|
MINISTERIO DE INDUSTRIA Y ENERGÍA |
INSTALACIONES DE PUESTA A TIERRA |
ITC |
ÍNDICE
1. PRESCRIPCIONES GENERALES DE SEGURIDAD.
1.1 Tensiones máximas aplicables al cuerpo humano.
1.2 Prescripciones en relación con el dimensionado.
2. PROYECTO DE LAS INSTALACIONES DE PUESTA A TIERRA.
2.1 Procedimiento.
2.2 Condiciones difíciles de puesta a tierra.
3. ELEMENTOS DE LAS INSTALACIONES DE PUESTA A TIERRA Y CONDICIONES DE MONTAJE.
3.1 Líneas de tierra.
3.2 Instalación de líneas de tierra.
3 Electrodos de puesta a tierra.
3.4 Dimensiones mínimas de los electrodos de puesta a tierra.
3.5 Instalación de electrodos.
4. CARACTERÍSTICAS DEL SUELO Y DE LOS ELECTRODOS QUE DEBEN TENERSE EN CUENTA EN LOS CÁLCULOS.
4.1 Resistividad del terreno.
4.2 Resistencia de tierra del electrodo.
4.3 Efecto de la humedad.
4.4 Efecto de la temperatura.
5. DETERMINACIÓN DE LAS INTENSIDADES DE DEFECTO PARA EL CÁLCULO DE LAS TENSIONES DE PASO Y CONTACTO.
6. INSTRUCCIONES GENERALES DE PUESTA A TIERRA.
6.1 Puesta a tierra de protección.
6.2 Puesta a tierra de servicio.
6.3 Interconexión de las instalaciones de tierra.
7. DISPOSICIONES PARTICULARES DE PUESTA A TIERRA.
7.1 Descargadores de sobretensiones.
7.2 Seccionadores de puesta a tierra.
7.3 Conjuntos protegidos por envolvente metálica.
7.4 Elementos de la construcción.
7.5 Elementos metálicos que salen fuera de la instalación.
7.6 Vallas y cercas metálicas.
7.7 Centros de transformación.
8. MEDIDAS Y VIGILANCIA DE LAS INSTALACIONES DE PUESTAS A TIERRA.
8.1 Mediciones de las tensiones de paso y contacto aplicadas.
8.2 Vigilancia periódica.

1. PRESCRIPCIONES GENERALES DE SEGURIDAD.
1.1 Tensiones máximas aplicables al cuerpo humano.
Toda instalación eléctrica deberá disponer de una protección o instalación de tierra diseñada en forma tal que, en cualquier punto normalmente accesible del interior o exterior de la misma donde las personas puedan circular o permanecer, éstas queden sometidas como máximo a las tensiones de paso y contacto (durante cualquier defecto en la instalación eléctrica o en la red unida a ella) que resulten de la aplicación de las fórmulas que se recogen a continuación.
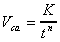
La tensión máxima de contacto aplicada, en voltios, que se puede aceptar se determina en función del tiempo de duración del efecto, según la fórmula siguiente:
|
(1) |
|
siendo:
K = 72 y n = 1 para tiempos inferiores a 0,9 segundos.
K = 78,5 y n = 0,18 para tiempos superiores a 0,9 segundos e inferiores a 3 segundos.
t = duración de la falta en segundos.
Para tiempos comprendidos entre 3 y 5 segundos la tensión de contacto aplicada no sobre pasará los 64 V. Para tiempos superiores a 5 segundos la tensión de contacto aplicada no será superior a 50 V, salvo casos excepcionales justificados no se considerarán tiempos inferiores a 0,1 segundos.
En caso de instalaciones con reenganche automático rápido (no superior a 0,5 segundos) el tiempo a considerar en la fórmula será la suma de los tiempos parciales de mantenimiento de la corriente de defecto.
A partir de la fórmula anterior (1) se pueden determinar las máximas tensiones de paso y contacto admisibles en una instalación, considerando todas las resistencias que intervienen en el circuito.
