ejemplar de la Compañía como el que conserva el abonado, la póliza oficial mencionada en el articulo anterior, cuyas condiciones generales serán cumplidas en todo caso. Ello se efectuará sin necesidad de nuevo reintegro, y sólo a la terminación normal del antiguo contrato será obligatorio el timbre correspondiente en el modelo de póliza oficial.

 

    Art. 76. Las cláusulas especiales que puedan consignarse en las pólizas de suministro eléctrico no contendrán concepto ni condición alguna contraria a los preceptos de este reglamento, ni a los de instalaciones eléctricas ni a otra cualquier disposición dictada sobre la materia.

    En todos los casos, en el modelo de póliza oficialmente aprobado y en cualquier otro contrato de suministros eléctricos, se harán constar los extremos siguientes:

          a) "La tensión" a que se distribuye la energía en la acometida de la instalación y la "frecuencia", cuando la corriente es alterna, pudiendo las empresas fijar como normales tensiones distintas en los diversos sectores por ellas abastecidos, según su situación y demás circunstancias.

          b) La potencia instalada y máxima contratada.

         c) La tarifa autorizada o reducida a aplicar, así como la aplicación e los complementos de tarifa y su tipo.

          d) Si el servicio no es permanente, se fijará la hora en que debe cesar y comenzar diariamente, que podrá ser variable en las distintas épocas del año y, en su caso, los días y épocas en que tendrá lugar el suministro .

          e) Si la póliza corresponde a un suministro provisional, eventual, de temporada.

          f) Cuando excepcionalmente haya de aplicarse, por razones técnicas o económicas, una tarifa a tanto alzado, se requerirá autorización expresa del Organismo competente de la Administración Publica y se podrán instalar aparatos que, sin encarecer sensiblemente la instalación, representen una garantía del cumplimiento de las condiciones convenidas.

          g) Domicilio del contrato, para las reclamaciones que puedan suscitarse de carácter judicial, que será el del abonado que contrata el servicio.

    Se hará constar en los convenios el derecho de que los empleados de las Empresas puedan inspeccionar las instalaciones de sus abonados.

    No podrá imponerse a los abonados en ningún convenio la obligación de surtirse de material eléctrico en los almacenes de la Empresa ni en ningún otro designado por la misma, ya que el abonado tiene completa libertad, tanto para la elección de instalar como para la adquisición de material necesario, incluso el de medida y control.

    Es potestativo de las empresas suministradoras de energía eléctrica cambiar las características de la corriente en sus instalaciones, sin causar perjuicio alguno a los abonados.

    Para ello se seguirán las normas siguientes:

          1ª Deberán obtener las oportunas autorizaciones de los organismos de la Administración correspondientes. A su solicitud acompañaran Memoria y planos debidamente autorizados en cuyos documentos se justificará el cambio y se expondrá detalladamente la forma en que se proyecte realizarlo, concretando el sector, o sectores, a que haya de afectar.

          2ª El plazo para realizar dicho cambio será fijado por el organismo oficial correspondiente, de acuerdo con la Empresa afectada, teniendo en cuenta las necesidades del servicio.

          3ª En los casos de cambios de características de corriente, y a partir del momento en que se realicen los suministros de energía con las características nuevas, distintas de las contratadas, la Empresa queda obligada con los titulares de los contratos en vigor en este momento a sustituir o adaptar todos los elementos eléctricos afectados por el cambio, en aquellos aparatos que, encontrándose en servicio, figuren relacionados debidamente en la póliza en vigor; su potencia será precisamente la declarada en ésta. Si dicha relación no figurase en la póliza, la obligación de sustituir o adaptar por parte de la Empresa se concretará a aquellos receptores cuya potencia total sea la que resulte de dividir la contratada por el coeficiente de simultaneidad 0.6.

    Igualmente, en los casos en que el suministro se realice en alta tensión y los aparatos de transformación, mando, medida, protección, etc., sean de propiedad del abonado, la empresa queda obligada a sustituirlos por su cuenta.

    El suministro de energía en todos los casos sólo quedará interrumpido el tiempo necesario, fijado por el Organismo de la Administración correspondiente, para que pueda efectuarse la sustitución o adaptación de elementos de la instalación y de receptores.

          4ª Durante el plazo fijado en la autorización para realizar la variación de las características, todos aquellos usuarios que suscriban nuevas pólizas o amplíen las existentes no disfrutarán del derecho a la sustitución, por cuenta de la empresa suministradora, de los aparatos receptores que figuren en esas nuevas pólizas o en las ampliadas.

