CAPÍTULO SEXTO
Guías, amortiguadores y finales de recorrido
Guiado del camarín y del contrapeso
Artículo 79.
I. El guiado del camarín y del contrapeso ha de realizarse mediante guías metálicas y rígidas.
Para las guías del camarín se emplearán los perfiles normales de las acerías, los redondos de acero calibrado macizo o las guías en T macizas y especiales para ascensores.
II. Pueden igualmente ser utilizados para el guiado de los contrapesos cables-guía con las siguientes limitaciones:
|
Altura máxima del recinto |
25 m |
|
Velocidad máxima |
1m/s |
|
Carga nominal (útil ) máxima |
500 kg. |
|
Diámetro mínimo de los cables- guías |
8 mm. |
|
Carga mínima de rotura de los cables- guías |
70 kg/mm2 |
|
Número mínimo de los cables-guías. |
2 |
III. Cuando el guiado del contrapeso quede asegurado por cables-guías, la instalación ha de realizarse de forma que se evite cualquier contacto entre el contrapeso por una parte y el recinto por otra.
Cada cable- guía debe mantenerse tensado.
Características de las guías
Artículo 80.
I. La resistencia de las guías, de sus fijaciones y de los medios que unen sus elementos, serán suficientes para permitirles soportar los esfuerzos resultantes de la actuación del paracaídas. En el Anexo I se indica la forma de calcular estos esfuerzos.
Igualmente las guías y sus soportes deberán resistir las flexiones debidas a la excentricidad de la carga; en este caso, las flechas que se produzcan en las guías deben ser menores o, como máximo, iguales a 0,003 m. ( tres milímetros ).
II. La fijación de las guías a sus soportes y al edificio debe permitir la compensación automática, o por medio de simple reglaje sin otros trabajos, de los efectos debidos al asiento normal del edificio y a la contracción del hormigón.
III. La tolerancia máxima en el paralelismo de las guías será de 5 milímetros, cualquiera que sea el recorrido del ascensor.
Amortiguadores y topes
Artículo 81.
I. Los ascensores han de estar provistos en la extremidad inferior del recorrido del camarín de:
a) Uno o varios topes elásticos cuando la velocidad no sobrepase los 0,60 metros/segundo, o
b) Uno o varios topes de resorte cuando la velocidad no sobrepase 1,75 metros/segundo, o
c) Uno o varios amortiguadores hidraúlicos en cualquier caso
II. Los montacargas han de estar provistos en la extremidad inferior del recorrido del camarín de uno o varios topes elásticos.
III. Lo prescrito en el apartado I y II es aplicable el extremo inferior del recorrido del contrapeso.
Carrera de topes y amortiguadores
Artículo 82. En los ascensores la carrera de los topes y amortiguadores expresada en metros, ha de ser, como mínimo, igual a 0,070 V2 (expresando la velocidad en metros/segundo).
Cuando se empleen amortiguadores hidraúlicos, la deceleración máxima ha de ser inferior a 2,5 g. en el caso de que el camarín esté ocupado por una sola persona.
Dispositivo de parada en los niveles extremos servidos
Artículo 83. La detención del camarín en las paradas extremas servidas ha de efectuarse automáticamente.
La parada ha de ser obtenida mediante apertura de los contactos dispuestos en forma que el accionamiento del dispositivo implique obligatoriamente la separación de aquellos, aun por arranque si fuese necesario.
Dispositivo de seguridad de final de recorrido
Artículo 84.
I . Además de los dispositivos de paro antedichos, han de instalarse dispositivos de seguridad de final de recorrido que cumplan las mismas condiciones establecidas en el párrafo segundo del artículo anterior.
II. En los aparatos elevadores con tambor de arrollamientos, estos dispositivos accionados mecánicamente por el camarín o el contrapeso, deben cortar directamente los circuitos de alimentación de la maniobra, incluso cuando ésta provenga accidentalmente del motor.
Estos dispositivos han de estar regulados cuando el camarín haya alcanzado una zona comprendida entre los 0,08 metros (8 centímetros ) y 0,16 metros ( 16 centímetros ) más allá del nivel extremo servido.