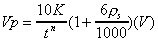
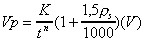
A efectos del cálculo de proyecto se podrán emplear, para la estimación de las mismas, las expresiones siguientes:
|
(2) Tensión de paso: |
|
|
(3) Tensión de contacto: |
|
que responden a un planteamiento simplificado del circuito, al despreciar la resistencia de la piel y del calzado, y que se han determinado suponiendo que la resistencia del cuerpo humano es de 1000 ohmios, y asimilando cada pie a un electrodo en forma de placa de 200 centímetros cuadrados de superficie, ejerciendo sobre el suelo una fuerza mínima de 250
N, lo que representa una resistencia de contacto con el suelo evaluada en función de la resistividad superficial Si son de prever contactos del cuerpo humano con partes metálicas no activas que puedan ponerse a distinto potencial, se aplicará la fórmula (3) de la tensión de contacto haciendo .
El proyectista de la instalación de tierra deberá comprobar mediante el empleo de un procedimiento de cálculo sancionado por la práctica que los valores de las tensiones de paso V'p, y de contacto, V'C, que calcule para la instalación proyectada en función de la geometría de la misma, de la corriente de puesta a tierra que considere y de la resistividad correspondiente al terreno, no superen en las condiciones más desfavorables las calculadas por las fórmulas (2) y (3) en ninguna zona del terreno afectada por la instalación de tierra.
1.2 Prescripciones en relación con el dimensionado.
El dimensionado de las instalaciones se hará de forma que no se produzcan calentamientos que puedan deteriorar sus características o aflojar elementos desmontables.
El dimensionado de la instalación de tierra es función de la intensidad que, en caso de defecto, circula a través de la parte afectada de la instalación de tierra y del tiempo de duración del defecto.
En las instalaciones con redes de tensiones nominales distintas y una instalación de tierra común, debe cumplirse lo anterior para cada red. Podrán no tomarse en consideración defectos simultáneos en varias redes.
Lo indicado anteriormente, en este punto 1.2, no se aplica a las puestas a tierra provisionales de los lugares de trabajo.
Los electrodos y demás elementos metálicos llevarán las protecciones precisas para evitar corrosiones peligrosas durante la vida de la instalación.
Se tendrán en cuenta las variaciones posibles de las características del suelo en épocas secas y después de haber sufrido corrientes de defecto elevadas.
Al efecto se dan instrucciones en los apartados que siguen sobre la forma de determinar las dimensiones, fijando en ciertos casos valores mínimos.
2. PROYECTO DE INSTALACIONES DE PUESTA A TIERRA.
2.1 Procedimiento.
Teniendo en cuenta las tensiones aplicadas máximas establecidas en el apartado 1.1, al proyectar una instalación de tierras se seguirá el procedimiento que sigue:
Después de construida la instalación de tierra, se harán las comprobaciones y verificaciones precisas in situ, tal como se indica en el apartado 8.1, y se efectuarán los cambios necesarios que permitan alcanzar valores de tensión aplicada inferiores o iguales a los máximos admitidos.
2.2 Condiciones difíciles de puesta a tierra.
Cuando por los valores de la resistividad del terreno, de la corriente de puesta a tierra o del tiempo de eliminación de la falta, no sea posible técnicamente, o resulte económicamente desproporcionado mantener los valores de las tensiones aplicadas de paso y contacto dentro de los límites fijados en los apartados anteriores, deberá recurrirse al empleo de medidas adicionales de seguridad a fin de reducir los riesgos a las personas y los bienes.
Tales medidas podrán ser entre otras:
a) Hacer inaccesibles las zonas peligrosas.
b) Disponer suelos o pavimentos que aíslen suficientemente de tierra las zonas de servicio peligrosas.
c) Aislar todas las empuñaduras o mandos que hayan de ser tocados.
d) Establecer conexiones equipotenciales entre la zona donde se realice el servicio y todos los elementos conductores accesibles desde la misma.
e) Aislar los conductores de tierra a su entrada en el terreno.
Se dispondrá el suficiente número de rótulos avisadores con instrucciones adecuadas en las zonas peligrosas y existirá a disposición del personal de servicio, medios de protección tales como calzado aislante, guantes, banquetas o alfombrillas aislantes.
3. ELEMENTOS DE LAS INSTALACIONES DE PUESTA A TIERRA Y CONDICIONES DE MONTAJE.
Las instalaciones de puesta a tierra estarán constituidas por uno o varios electrodos enterrados y por las líneas de tierra que conecten dichos electrodos a los elementos que deban quedar puestos a tierra.
En las líneas de tierra deberán existir los suficientes puntos de puesta a tierra, que faciliten las medidas de comprobaciones del estado de los electrodos y la conexión a tierra de la instalación.