          5ª La sustitución de los equipos de medida propiedad de los abonados se hará por la Empresa instalando un nuevo equipo, similar al anterior, que satisfaga las nuevas características del suministro.

          6ª En el caso de que las Empresas interesadas no efectúen el cambio de características en el plazo fijado por el Organismo oficial competente en la autorización correspondiente, los abonados comprendidos en el apartado 4º de este artículo adquirirán todos los derechos que este Reglamento establece.

    Los Organismos de la Administración podrán, cuando lo estimen conveniente, o a petición de parte, examinar los convenios o pólizas de suministro y, si no reúnen las condiciones reglamentarias, requerirán a la Empresa para que las modifique inmediatamente, y si a ello hubiere lugar, por el alcance y perjuicio que la infracción represente, podrán imponer las sanciones que autoriza el articulo 93, sin perjuicio de publicar si lo creen preciso, una resolución anulando la póliza en el "Boletín Oficial" de la provincia, para conocimiento de los interesados.

 

    Art. 77. Las empresas distribuidoras podrán negarse a suscribir pólizas de abono, en los casos siguientes:

          1.º Cuando la persona o entidad que solicite el suministro se niegue a firmar el contrato extendido, de acuerdo con el modelo oficial de póliza y con las disposiciones vigentes sobre contratación de energía eléctrica.

          2.º En el caso de que en la instalación del peticionario no se hayan cumplido, a juicio de la empresa y previa comprobación, las prescripciones que con carácter general establecen los Reglamentos de instalaciones eléctricas, así como las especiales que, autorizadas por la Delegación de Industria, deben satisfacer las instalaciones receptoras abastecidas por la empresa en cuestión.

          3.º Cuando se compruebe que el peticionario del suministro ha dejado de satisfacer el importe de la energía que haya consumido anteriormente de cualquier otra empresa suministradora de energía eléctrica.

 

    Art. 78. Las empresas distribuidoras de energía eléctrica están obligadas a efectuar el suministro conforme a las tarifas de aplicación autorizadas, a todo peticionario del mismo o a la ampliación del correspondiente a un abonado.

    Si alguna empresa se negara a suministrar energía eléctrica, se procederá por la Delegación de Industria a comprobar si tiene fundamento técnico tal negativa, y en caso contrario, la Delegación de Industria hará obligatorio el suministro a los precios de las tarifas vigentes, imponiendo a la empresa una multa de 500 a 2.500 pesetas.

    Si, a pesar de todo, la empresa no cumpliera la orden recibida, la Delegación elevará los antecedentes del asunto a la Dirección General de Industria, la que podrá acordar, además de las sanciones que fijarán en el artículo 93 de este reglamento, el que se realice la obra por la Delegación de Industria, a expensas de la empresa.

    Cuando por la Delegación de Industria se consienta la negativa del suministro a un peticionario por restricciones motivadas por fuerza mayor u otra causa de reconocido fundamento, la empresa no podrá admitir nuevos abonados hasta haber realizado dicho suministro, salvo el caso en que la dificultad radicase en su situación con relación a la red o a la importancia de la misma, extremos que deberán ser comprobados por la Delegación.

    Cuando sean varias las peticiones de suministro, se dará preferencia a las que la tengan concedida en virtud de disposiciones legales vigentes, y en segundo lugar, a las de alumbrado en la red de baja tensión, y si continua la empresa con medios suficientes, deberá suministrarse el servicio de la industria, satisfaciéndose las solicitudes, dentro de toda clase, por el orden riguroso en que hayan sido formuladas.

 

    Art. 79. Cuando una entidad distribuidora declare que no dispone de medios suficientes para atender el aumento de consumo en el sector en que distribuye energía eléctrica, deberá exponer, ante la Delegación de Industria, las causas que motivan dicha carencia de medios. La Delegación de Industria abrirá expediente y recabará informes sobre la situación del servicio y posibles soluciones, de las Corporaciones Municipales, Cámaras de Propiedad Urbana, de Comercio y de Industria, y cualquier otro Organismo o entidad que estime de interés, y elevará, con los antecedentes, informe y propuesta, a la Dirección General de Industria, que resolverá sobre las medidas que pudieran adoptarse para normalizar las condiciones de suministro.

 

    Art. 80. El Ministerio de Industria dará normas de carácter general y adoptará las medidas precisas, en cuantos casos sea necesario para ampliar, mejorar y poner en debidas condiciones las redes eléctricas, a fin de que se mantengan en las mismas las condiciones reglamentarias de servicio y queden abastecidos con la necesaria amplitud los centros de consumo insuficientemente dotados.

