MINISTERIO DE INDUSTRIA Y ENERGIA

Instrucción Técnica Complementaria Referente a Depósitos Criogénicos
(O. 7-11-1983. BOE 18-11-1983) (O. 5-6-87. BOE 20-6-1987)

ITC MIE AP10

 

DISPOSICIONES TRANSITORIAS

   Primera.- Los depósitos instalados antes de la entrada en vigor de esta Orden únicamente se someterán a lo que la presente ITC preceptúa para las pruebas periódicas, en todo lo demás seguirán las especificaciones que estaban vigentes en el momento de su instalación.

   Segunda.- Los depósitos construidos de acuerdo con tipos aprobados o registrados antes de la fecha de entrada en vigor de esta ITC que se instalen o cambien de emplazamiento después de la citada fecha se ajustarán en cuanto a su instalación y pruebas periódicas a lo establecido en la presente disposición.

   Tercera.- Los fabricantes podrán seguir construyendo depósitos criogénicos de acuerdo con tipos ya registrados o aprobados en la fecha de entrada en vigor de esta Orden durante un plazo de dos años contados a partir de dicha fecha.

   Para poder seguir construyéndose los mencionados tipos a partir de dicha fecha, será necesario antes obtener un nuevo registro de tipo, para lo cual será suficiente presentar una memoria descriptiva y un certificado extendido por una Entidad colaboradora facultada para la aplicación de la reglamentación sobre aparatos a presión en los que se haga constar, respectivamente, las variantes introducidas en el tipo de que se trate y que el mismo cumple todas las especificaciones exigidas por esta ITC.

 

ANEXO

1. GENERALIDADES

   1.1. Campo de aplicación.

   La presente instrucción abarca los depósitos destinados a almacenamiento y utilización de los gases criogénicos (fuertemente refrigerados) con volúmenes superiores a 450 litros e inferiores a 2.000.000 de litros de capacidad geométrica y con presión máxima de trabajo superior a 100 kPa (1 Bar) efectiva, que se indica a continuación: Argón; nitrógeno, anhídrido carbónico; helio; protóxido de nitrógeno; N2O; kriptón- neón; oxígeno; xenón; etano; etileno; hidrógeno, y aire.

   Forman parte de los mismos los elementos auxiliares de dichos depósitos como son las tuberías, válvulas y elementos de control de los mismos, unidades de refrigeración, unidades de gasificación, utilizadas para transformar el gas licuado en gas y que pueden ser internos o externos al depósito y equipos de puesta en presión.

   No están incluidos los elementos de transporte de estos productos (cisternas), ni los botellones criogénicos para transporte y suministro (objeto de la instrucción MIE-AP-07). Esta instrucción comprende las normas concernientes al diseño, construcción, pruebas, instalación y utilización de los citados depósitos y equipos auxiliares.

   Los almacenamientos integrados en los procesos de fabricación quedan exentos del cumplimiento de lo previsto en el apartado 5 «Instalación».

   1 .2. Definiciones.

   A efectos de esta ITC se adoptarán las definiciones siguientes:

   Aislamiento: Es un material que se coloca alrededor del recipiente interior y que reduce el flujo térmico del exterior al interior. Este aislamiento puede o no estar en cámaras de vacío.

   Elementos primarios: Son aquellos que, en condiciones de servicio, están sometidos a temperaturas inferiores a -40° C

   Elementos secundarios: Son aquellos no comprendidos en el apartado anterior

   Envolvente: Es el recubrimiento exterior que existe alrededor del aislamiento para protegerlo y contenerlo.

   Equipo de refrigeración: Es el sistema mecánico que produce la refrigeración necesaria para compensar las ganancias de calor a través del aislamiento.

   Fabricante: Es la entidad que fabrica el recipiente o sus partes y que está inscrito como tal en el Registro correspondiente del órgano competente de la Comunidad Autónoma. Todo fabricante se considerará inscrito como reparador.