Para la puesta a tierra se podrán utilizar en ciertos casos, previa justificación:
a) Las canalizaciones metálicas.
b) Los blindajes de cables.
c) Los elementos metálicos de fundaciones, salvo las armaduras pretensadas del hormigón.
3.1 Líneas de tierra.
Los conductores empleados en las líneas de tierra tendrán una resistencia mecánica adecuada y ofrecerán una elevada resistencia a la corrosión.
Su sección será tal, que la máxima corriente que circule por ellos en caso de defecto o de descarga atmosférica no lleve a estos conductores a una temperatura cercana a la de fusión, ni ponga en peligro sus empalmes y conexiones.
A efectos de dimensionado de las secciones, el tiempo mínimo a considerar para duración del defecto a la frecuencia de la red será de un segundo, y no podrán superarse las siguientes densidades de corriente:
Cobre--160 A/mm
Acero--60 A/mm
Sin embargo, en ningún caso se admitirán secciones inferiores a 25 mm en el caso de cobre y 50 mm en el caso del acero.
Los anteriores valores corresponden a una temperatura final de 200 C. Puede admitirse un aumento de esta temperatura hasta 300 C si no supone riesgo de incendio, lo que equivale a dividir por 1,2 las secciones determinadas de acuerdo con lo dicho anteriormente, respetándose los valores mínimos señalados.
Cuando se empleen materiales diferentes de los indicados, se cuidará:
a) Que las temperaturas no sobrepasen los valores indicados en el párrafo anterior.
b) Que la sección sea como mínimo equivalente, desde el punto de vista térmico, a la de cobre que hubiera sido precisa.
c) Que desde el punto de vista mecánico, su resistencia sea, al menos, equivalente a la del cobre de 25 mm.
Cuando los tiempos de duración del defecto sean superiores a un segundo, se calcularán y justificará las secciones adoptadas en función del calor producido y su disipación.
Podrán usarse como conductores de tierra las estructuras de acero de apoyo de los elementos de la instalación, siempre que cumplan las características generales exigidas a los conductores y a su instalación.
3.2 Instalación de líneas de tierra.
Los conductores de las líneas de tierra deben instalarse procurando que su recorrido sea lo más corto posible, evitando trazados tortuosos y curvas de poco radio. Con carácter general se recomienda que sean conductores desnudos instalados al exterior de forma visible.
En el caso de que fuese conveniente realizar la instalación cubierta, deberá serlo de forma que pueda comprobarse el mantenimiento de sus características.
En las líneas de tierra no podrán insertarse fusibles ni interruptores.
Los empalmes y uniones deberán realizarse con medios de unión apropiados, que aseguren la permanencia de la unión, no experimenten al paso de la corriente calentamientos superiores a los del conductor, y estén protegidos contra la corrosión galvánica.
3.3 Electrodos de puesta a tierra.
Los electrodos de puesta a tierra estarán formados por materiales metálicos en forma de varillas, cables, chapas, perfiles, que presenten una resistencia elevada a la corrosión por sí mismos, o mediante una protección adicional, tales como el cobre o el acero debidamente protegido, en cuyo caso se tendrá especial cuidado de no dañar el recubrimiento de protección durante el hincado.
Si se utilizasen otros materiales habrá de justificarse su empleo.
Los electrodos podrán disponerse de las siguientes formas:
a) Picas hincadas en el terreno, constituidas por tubos, barras y otros perfiles, que podrán estar formados por elementos empalmables.
b) Varillas, barras o cables enterrados, dispuestos en forma radial, mallada, anular.
c) Placas o chapas enterradas.
3.4 Dimensiones mínimas de los electrodos de puesta a tierra.
a) Las dimensiones de las picas se ajustarán a las especificaciones siguientes:
b) Los conductores enterrados, sean de varilla, cable o pletina, deberán tener una sección mínima de 50 mm los de cobre, y 100 mm los de acero. El espesor mínimo de las pletinas y el diámetro mínimo de los alambres de los cables no será inferior a 2 mm los de cobre, y 3 mm los de acero.
c) Las placas o chapas tendrán un espesor mínimo de 2 mm los de cobre, y 3 mm las de acero.
d) En el caso de suelos en los que pueda producirse una corrosión particularmente importante, deberán aumentarse los anteriores valores.
e) Para el cálculo de la sección de los electrodos se remite a lo indicado en el apartado 3.1.