 

    Art. 81. Además de los casos previstos en el Articulo 77, no estarán obligadas las empresas a efectuar el suministro cuando el peticionario utilice en la misma instalación, y con idénticos usos y aplicaciones, energía eléctrica de otra procedencia, salvo en el caso de tratarse de espectáculos o de locales públicos o de aquellos que, para la seguridad personal lo precisen, o de industria y profesión que, por su índole y a juicio de la Dirección General de Industria, previo informe de la Delegación de la Provincia, le sea imprescindible el doble suministro, como hornos y fábricas de pan, imprentas de periódicos, clínicas, etcétera; pero, en estos casos, vienen obligados los abonados a consumir también de la segunda empresa en cantidad no inferior al 15 por 100 del consumo total que se abonará, como mínimo, a la empresa a la que no se le haya consumido, excepto en los casos de irregularidad manifiesta en el suministro de fluido de una de las empresas, no abonando el consumidor entonces más que lo integrado por el contador correspondiente. En caso de disconformidad en la liquidación, resolverá la Delegación de Industria.

 

    Art. 82.

         a) Las tarifas de aplicación para la venta de energía eléctrica por las empresas conectadas a la Red General Peninsular y que se acojan al nuevo sistema de tarifación vendrán limitadas en lo sucesivo por las .tarifas tope unificadas, que para las diferentes modalidades de suministro de energía serán fijadas por el Ministerio de Industria. A estos efectos, y previo informe del Sindicato Vertical de Agua, Gas y Electricidad, deberán ser aprobados por Decreto los coeficientes y valores que en las fórmulas paramétricas que se determinan en el apartado c) de este articulo han de introducirse para fijar las tarifas tope iniciales y para deducir las futuras consecuencias de las alteraciones autorizadas, que en más o en menos se produzcan con los precios o importes de los distintos elementos.

    A los efectos de este Decreto, se entenderá por Red General Peninsular la integrada por los sistemas eléctricos de aquellas entidades que individualmente o por agrupación técnica de varias, mediante enlaces que permitan la cesión o intercambio de energía, produzcan o distribuyan una suma de energía eléctrica igual o superior a 25 millones de kilovatios-hora por año.

    Las empresas integradas en la Red General Peninsular vienen obligadas a transportar a través de sus redes las cantidades de energía que en atención de necesidades de utilidad pública ordene el Ministerio de Industria, en las condiciones económicas que para cada caso serán fijadas, cuando no se llegue a acuerdos entre las empresas para los transportes o desplazamientos de energía entre las mismas.

    Se definen con tarifas tope unificadas las que, con arreglo a lo que disponen los párrafos precedentes, sean autorizadas para cada uno de los distintos tipos de consumo en función del coste de primer establecimiento de las obras e instalaciones, incluso intereses y amortización del capital empleado, de los gastos de conservación y explotación en la producción, transporte y distribución de la energía eléctrica; de los impuestos y de los gastos generales y en relación con las características especiales de las entidades suministradoras y de las industrias o servicios a que se aplique la energía, tanto aquellas como estos en cuanto a rendimientos o utilizaciones.

    Por tarifas de concesión se entenderán las que consten en concesiones otorgadas por el Ministerio de Obras Públicas para aprovechamientos hidroeléctricos y por el Ministerio de Industria en las autorizaciones de centrales térmicas.

    Son tarifas de aplicación las que dentro de las unificadas presenten y ofrezcan al público cada una de las empresas en el área de su mercado en relación con las características de su sistema productor y de las de sus consumidores. Podrán ser de cualquiera de los sistemas universalmente empleados para la facturación de energía, pero el precio medio resultante para el usuario al dividir el total de la facturación que se obtenga con estas tarifas por los kilovatios-hora suministrados para un periodo no superior a un año no podrá ser mas alto que el que resultase de aplicar la correspondiente tarifa tope unificada para el mismo usuario. Estas tarifas de aplicación habrán de registrarse en la Delegación de Industria correspondiente, quedando admitidas, si la Delegación no hace objeción a las mismas, en el plazo de quince días hábiles después de su presentación.

    Las anteriores tarifas deberán ser comunicadas de oficio por la Delegación de Industria a la Confederación o Servicio hidráulica en cuya cuenca radique la empresa a que las tarifas afecten. Caso que afecte a Empresas ubicadas en más de una cuenca, deberán dar traslado de las tarifas en cuestión a la Dirección General de Obras Hidráulicas.