En el caso que incidentalmente el motor pueda alimentar las bobinas de freno deberá igualmente interrumpirse esta alimentación.
III. En los aparatos elevadores de adherencia, los dispositivos de seguridad de final de recorrido han de ser análogos a los indicados en el apartado anterior, y será obligatorio que la actuación de ellos sea simultánea o anterior al contacto de las placas de apoyo con los amortiguadores o topes.
Dispositivo de parada para recintos no cerrados
Artículo 85.
I. Los aparatos elevadores instalados en recintos que no estén completamente cerrados irán provistos de un salvavidas que cubra toda la parte inferior del camarín, el cual debe determinar su paro al tropezar con un obstáculo cualquiera que produzca sobre dicho salvavidas una presión de cuatro o más kilos.
II. En el caso de tratarse de aparatos elevadores con tambor de arrollamientos han de tener un dispositivo de aflojamiento de cables o de cadenas que corten la corriente y provoquen el paro del aparato si el camarín o contrapeso encuentran un obstáculo durante un movimiento de descenso.
ANEXO I
Evaluación de los esfuerzos y coeficiente de trabajo en las guías, así como de las reacciones en el fondo del foso
1.º Fuerzas como consecuencia de la acción del paracaídas.
La fuerza en Newtons, sobre cada guía, como consecuencia de la actuación del paracaídas, se calculará aplicando los siguientes valores.
Paracaídas de acción instantánea, con cuñas......
Paracaídas de acción instantánea, con rodillos....
15 ( P + Q )Paracaídas de acción progresiva ..................…....
10 ( P+ Q )siendo:
P = Peso muerto del lado de cabina en kilogramos.
Q = Carga nominal en kilogramos.
2.º Determinación del coeficiente de trabajos de las guías como consecuencia de la actuación del paracaídas.
El esfuerzo sobre cada guía, en el momento de actuación del paracaídas, se calculará mediante las fórmulas siguientes:
|
Paracaídas de acción instantánea........... |
|
|
Paracaídas con rodillos ............................. |
|
|
aracaídas progresivos .............................. |
|
no debe pasar de (interpolando para valores intermedios ):
140 N/mm2 para acero de 370 N/mm2.
10 N/mm2 para acero de 520 N/mm2.
P = Es la suma de la masa de la cabina vacía y las masas de las ramas de cable de maniobra y elementos de compensación suspendidos de la cabina en kilogramos
Q = Carga nominal en kilogramos.
A = Sección de la guía en milímetros cuadrados.
= Está incluida en función de en las tablas que figuran a continuación:
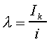
En las tablas anteriores el valor de se calcula por la fórmula:
Ik = Máxima distancia entre fijaciones de guías (anclajes) en milímetros.
i = Radio de giro en milímetros.
3.º Reacciones en el fondo del foso debidas a la actuación del paracaídas o acción de los amortiguadores.
Las reacciones, en Newtons, se valorarán del modo siguiente:
Bajo cada guía: Diez veces la masa de la guía, en kilogramos, aumentando en la reacción, en Newtons, debida a la actuación del paracaídas sobre esa guía ( si las guías están suspendidas, se aplican estos valores al punto de anclaje de la guía a la estructura ).
Bajo el soporte de un grupo de los amortiguadores: Cuarenta veces, la masa del contrapeso o la masa total de la cabina cargada, ambos en kilogramos.