3.5 Instalación de electrodos.
En la elección del tipo de electrodos, así como de su forma de colocación y de su emplazamiento, se tendrán presentes las características generales de la instalación eléctrica, del terreno, el riesgo potencial para las personas y los bienes.
Se procurará utilizar las capas de tierra más conductoras, haciéndose la colocación de electrodos con el mayor cuidado posible en cuanto a la compactación del terreno.
Se deberá tener presente la influencia de las heladas para determinar la profundidad de la instalación.
4. CARACTERÍSTICAS DEL SUELO Y DE LOS ELECTRODOS QUE DEBEN TENERSE EN CUENTA EN LOS CÁLCULOS.
4.1 Resistividad del terreno.
En el apartado 2 de esta Instrucción se indica la necesidad de investigar las características del terreno, para realizar el proyecto de una instalación de tierra. Sin embargo, en las instalaciones de tercera categoría y de intensidad de cortocircuito a tierra inferior o igual a 16 kA no será imprescindible realizar la citada investigación previa de la resistividad del suelo, bastando el examen visual del terreno, pudiéndose estimar su resistividad por medio de la tabla 1 siguiente, en las que se dan unos valores orientativos:
TABLA 1
|
NATURALEZA DEL TERRENO |
RESISTIVIDAD EN OHMIOS METRO |
|
Terrenos pantanosos |
de algunas unidades a 30 20 a 100 10 a 150 5 a 100 50 100 a 200 30 a 40 50 a 500 200 a 3000 300 a 500 1500 a 3000 100 a 300 1000 a 5000 500 a 1000 50 a 300 800 1500 a 10000 100 a 600 2000 a 3000 3000 a 5000 |
4.2 Resistencia de tierra del electrodo.
La resistencia de tierra del electrodo, que depende de su forma y dimensiones y de la resistividad del suelo, se calculará por las fórmulas contenidas en la tabla 2 que sigue:
TABLA 2
|
TIPO DE ELECTRODO |
RESISTENCIA EN OHMIOS |
|
Placa enterrada profunda - |
|
|
Placa enterrada superficial - |
|
|
Pica vertical - |
|
|
Conductor enterrado horizontalmente - |
|
|
Malla de tierra - |
|
siendo:
R = resistencia de tierra del electrodo en ohmios.
= resistividad del terreno de ohmios.metro.
P = perímetro de la placa en metros.
L = longitud en metros de la pica o del conductor, y en malla la longitud total de los conductores enterrados.
r = radio en metros de un círculo de la misma superficie que el área cubierta por la malla.
4.3 Efecto de la humedad.
Cuando la humedad del terreno varíe considerablemente de unas épocas del año a otras se tendrá en cuenta esta circunstancia al dimensionar y establecer el sistema de tierra. Se podrán usar recubrimientos de gravas como ayuda para conservar la humedad del suelo.
4.4 Efecto de la temperatura.
Al alcanzar el suelo temperaturas inferiores a 0 C aumenta mucho su resistividad. Por ello en zonas con peligro de heladas los electrodos se enterrarán a una profundidad que no alcance esa temperatura o se tendrá en cuenta esta circunstancia en el cálculo.
5. DETERMINACIÓN DE LAS INTENSIDADES DE DEFECTO PARA EL CÁLCULO DE LAS TENSIONES DE PASO Y CONTACTO.
El proyectista deberá tener en cuenta los posibles tipos de defectos a tierra y las intensidades máximas en los distintos niveles de tensiones existentes en la instalación y tomará el valor más desfavorable.
Para el cálculo de las intensidades de defecto y de puesta a tierra, se ha de tener en cuenta la forma de conexión del neutro a tierra, así como la configuración y características de la red durante el período subtransitorio.
En el caso de red con neutro a tierra, bien rígido o a través de una impedancia, se considerará a efectos del cálculo de la tensión aplicad de contacto o paso, la intensidad de la corriente de puesta a tierra (IE) que provoca la elevación del potencial de la instalación a tierra. En instalaciones de 100 kV o superior con neutro rígido a tierra, se utilizará el 70 % del valor de IE, al tener en cuenta la escasa probabilidad de coincidencia de las condiciones más desfavorables.
En el caso de red con neutro aislado, la intensidad que se considera para el cálculo de la tensión aplicada de contacto o paso será el producto de la intensidad capacitiva de defecto a tierra (Ic) por un factor de reducción (K) igual a la relación entre la intensidad de la corriente que contribuye a la elevación del potencial de la instalación de tierra y la homopolar del sistema hacia la falta.