    El usuario podrá elegir entre la tarifa tope unificada que le corresponda y la que considere mas apropiada entre las que la empresa le ofrezca, pero una vez aceptada libremente una tarifa de aplicación determinada no podrá -salvo acuerdo con la empresa- cambiar la misma en el plazo de un año, al transcurrir el cual, si lo desea, puede acogerse automáticamente a la tarifa tope unificada correspondiente al mismo suministro o a otra de las de aplicación que se le ofrezca.

    Asimismo, la empresa podrá obtener la suspensión de las tarifas de aplicación que tenga registradas transcurrido un año desde la fecha de registro, viniendo obligada a respetar los contratos hechos hasta la terminación legal de los mismos o hasta que como mínimo haya transcurrido un año desde la fecha de aplicación de la tarifa al usuario.

          b) Las empresas dedicadas a la venta de electricidad, sean cualesquiera su situación y condiciones, podrán regirse por el sistema de tarifas tope unificadas, establecido según el apartado a); pero aquellas entidades que no estén conectadas a la Red General Peninsular o que por sus características muy especiales circunstancialmente no puedan desarrollar su explotación dentro del sistema general de tarifas tope, podrán solicitar del Ministerio de Industria la revisión de sus actuales tarifas de aplicación con arreglo a las normas que más adelante se señalan para estas empresas.

    Cuando de la aplicación de los preceptos de este Decreto resulten tarifas de aplicación superiores a las señaladas en la concesión otorgada por el Ministerio de Obras Públicas para un determinado aprovechamiento hidroeléctrico, antes de ponerlas en vigor en el sector suministrado por dicho aprovechamiento la empresa interesada precisará obtener la oportuna autorización del Ministerio de Obras Públicas.

    Las empresas regidas por el sistema de tarifas tope unificadas tendrán derecho, dentro de la regulación general de la producción térmica que se establezca por el Ministerio de Industria, a la percepción de una compensación especial por e1 concepto de sobrecoste de la energía térmica producida en sus centrales, según el número de kilovatios-hora térmicos producidos, y, asimismo, a una compensación por los kilovatios instalados y en producción en nuevas centrales, tanto hidráulicas como térmicas, establecidas después del año 1939.

          c) El cálculo por el Ministerio de Industria y Comercio de las tarifas tope unificadas se hará con arreglo a las normas que siguen:

    Siendo conocido el precio medio global de la energía eléctrica vendida por las empresas en un momento de precios estables -año 1935-, valor que se tomará como punto de partida y se denominará P35, expresado en céntimos por kilovatio-hora y teniendo en cuenta los aumentos de coste oficialmente autorizados que se hayan producido en las diferentes partidas que integraban dicho precio medio y que se calcularán mediante los índices correspondientes de valoración de precio, se obtendrá para un momento determinado, n, un precio medio global, que se denominará

en esta forma los coeficientes:

expresan la ponderación con que los gastos denominados de capital, personal y varios influían en el año 1935 en el precio de venta de la energía.

    En la misma fórmula, las restantes letras significan:

    lcn es el índice representativo de la relación existente entre los gastos de capital (amortizaciones, renta e impuestos)correspondientes al año que se considera y al de 1935.

    lpn es el índice de variación de los gastos del personal empleado en las empresas eléctricas, incluidas las cargas sociales en el año n referido al mismo concepto en 1935 = 100.

    lvn es el índice de los gastos varios, o sea, el total restante una vez descontados los de capital y personal, referido al mismo valor 1935 = 100.

    Como la determinación de este último índice sería difícil, dado el número y variedad de partidas que componen el concepto se tomará como valor del mismo el de la media aritmética de los índices de precios en el momento n, referidos a 1935 =100, para varios productos característicos: acero en laminados, mano de obra, de construcción, aceros especiales y herramientas, carburantes y aceite de transformadores.

    Por su influencia en los costes, e preciso, además, tener en cuenta las relaciones:

    siendo H35, el número de horas de utilización media anual, referido a la potencia en kilovatios de las centrales productoras en 1935 para el grupo de empresas considerado.

    Hn, el mismo valor para el momento n.

    S35, el rendimiento, o sea, la relación del numero de kilovatios-hora facturados al numero de kilovatios-hora producidos mas los adquiridos por las mismas empresas en 1935.

    Sn, el mismo valor para el momento n.

    La relación

     

    se denominará índice de corrección de la tarifa origen, y en cuanto éste aumente o disminuya en un 5 por 100 de su valor anterior se procederá por el Ministerio de Industria a la revisión de las tarifas unificadas.