VALORES DE Acero 370 N/mm2
|
|
0 |
1 |
2 |
3 |
4 |
5 |
6 |
7 |
8 |
9 |
|
|
20 |
1,04 |
1,04 |
1,04 |
1,05 |
1,05 |
1,06 |
1,06 |
1,07 |
1,07 |
1,08 |
20 |
|
30 |
1,08 |
1,08 |
1,08 |
1,10 |
1,10 |
1,11 |
1,11 |
1,12 |
1,13 |
1,13 |
30 |
|
40 |
1,14 |
1,14 |
1,15 |
1,16 |
1,16 |
1,17 |
1,18 |
1,19 |
1,19 |
1,20 |
40 |
|
50 |
1,21 |
1,22 |
1,23 |
1,23 |
1,24 |
1,25 |
1,26 |
1,27 |
1,28 |
1,29 |
50 |
|
60 |
1,30 |
1,31 |
1,32 |
1,33 |
1,34 |
1,35 |
1,36 |
1,37 |
1,39 |
1,40 |
60 |
|
70 |
1,41 |
1,42 |
1,44 |
1,45 |
1,46 |
1,48 |
1,49 |
1,50 |
1,52 |
1,53 |
70 |
|
80 |
1,55 |
1,56 |
1,58 |
1,59 |
1,61 |
1,62 |
1,64 |
1,66 |
1,68 |
1,69 |
80 |
|
90 |
1,71 |
1,73 |
1,74 |
1,76 |
1,78 |
1,80 |
1,82 |
1,84 |
1,86 |
1,88 |
90 |
|
100 |
1,90 |
1,92 |
1,94 |
1,96 |
1,98 |
2,00 |
2,02 |
2,05 |
2,07 |
2,09 |
100 |
|
110 |
2,11 |
2,14 |
2,16 |
2,18 |
2,21 |
2,23 |
2,27 |
2,31 |
2,35 |
2,39 |
110 |
|
120 |
2,43 |
2,47 |
2,51 |
2,55 |
2,60 |
2,64 |
2,68 |
2,72 |
2,77 |
2,81 |
120 |
|
130 |
2,85 |
2,90 |
2,94 |
2,99 |
3,03 |
3,08 |
3,12 |
3,17 |
3,22 |
3,26 |
130 |
|
140 |
3,31 |
3,36 |
3,41 |
3,45 |
3,50 |
3,55 |
3,60 |
3,65 |
3,70 |
3,75 |
140 |
|
150 |
3,80 |
3,83 |
3,90 |
3,95 |
4,00 |
4,06 |
4,11 |
4,16 |
4,22 |
4,27 |
150 |
|
160 |
4,32 |
4,38 |
4,43 |
4,49 |
4,54 |
4,60 |
4,65 |
4,71 |
4,77 |
4,82 |
160 |
|
170 |
4,88 |
4,94 |
5,00 |
5,05 |
5,11 |
5,17 |
5,23 |
5,29 |
5,35 |
5,41 |
170 |
|
180 |
5,47 |
5,53 |
5,59 |
5,66 |
5,72 |
5,78 |
5,84 |
5,91 |
5,97 |
6,03 |
180 |
|
190 |
6,10 |
6,16 |
6,23 |
6,29 |
6,36 |
6,42 |
6,49 |
6,55 |
6,62 |
6,69 |
190 |
|
200 |
6,75 |
6,82 |
6,89 |
6,96 |
7,03 |
7,10 |
7,17 |
7,24 |
7,31 |
7,38 |
200 |
|
210 |
7,45 |
7,52 |
7,59 |
7,66 |
7,73 |
7,81 |
7,88 |
7,95 |
8,03 |
8,10 |
210 |
|
220 |
8,17 |
8,25 |
8,32 |
8,40 |
8,47 |
8,55 |
8,63 |
8,70 |
8,78 |
8,96 |
220 |
|
230 |
8,93 |
9,01 |
9,09 |
9,17 |
9,25 |
9,32 |
9,41 |
9,49 |
9,57 |
9,65 |
230 |
|
240 |
9,73 |
9,81 |
9,89 |
9,97 |
10,05 |
10,14 |
10,22 |
10,30 |
10,39 |
10,47 |
240 |
|
250 |
10,55 |
|
|
|
|
|
|
|
|
|
|
Para calidades de acero de resistencia intermedia determinar el valor de para interpolación lineal Acero 520 N/mm2