   Gas inerte: Es cualquier gas o mezcla de gases que a temperatura y presión normales (15 °C y 760 Hg) no reacciona con otros productos

   Gas inflamable: Es cualquier gas o mezcla de gases cuyo límite de inflamabilidad inferior en aire sea menor o igual al 13,5 por 100 o que tenga un campo de inflamabilidad (limite superior menos límite inferior) mayor de 12 por 100.

   Gas oxidante o comburente: Es cualquier gas o mezcla de gases con oxipotencial superior al del aire.

   Instalación: Conjunto de depósito/s o recipiente/s y sus sistemas accesorios y auxiliares (tuberías de interconexión, gasificadores, protecciones por baja temperatura, cimentaciones, cercas, etc.).

   Instalador: Es la persona o entidad que debidamente autorizada, efectúa la instalación del depósito y sus elementos auxiliares, y que figura inscrito en el Registro correspondiente del Organo competente de la Comunidad Autónoma.

   Liquido combustible: Es un líquido con un punto de inflamación igual o superior a los 38 ºC.

   Líquido criogénico: Es aquel cuya temperatura de ebullición a la presión atmosférica es inferior a -40° C.

   Líquido inflamable: Es un líquido con un punto de inflamación inferior a los

   Presión de diseño (Pd): Presión utilizada en el cálculo del espesor mínimo con la máxima tensión admisible y el coeficiente de seguridad admitido bajo las condiciones más severas de servicio teniendo en cuenta la columna del líquido Debe ser igual o superior a la máxima presión de trabajo, incrementada en 100 kPa (1 Bar) en caso de cámara de vacío.

   Presión de primera prueba: Presión a la que se somete el recipiente en la primera prueba y que como mínimo debe ser 1,3 veces la presión máxima de trabajoindependientemente del poso de la columna del líquido

   Presión máxima de trabajo (Pt): la presión máxima admisible en la cámara de gas del recipiente, calculada para el espesor nominal menos las tolerancias de fabricación previsión por corrosión, etc. Es el máximo valor del tarado de la válvula de seguridad y debe ser igual o inferior a la presión de diseño.

   Propietario: Es la persona o entidad con título de propiedad sobre la instalación y que normalmente será la responsable de su funcionamiento, salvo que se haya delegado esta responsabilidad en otra persona o entidad mediante documento suscrito por las partes.

   Reparador: Es una entidad que se dedica a reparar el recipiente y que cumple las mismas condiciones que el fabricante y está inscrito como tal en el Registro correspondiente del Organo competente de la Comunidad Autónoma.

   Depósito criogénico: Es el conjunto del recipiente interior, aislamiento, envolvente, soportes, tuberías, válvulas, manómetros, termómetros, niveles, etc., que forman un conjunto que almacena líquidos criogénicos a una temperatura inferior a -40° C.

   Tensión de cálculo: La tensión máxima admisible en el material y utilizada en el cálculo del espesor mínimo y definida de acuerdo con el código empleado.

   Usuario: Es la persona o entidad encargada por delegación del propietario del funcionamiento del depósito y sus elementos auxiliares. Puede coincidir, aunque no necesariamente, con los utilizadores del producto almacenado en el depósito o depósitos o con el propietario del depósito.

   Utilizador del producto almacenado: Es la persona o entidad que utiliza el producto almacenado y que puede no ser el propietario ni el encargado del funcionamiento de la instalación. Su responsabilidad en cuanto a la instalación criogénica queda limitada a cumplir las instrucciones escritas recibidas del responsable del funcionamiento de la misma (usuario).

 

   2. COMPLEMENTO A LAS NORMAS GENERALES ESTABLECIDAS EN EL REGLAMENTO DE APARATOS A PRESION

   2.1. Registro de tipo.

   Los depósitos criogénicos incluidos en esta ITC se someterán al previo registro de tipo de acuerdo con lo establecido en el Reglamento de Aparatos a Presión.

   Los elementos auxiliares de estos depósitos, no incluidos en otras ITC o en otras reglamentaciones, no se someterán al Registro de Tipo si el producto de su diámetro interior en centímetros por la presión máxima de servicio en kPa (1 Bar = 100 kPa), es inferior a 10.000.