    Determinado el precio medio, Pn, o sea, el precio en el momento n, de la energía vendida correspondiente a las instalaciones existentes en 1935, para obtener el precio medio a que la energía debe venderse en el momento n, hemos de incorporarle los siguientes sumandos:

    Primero. Los incrementos, expresados en céntimos por kilovatios-hora, que en el precio medio global de la energía y en el momento n se deduzcan de las variaciones del coste del primer establecimiento de las obras e instalaciones de producción, transporte y distribución, construidas después del año 1939, y que se denominarán C.

    Segundo. Los incrementos, expresados en igual forma que se deduzcan de las variaciones de coste de la producción térmica que se denominaran T.

    Tercero. Los procedentes de las compensaciones precisas para atender las diferencias de precio en suministros de superior característico interés, de acuerdo con lo que más adelante se dispone en este Decreto, y que se denominarán E.

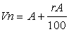
    Se obtiene así el precio final medio de venta en el momento n, que llamaremos Vn en céntimos por kilovatio-hora, y vendrá integrado por:

    Para la mejor interpretación de esta fórmula ha de tenerse en cuenta:

    Primero. Que como el aumento de coste de las nuevas instalaciones es imputable no sólo a las centrales productoras, sino también a las líneas de transporte y redes de distribución, ha de dividirse el valor C en dos partes por medio de los coeficientes K' + K = 1, respectivamente de la influencia que en incrementos de unas y otras instalaciones.

    Segundo. Que el sobrecoste T de la producción térmica ha de ser variable de unos años a otros, según las condiciones hidrológicas y las alteraciones de precio en los combustibles.

    Tercero. Que el valor E ha de ser también variable según el número y consumo de los suministros que han de disfrutar de precios especiales, que impliquen pérdidas para las empresas vendedoras.

    En consecuencia, la fórmula anterior quedará transformada como sigue:

    La suma incluida en el primer paréntesis se denominará A y la correspondiente al segundo, que deberá ser evaluada para cada periodo determinado según el número y la potencia de las nuevas centrales que ha entrado en servicio, la cantidad de energía térmica producida y los kilovatios-hora que las empresas han tenido que vender a precios inferiores a los de coste, se expresará en un porcentaje rA, quedando la fórmula anterior convertida en:

    En esta forma, la estructura de las diferentes tarifas de venta al público será la de una tarifa base deducida del término A, que será íntegramente imputada a la empresa vendedora, y un recargo porcentual r, que será puesto por ésta a disposición de la Oficina Liquidadora que se establece en el apartado e) de este artículo, y que se destinará a cubrir, en las debidas proporciones, las compensaciones correspondientes, a las empresas con centrales instaladas después de 1939, a aquellas que produzcan energía térmica y a las que cedan energía para suministros especiales a precios cuya venta implique una pérdida para la empresa afectada.

    Las tarifas parciales aplicables a las distintas clases de suministros se determinaran en forma que el recio medio global e las mismas corresponda al de la tarifa base A) anteriormente deducida.

          d) El recargo porcentual r para compensar las cantidades correspondientes a los términos C, T y E será ajustado semestralmente, a fin de que la recaudación de las empresas por el concepto citado sea equivalente a las cantidades a compensar.

    Se fijarán las normas correspondientes a la cuantía de las compensaciones y forma de otorgarlas a las empresas en función de su participación en las nuevas construcciones, energía térmica producida y las cesiones de energía que hayan efectuado con precios que se determinen como no remuneradores.

          e) Con el fin de administrar la parte de las tarifas destinadas a compensaciones y distribuir éstas, se organizará una Oficina Liquidadora. A este efecto, dentro del plazo de tres meses, contados desde la fecha de este Decreto, las empresas eléctricas que se acojan al sistema de tarifa tope unificada elevarán al Ministerio de Industria una propuesta de organización y reglamentación para el funcionamiento a su cargo de la citada Oficina, en cuyo Organismo Rector figurará permanentemente un representante de la Dirección General de Industria, a fin de aprobar e inspeccionar los acuerdos que se tomen, de que se cumplan estrictamente las normas que por el referido Ministerio se dicten para la aplicación de los recargos, liquidación de las compensaciones y demás funciones que se le asignen. También figurará en dicho Organismo Rector un representante del Sindicato Vertical de Agua, Gas y Electricidad, con función asesora.

    En caso de que no hubiera propuesta de las empresas, o que, presentada y previa la oportuna discusión sobre la misma, no respondiera a las finalidades que se persiguen, el Ministerio de Industria procederá, sobre base análoga, a las fijadas en el párrafo anterior y con las mismas finalidades, a la organización de una entidad en la que estarán debidamente representados el Sindicato Vertical de Agua, Gas y Electricidad y las empresas afectadas.