Lo anteriormente expuesto se indica en la tabla siguiente:
TABLA 3
INTENSIDADES DE DEFECTO PARA EL CÁLCULO
|
TIPO DE CONEXIÓN DEL NEUTRO |
CORRIENTE UTILIZABLE PARA EL CÁLCULO DE LAS TENSIONES DE PASO Y CONTACTO . |
|
Aislado |
K.Ic |
|
A través de impedancia |
IE |
|
Rígido a ) Untierra ) Un |
IE |
6. INSTRUCCIONES GENERALES DE PUESTA A TIERRA.
6.1 Puestas a tierra de protección.
Se pondrán a tierra las partes metálicas de una instalación que no estén en tensión normalmente pero que puedan estarlo a consecuencia de averías, accidentes, descargas atmosféricas o sobretensiones.
Salvo las excepciones señaladas en los apartados que se citan, se pondrán a tierra los siguientes elementos:
a) Los chasis y bastidores de aparatos de maniobra.
b) Los envolventes de los conjuntos de armarios metálicos. (Ver apartado 7.3.)
c) Las puertas metálicas de los locales. (Ver apartado 7.4.)
d) Las vallas y cercas metálicas. (Ver apartado 7.6.)
e) Las columnas, soportes, pórticos, etc.
f) Las estructuras y armaduras metálicas de los edificios que contengan instalaciones de alta tensión. (Ver apartado 7.5.)
g) Los blindajes metálicos de los cables. (Ver apartado 7.5.)
h) Las tuberías y conductos metálicos. (Ver apartado 7.5.)
i) Las carcasas de transformadores, generadores, motores y otras máquinas.
j) Hilos de guarda o cables de tierra de las líneas aéreas.
6.2 Puestas a tierra de servicio.
Se conectarán a tierra los elementos de la instalación necesarios y entre ellos:
a) Los neutros de los transformadores, que lo precisan en instalaciones o redes con neutro a tierra de forma directa o a través de resistencias o bobinas.
b) El neutro de los alternadores y otros aparatos o equipos que lo precisen.
c) Los circuitos de baja tensión de los transformadores de medida.
d) Los limitadores, descargadores, autoválvulas, pararrayos, para eliminación de sobretensiones o descargas atmosféricas.
e) Los elementos de derivación a tierra de los seccionadores de puesta a tierra.
6.3 Interconexión de las instalaciones de tierra.
Las puestas a tierra de protección y de servicio de una instalación deberán interconectarse, constituyendo una instalación de tierra general.
Excepcionalmente, de esta regla general deben excluirse aquellas puestas a tierra a causa de las cuales puedan presentarse en algún punto tensiones peligrosas para las personas, bienes o instalaciones eléctricas.
En este sentido se preverán tierras separadas, entre otros, en los casos siguientes:
En las instalaciones en las que coexistan instalaciones de tierra separadas o independientes, se tomarán medidas para evitar el contacto simultáneo inadvertido con elementos conectados a instalaciones de tierra diferentes, así como la transferencia de tensiones peligrosas de una a otra instalación.
7. DISPOSICIONES PARTICULARES DE PUESTA A TIERRA.
En la puesta a tierra de los elementos que a continuación se indican, es preciso tener en cuenta las siguientes disposiciones:
7.1 Descargadores de sobretensiones.
La puesta a tierra de los dispositivos utilizados como descargadores de sobretensiones se conectará a la puesta a tierra del aparato o aparatos que protejan. Estas conexiones deben realizarse procurando que su recorrido sea mínimo y sin cambios bruscos de dirección.
La resistencia de puesta a tierra asegurará, en cualquier caso, que para las intensidades de descarga previstas, las tensiones a tierra de estos dispositivos no alcancen valores que puedan ser origen de tensiones de retorno o transferidas de carácter peligroso para otras instalaciones o aparatos igualmente puestos a tierra.
Los conductores empleados para la puesta a tierra del descargador o descargadores de sobretensiones no serán de acero, ni se dispondrán sobre ellos cintas ni tubos de protección de material magnético.