|
|
0 |
1 |
2 |
3 |
4 |
5 |
6 |
7 |
8 |
9 |
|
|
20 |
1,06 |
1,06 |
1,07 |
1,07 |
1,08 |
1,08 |
1,09 |
1,09 |
1,10 |
1,11 |
20 |
|
30 |
1,11 |
1,12 |
1,12 |
1,13 |
,14 |
1,15 |
1,15 |
1,16 |
1,17 |
1,18 |
30 |
|
40 |
1,19 |
1,19 |
1,20 |
1,21 |
1,22 |
1,23 |
1,24 |
1,25 |
1,26 |
1,27 |
40 |
|
50 |
1,28 |
1,30 |
1,31 |
1,32 |
1,33 |
1,35 |
1,36 |
1,37 |
1,39 |
1,40 |
50 |
|
60 |
1,41 |
1,43 |
1,44 |
1,46 |
1,48 |
1,49 |
1,51 |
1,53 |
1,54 |
1,56 |
60 |
|
70 |
1,58 |
1,60 |
1,62 |
1,64 |
1,66 |
1,68 |
1,70 |
1,72 |
1,74 |
1,77 |
70 |
|
80 |
1,79 |
1,81 |
1,83 |
1,88 |
1,88 |
1,91 |
1,93 |
1,95 |
1,98 |
2,01 |
80 |
|
90 |
2,05 |
2,10 |
2,14 |
2,19 |
2,24 |
2,29 |
2,33 |
2,38 |
2,43 |
2,48 |
90 |
|
100 |
2,53 |
2,58 |
2,64 |
2,69 |
2,74 |
2,79 |
2,86 |
2,90 |
2,95 |
3,01 |
100 |
|
110 |
3,06 |
3,12 |
3,18 |
3,23 |
3,29 |
3,35 |
3,41 |
3,47 |
3,53 |
3,59 |
110 |
|
120 |
3,65 |
3,71 |
3,77 |
3,83 |
3,89 |
3,96 |
4,02 |
4,09 |
4,15 |
4,22 |
120 |
|
130 |
4,28 |
4,35 |
4,41 |
4,48 |
4,55 |
4,62 |
4,69 |
4,75 |
4,82 |
4,89 |
130 |
|
140 |
4,96 |
5,04 |
5,11 |
5,18 |
5,25 |
5,33 |
5,40 |
5,47 |
5,55 |
5,62 |
140 |
|
150 |
5,70 |
5,78 |
5,85 |
5,93 |
6,01 |
6,09 |
6,16 |
6,24 |
6,32 |
6,40 |
150 |
|
160 |
6,48 |
6,57 |
6,65 |
6,73 |
6,81 |
6,90 |
6,98 |
7,06 |
7,15 |
7,23 |
160 |
|
170 |
7,32 |
7,41 |
7,49 |
7,58 |
7,67 |
7,76 |
7,85 |
7,94 |
8,03 |
8,12 |
170 |
|
180 |
8,21 |
8,30 |
8,39 |
8,48 |
8,58 |
8,67 |
8,76 |
8,86 |
8,95 |
9,05 |
180 |
|
190 |
9,14 |
9,24 |
9,34 |
9,44 |
9,53 |
9,63 |
9,73 |
9,83 |
9,93 |
10,03 |
190 |
|
200 |
10,13 |
10,23 |
10,34 |
10,44 |
10,54 |
10,65 |
10,75 |
10,85 |
10,96 |
11,06 |
200 |
|
210 |
11,17 |
11,28 |
11,38 |
11,49 |
11,60 |
11,71 |
11,82 |
11,93 |
12,04 |
12,15 |
210 |
|
220 |
12,26 |
12,37 |
12,48 |
12,60 |
12,71 |
12,82 |
12,94 |
13,05 |
13,17 |
13,28 |
220 |
|
230 |
13,40 |
13,52 |
13,63 |
13,75 |
13,87 |
13,99 |
14,11 |
14,23 |
14,35 |
14,47 |
230 |
|
240 |
14,59 |
14,71 |
14,83 |
14,96 |
15,08 |
15,20 |
15,33 |
15,45 |
15,58 |
15,71 |
240 |
|
250 |
15,83 |
|
|
|
|
|
|
|
|
|
|