    El Ministerio de Industria señalará, en todo caso, las relaciones de dicho Organismo con las empresas eléctricas, indicando la fórmula en que habrá de hacerse cargo del importe de la recaudación obtenida por la aplicación de los recargos sobre las tarifas y ordenando el sistema de liquidación con las empresas de las cantidades que a cada una corresponda.

    Las empresas regidas por el sistema de tarifa tope unificada estarán obligadas a poner a disposición de la oficina liquidadora todas las cantidades que recauden por la aplicación del recargo rA, establecido en el apartado c) de este Decreto.

          f) Las empresas adquirirán, cuando por razones de interés general el Ministerio de Industria lo ordene, previa aprobación de normas generales por el Consejo de Ministros, energía disponible de origen térmico o hidráulica procedente de reservas a favor del Estado o producida por centrales de entidades estatales o privadas que, a los efectos de aplicación de dicha energía, no dispongan de redes propias de distribución, debiendo tenerse en cuenta, para la adquisición de dicha energía, las concesiones o condiciones fijadas por el Ministerio de Obras Públicas; asimismo, en momentos de déficit, deberán adquirir en las condiciones que señale el Ministerio de Industria, energía térmica producida en centrales que habitualmente funcionen para usos propios en industrias.

          g) La energía adquirida por las empresas en virtud de lo señalado en el apartado anterior será utilizada por las mismas en su distribución o cedida cuando el Ministerio de Industria lo ordene para aquellas industrias o servicios que, por acuerdo del Consejo de Ministros, se declaren de superior y característico interés y precisen para su desenvolvimiento condiciones peculiares en el suministro de energía, que no puedan obtener por negociación directa con las empresas; a este efecto, el Ministerio de Industria ordenará a la Oficina Liquidadora que incluya, como cantidad a compensar, en la cuenta de liquidación de recargos, el déficit que pudiera originarse a las empresas por estas entregas de energía a precios que no sean remuneradores.

          h) Dadas las características de esta industria, y debiendo ello ser tenido en cuenta al calcular y fijar las tarifas, aquellas empresas que repartan un dividendo activo no superior al seis por ciento anual de la suma del capital desembolsado y de las reservas expresas, habrán de destinar a la amortización de sus instalaciones una cantidad que, como mínimo, ha de ser el 2,50 por 100 de sus inversiones correspondientes al negocio de electricidad.

    En el caso de que la empresa repartiera un dividendo superior al 6 por 100 sobre la suma del capital desembolsado y de las reservas, vendrá obligada a aumentar sus amortizaciones o dotar un fondo de renovación en el balance, en la cuantía necesaria para mantener la misma proporción que resulta de las cifras señaladas en el párrafo anterior. Se entenderá, de conformidad con la legislación vigente, que el impuesto de utilidades que grave el dividendo corre a cargo del perceptor del mismo.

    Los porcentajes de amortización a que este epígrafe se refiere girarán sobre el coste inicial contabilizado de las inversiones.

    Las amortizaciones que se contabilizan con arreglo a lo dispuesto en este epígrafe, dentro de los ejercicios económicos respectivos, tendrán la consideración legal de gasto, bien se hagan con la disminución de los valores activos, bien por creación de fondos de amortización en el pasivo de los

    balances de las empresas.

    Por los Ministerios de Hacienda y de Industria se adoptarán las medidas precisas para el cumplimiento, por parte de las empresas, de lo dispuesto en

    este apartado.

          i) En relación con los precios tope de venta de la energía el Ministerio de Industria dará normas precisas para la fijación de mínimos de consumo, calculo de potencia contratada, bloques de energía, utilizaciones, recargos y bonificaciones para la energía reactiva y, en general, para cualquier otra condición inherente a la aplicación de las tarifas tope para los distintos usos.

          j) Las empresas productoras y las distribuidoras de energía eléctrica y, en general, todas aquellas entre las que se lleve a efecto la compraventa o intercambio de energía eléctrica, bien sea con fines de conveniencia puramente privados o motivados por la necesidad de efectuar suministros permanente o de auxilio, podrán establecer libremente acuerdos, sin intervención de la Administración, para fijar las condiciones de contratación de la energía suministrada.

    Si tal acuerdo llega a traducirse en un contrato, únicamente deberá ser presentado éste en la Delegación de Industria correspondiente para ser registrado, sin que el simple trámite de registro implique, por parte de la Administración la aprobación de las cláusulas de dicho contrato ni la aceptación de que es conforme con la reglamentación vigente sobre la venta de energía eléctrica.