7.2 Seccionadores de puesta a tierra.
En las instalaciones en las que existan líneas aéreas de salida no equipadas con cable a tierra, pero equipadas con seccionadores de puesta a tierra conectados a la tierra general, deberán adoptarse las precauciones necesarias para evitar la posible transferencia a la línea de tensiones de contacto peligrosas durante los trabajos de mantenimiento en la misma.
7.3 Conjuntos protegidos por envolvente metálica.
En los conjuntos protegidos por envolvente metálica deberá existir una línea de tierra común para la puesta a tierra de la envolvente, dispuesta a lo largo de toda la aparamenta. La sección mínima de dicha línea de tierra será de 35 mm², si es de cobre, y para otros materiales tendrá la sección equivalente de acuerdo con lo dictado en la presente Instrucción. (Ver apartado 3.1.)
Las envolventes externas de cada celda se conectarán a la línea de tierra común, como asimismo se hará con todas las partes metálicas que no formen parte de un circuito principal o auxiliar que deban ser puestas a tierra.
A efectos de conexión a tierra de las armaduras internas, tabiques de separación de celdas, etc., se considera suficiente para la continuidad eléctrica, su conexión por tornillos o soldadura. Igualmente las puertas de los compartimentos de alta tensión deberán unirse a la envolvente de forma apropiada.
Las piezas metálicas de las partes extraíbles que están normalmente puestas a tierra, deben mantenerse puestas a tierra mientras el aislamiento entre los contactos de un mismo polo no sea superior, tanto a frecuencia industrial como a onda de choque, al aislamiento a tierra o entre polos diferentes. Estas puestas a tierra deberán producirse automáticamente.
7.4 Elementos de la construcción.
Los elementos metálicos de la construcción en edificaciones que alberguen instalaciones de alta tensión, deberán conectarse a tierra de acuerdo con las siguientes normas:
En los edificios de estructura metálica los elementos metálicos de la estructura deberán ser conectados a tierra. En estas construcciones, los restantes elementos metálicos como puertas, ventanas, escaleras, barandillas, tapas y registros, etc., así como las armaduras en edificios de hormigón armado, deberán ser puestas a tierra cuando pudieran ser accesibles y ponerse en tensión por causa de defectos o averías.
Cuando la construcción estuviera realizada con materiales, tales como hormigón en masa, ladrillo o mampostería, no es necesario conectar a tierra los elementos metálicos anteriormente citados, más que cuando pudieran ponerse en tensión por causa de defecto o averías, y además pudieran ser alcanzados por personas situadas en el exterior de los recintos de servicio eléctrico.
7.5 Elementos metálicos que salen fuera de la instalación.
Los elementos metálicos que salen fuera del recinto de la instalación, tales como raíles y tuberías, deben estar conectados a la instalación de tierra general en varios puntos si su extensión es grande.
Será necesario comprobar si estos elementos pueden transferir al exterior tensiones peligrosas, en cuyo caso deben adoptarse las medidas necesarias para evitarlo mediante juntas aislantes, u otras medidas, si fuera necesario.
7.6 Vallas y cercas metálicas.
Para su puesta a tierra pueden adoptarse diversas soluciones en función de las dimensiones de la instalación y características del terreno:
a) Pueden ser incluidas dentro de la instalación de tierra general y ser conectadas a ellas.
b) Pueden situarse distantes de la instalación de tierra general y conectarse a una instalación de tierra separada o independiente.
c) Pueden situarse distantes de la instalación de tierra general y no necesitar instalación de tierra para mantener los valores fijados para las tensiones de paso y contacto.
7.7 Centros de transformación
7.7.1 Separación de la tierra de los neutros.
Para evitar tensiones peligrosas provocadas por defectos en la red de alta tensión, los neutros de baja tensión de las líneas que salen fuera de la instalación general, pueden conectarse a una tierra separada.
7.7.2 Aislamiento entre las instalaciones de tierra.
Cuando, de acuerdo con lo dicho en el apartado anterior, se conecten los neutros de baja tensión a una tierra separada de la tierra general del centro, se cumplirán las siguientes prescripciones:
a) Las instalaciones de tierra deberán aislarse entre sí para la diferencia de tensiones que pueda aparecer entre ambas.
b) El conductor de conexión entre el neutro de baja tensión del transformador y su electrodo de tierra ha de quedar aislado dentro de la zona de influencia de la tierra general. Dicha conexión podrá realizarse conectando al electrodo directamente, un punto del conductor neutro y estableciendo los aislamientos necesarios.
c) Las instalaciones de baja tensión en el interior de los centros de transformación poseerán, con respecto a tierra, un aislamiento correspondiente a la tensión señalada en el punto a).