    Si por el contrario, no se llegara entre las entidades contratantes a un acuerdo sobre alguna de las condiciones de suministro, podrá ser sometido el caso, por cualquiera de las partes, a la Delegación de Industria de la provincia respectiva, o a la Dirección General de Industria, si afecta a varias provincias, y estos Organismos dictaminarán, en Primer lugar, sobre si la contratación de energía que se proyecta debe llevarse a efecto por ser de utilidad pública; en tal caso, fijará las condiciones para la contratación que , en el caso de empresas revendedoras, podrá tener la modalidad de destinar al productor un porcentaje de la recaudación por venta de la energía cedida, teniendo en cuenta para su fijación las condiciones de entrega de la energía y los precios promedios que el distribuidor haya de obtener por la aplicación de las tarifas unificadas a sus consumidores, tanto para la energía que adquiera como para la que pudiera producir en sus instalaciones propias. En el caso de que el distribuidor de energía sea al mismo tiempo entidad consumidora para industria, se considerará ésta, a los efectos de facturación, como un usuario normal, al que son de aplicación las tarifas tope unificadas.

          k) Por el Ministerio de Industria se señalarán los suministros de energía que, por sus características, deberán quedar excluidos de la aplicación estricta de las tarifas que, dentro de los topes unificados, las empresas tengan establecidas con carácter general.

    Dentro de estos servicios han de quedar comprendidos aquellos suministros que, en circunstancias de normalidad, merecieron un trato especial para las empresas de electricidad, reflejado en contratos especiales.

    El Ministerio de Industria podrá dictaminar en cada caso si continúan o no razones de interés general para exceptuarlos de la aplicación estricta del régimen de tarifas tope unificadas y en caso afirmativo, fijará las condiciones de tarifación de energía, teniendo en cuenta las que, en época de normalidad de precios, se aplicaban a los respectivos suministros.

    En este grupo de usuarios quedarán comprendidos, entre otros, los que exploten servicios públicos mediante concesión administrativa otorgada por el Ministerio de Obras Públicas, como tracción eléctrica, abastecimientos de aguas en poblaciones y empresas suministradoras de agua para riegos, a fijación de precios y demás condiciones de suministro en tales casos se hará por el Ministerio de Industria, de acuerdo con el Ministerio de Obras Públicas.

          l) Dentro del sistema de tarifas tope unificadas se establecerán por el Ministerio de Industria:

    Primero. Las modalidades especiales para estimular la electrificación rural, atendiendo a las características particulares de los abonados de este tipo.

    Segundo. Las normas para facilitar el suministro de energía a las entidades de población que, por su limitado consumo, no han sido hasta ahora conectadas a las líneas y redes de distribución eléctrica existentes.

    Tercero. La supresión de los mínimos de consumo para los consumidores más modestos, a fin de que las elevaciones en las tarifas repercutan en menor cuantía en los mismos.

 

    Art. 83. Aquellas empresas que no puedan regirse por las "tarifas tope unificadas", de acuerdo con lo dispuesto en las tarifas de aplicación; la legalización de las tarifas cuando carezcan de ellas, el establecimiento de nuevas modalidades o la supresión de algunas de las ya establecidas, necesitarán la oportuna autorización concedida por la Dirección General de Industria, previo informe del Consejo Superior de Industria si el suministro afecta a pueblos de varias provincias.

    En el expediente que se instruya, tramitado e informado en todos los casos por las Delegaciones de Industria, según las normas acordadas por la Superioridad, se pedirá informe a las Cámaras de la Propiedad, de Comercio e Industria, Oficial Sindical Agraria y a los Ayuntamientos respectivos, y si la energía es de origen hidraúlico, a las Confederaciones Hidrográficas o Servicios Hidraúlicos de la respectiva cuenca.

    Se considerará que están conformes con lo solicitado aquellas de las entidades que, durante la tramitación del expediente, no envíen su informe en el término de un mes, a contar de la fecha en que les fuese solicitado por escrito por la Delegación de Industria correspondiente.

    Si la elevación de tarifas sobrepasara las que figuran en la concesión otorgada por el Ministerio de Obras Públicas para un aprovechamiento hidro-eléctrico, antes de ponerla en vigor para el sector suministrado por dicho aprovechamiento, se precisará obtener la oportuna autorización del Ministerio de Obras Públicas.

    Cuando la modificación afecte a varias provincias se iniciará el expediente en la Dirección General de Industria y serán recabados los informes de las Delegaciones de Industria correspondientes.

    Cuando se conceda la elevación o supresión de alguna de las tarifas que una empresa tenga establecida, se respetarán los contratos hechos con la modalidad o tarifa antigua hasta la terminación legal de aquéllos.

 

    Art. 84. Las empresas distribuidoras de energía eléctrica podrán suspender el suministro de energía a sus abonados en los casos siguientes:

         a) Si no se hubiesen satisfecho con la debida puntualidad el importe del servicio conforme a lo estipulado en la póliza. En el caso de que por este concepto hubiera formulado el consumidor reglamentariamente alguna reclamación, la Empresa no le podrá privar de fluido en tanto no recaiga resolución sobre la reclamación formulada. Si la reclamación fuese contra la resolución del Organismo oficial correspondiente deberá exigirse al abonado el previo depósito de la cantidad adeudada, para tramitar su reclamación, pudiendo privársele de suministro en el caso de que no deposite la cantidad fijada en la resolución de dicho Organismo.

         b) Por falta de pago de las cantidades resultantes de liquidación firme de fraude o en el caso probado de reincidencia de fraude.

         c) En todos los casos en que el abonado haga uso de la energía que se le suministre en forma o para usos distintos a los contratados.

         d) Cuando el abonado establezca o permita establecer derivaciones en su instalación para suministro de energía a otros locales o viviendas diferentes a las consignadas en su contrato de suministro.

         e) Cuando el abonado no permita la entrada en el local a que afecta el suministro contratado, en horas hábiles o de normal relación con el exterior al personal que, autorizado por la Empresa y provisto de su correspondiente documentación de identidad, trate de revisar las instalaciones, siendo preciso, en tal caso, el que se haya hecho constar la negativa ante testigos o en presencia de algún Agente de la autoridad.

         f) Cuando el abonado no cumpla, en algún aspecto, el contrato que tenga establecido con la Empresa o las condiciones generales de utilización del servicio.

         g) Por negligencia del abonado respecto a la instalación de equipos correctores en el caso en que produzca perturbaciones en la red y una vez transcurrido el plazo establecido por los Organismos competentes para su corrección.

    En todos estos casos, la Empresa deberá dar cuenta al Organismo competente de la Administración Pública y al abonado, por correo certificado, tanto a su domicilio como al del abono si fuese diferente, para que, previa la comprobación de los hechos, el Organismo Oficial dicte la resolución procedente, considerándose queda autorizada para la suspensión del suministro si no recibe orden en contrario de dicho Organismo en el término de doce días hábiles, a partir de la fecha en que dio cuenta de los hechos a dicho Organismo para su comprobación.

    La suspensión del suministro de energía eléctrica por parte de las Empresas suministradoras no podrá realizarse en día festivo o en que, por cualquier motivo, no exista servicio completo administrativo y técnico de atención al público a efectos de la tramitación completa del restablecimiento del servicio, ni en víspera del día en que se dé alguna de estas circunstancias.

    El restablecimiento del servicio se realizará el mismo día o, en su defecto, al siguiente día hábil en que hayan sido subsanadas las causas que originaron el corte de suministro.

    La notificación de corte de suministro incluirá, como mínimo, los siguientes puntos:

Nombre y dirección del abonado.

Nombre y dirección del abono.

Fecha y hora aproximada en que se producirá el corte.

Detalle de la razón que origina el corte.

Nombre, dirección, teléfono y horario de las oficinas comerciales de la Empresa eléctrica en que pueden subsanarse las causas que originaron el corte.

     

    Los gastos que origine la suspensión serán de cuenta de la Empresa suministradora, y la reconexión del suministro, en caso de corte justificado, será por cuenta del abonado, siendo la cantidad a satisfacer por el mismo el doble de los derechos de enganche vigentes para una potencia igual a la contratada. En ningún caso se podrán percibir estos derechos si no se ha efectuado efectivamente el corte de suministro de energía.

    En el caso de suspensión por falta de pago, si en el plazo de tres meses desde la fecha del corte no se ha satisfecho por el abonado los recibos pendientes y la tasa de reenganche, se dará por terminado el contrato, sin perjuicio de las acciones que correspondan a la Empresa para el cobro de la deuda y, en su caso, resarcimiento de daños.

 

    Art. 85. En los suministros a tanto alzado, las empresas podrán solicitar que, por la Delegación de Industria, se compruebe el consumo de las lámparas instaladas por los abonados, y si excediera del contrato, se considerará como caso de fraude.