En el caso de que el aislamiento propio del equipo de baja tensión alcance este valor, todos los elementos conductores del mismo que deban ponerse a tierra como canalizaciones, armazón de cuadros, carcasas de aparatos, etc., se conectarán a la tierra general del centro, uniéndose a la tierra separada solamente los neutros de baja tensión.
Cuando el equipo de baja tensión no presente el aislamiento indicado anteriormente, los elementos conductores del mismo que deban conectarse a tierra, como canalizaciones, armazón de cuadros, carcasas de aparatos, etc., deberán montarse sobre aisladores de un nivel de aislamiento correspondiente a la tensión señalada en el punto a). En este caso, dichos elementos conductores se conectarán a la tierra del neutro de baja tensión, teniendo entonces especial cuidado con las tensiones de contacto que puedan aparecer.
d) Las líneas de salida de baja tensión deberán aislarse dentro de la zona de influencia de la tierra general teniendo en cuenta las tensiones señaladas en el punto a).
Cuando las líneas de salida sean en cable aislado con envolventes conductoras, deberán tenerse en cuenta la posible transferencia al exterior de tensiones a través de dichas envolventes.
7.7.3 Redes de baja tensión con neutro aislado.
Cuando en la parte de baja tensión el neutro del transformador esté aislado o conectado a tierra por una impedancia de alto valor, se dispondrá limitador de tensión entre dicho neutro y tierra o entre una fase y tierra, si el neutro no es accesible.
7.7.4 Centros de transformación conectados a redes de cables subterráneos.
En los centros de transformación alimentados en alta tensión por cables subterráneos provistos de envolventes conductoras unidas eléctricamente entre sí, se conectarán todas las tierras en una tierra general en los dos casos siguientes:
a) Cuando la alimentación en alta tensión forma parte de una red de cables subterráneos con envolventes conductoras, de suficiente conductividad.
b) Cuando la alimentación en alta tensión forma parte de una red mixta de líneas aéreas y cables subterráneos con envolventes conductoras, y en ella existen dos o más tramos de cable subterráneo con una longitud total mínima de 3 km con trazados diferentes y con una longitud cada uno de ellos de más de 1 km
En las instalaciones conectadas a redes constituidas por cables subterráneos con envolventes conductoras de suficiente sección, se pueden utilizar como electrodos de tierra dichas envolventes, incluso sin la adición de otros electrodos de tierra.
8. MEDIDAS Y VIGILANCIA DE LAS INSTALACIONES DE PUESTA A TIERRA.
8.1 Mediciones de las tensiones de paso y contacto aplicadas.
El Director de Obra deberá verificar que las tensiones de paso y contacto aplicadas están dentro de los límites admitidos con un voltímetro de resistencia interna de mil ohmios.
Los electrodos de medida para simulación de los pies deberán tener una superficie de 200 cm² cada uno y deberán ejercer sobre el suelo una fuerza mínima de 250 N cada uno.
Se emplearán fuentes de alimentación de potencia adecuada para simular el defecto, de forma que la corriente inyectada sea suficientemente alta, a fin de evitar que las medidas queden falseadas como consecuencia de corrientes vagabundas o parásitas circulantes por el terreno.
Consecuentemente, y a menos que se emplee un método de ensayo que elimine el efecto de dichas corrientes parásitas, por ejemplo, método de inversión de la polaridad, se procurará que la intensidad inyectada sea del orden del 1 por 100 de la corriente para la cual ha sido dimensionada la instalación y en cualquier caso no inferior a 50 A para centrales y subestaciones y 5 A para centros de transformación.
Los cálculos se harán suponiendo que existe proporcionalidad para determinar las tensiones posibles máximas.
Para instalaciones de tercera categoría que respondan a configuraciones tipo, como es el caso de la mayoría de los centros de transformación, el Órgano territorial competente podrá admitir que se omita la realización de las anteriores mediciones, sustituyéndolas por la correspondiente a la resistencia de puesta a tierra, si se ha establecido la correlación, sancionada por la práctica, en situaciones análogas, entre tensiones de paso y contacto y resistencia de puesta a tierra.
8.2 Vigilancia periódica.
Las instalaciones de tierra serán revisadas, al menos, una vez cada tres años a fin de comprobar el estado de las mismas.