   2.2. Fabricación.

   La responsabilidad de la construcción del depósito corresponde al fabricante, o al importador en caso de depósitos importados.

   Durante la fabricación deben ensayarse los materiales utilizados en la fabricación del recipiente para determinar las características exigidas por el Código de diseño a no ser que vayan acompañados del certificado del fabricante. Debe comprobarse que estos valores corresponden a los utilizados en el proyecto.

      Los ensayos se harán de acuerdo con lo previsto en el Código elegido.

   En el caso de utilizar el aluminio como material del recipiente interior, las pruebas de las soldaduras deben someterse a un ensayo de doblado, debiendo obtenerse un coeficiente de doblado (K) superior a los valores de la siguiente tabla:

    

Espesor de la chapa (mm) 

Coeficiente de doblado (K)

Raíz en zona compresión

Raíz en zona tensión

12

15

12

12 a 20

12

10

> 20

9

8

 

   El coeficiente de doblado K se define por la siguiente fórmula:

K = 50 e/r

   siendo:

   e = Espesor de chapa en mm.

   r = Radio medio de curvatura, en mm de la probeta en el momento de aparición de la primera grieta en la zona de tracción.

   Si el material utilizado en el recipiente interior del depósito es de acero no auténtico, deberá certificarse que la resiliencia en el material base y en los cordones de soldadura, es superior a los valores de la tabla siguiente, determinados según la Norma UNE 7056.

    

 

Resiliencia N.m/cm2

Probeta D Entalla U

Probeta A Entalla V

Acero no aleado

35

25

Acero ferrítico aleado Ni < 5 por 100

35

22

Acero ferrítico 5 por 100 Ni 9 por 100

45

35

Acero austenítico al Cr-Ni

40

32

 

   Las chapas se inspeccionarán de acuerdo con lo indicado en el Código de diseño o en su defecto por alguno de los códigos indicados en 3.1.

   2.3. Primera prueba.

   Todos los depósitos deben pasar satisfactoriamente una prueba de presión antes e colocar el aislamiento. Esta prueba se realizará como mínimo a 1,3 veces la presión máxima de trabajo (Pt) y será una prueba hidrostática, a no ser que se justifique la necesidad de sustituirla por otra neumática, en cuyo caso deberán adoptarse las precauciones de seguridad necesarias, y solicitarse en el Organo competente de la Comunidad Autónoma.

   Una vez terminada la construcción del depósito, se realizará una inspección para comprobar que cumple con los requisitos del Código de diseño y esta Instrucción. Con los resultados de estas inspecciones y las realizadas durante la construcción, se formará un expediente que contendrá:

- Certificado de materiales (ensayos mecánicos y químicos).

- Certificado de ensayos de las soldaduras (procedimiento y radiografiado).

- Certificado de la prueba de presión.

 

   Estos resultados deben estar certificados por el Organo competente de la Comunidad Autónoma o, en su caso, por una Entidad colaboradora para la aplicación del Reglamento de Aparatos a Presión. El certificado se extenderá por cuadruplicado quedando una copia en poder del fabricante, otra en poder de la Entidad colaboradora, otra para el propietario del depósito y otra para el Organo competente de la Comunidad Autónoma.

   2.4. Instalación.

   La instalación de los depósitos criogénicos objeto de la presente ITC requerirá la presencia de un proyecto técnico ante el Organo competente de la Comunidad Autónoma. El trámite que deberá seguirse será el indicado en el artículo segundo del Real Decreto 2135/1980, de 26 de septiembre, referente a liberalización industrial.

   El citado proyecto técnico ha de incluir, como mínimo, lo siguiente:

- Características generales del depósito. (No es preciso indicar número de fabricación).

- Elementos de seguridad y auxiliares con sus características.

- Plano del depósito y de la zona de ubicación del mismo en el que figurarán las distancias a los elementos señalados en el punto 5.4.

- Instrucciones de utilización del depósito e instalaciones auxiliares.

- Instrucciones de emergencia.

- Ficha técnica del registro de tipo si procede.

- Gradiente máximo de temperatura entre el interior y el exterior.

- Temperatura mínima interior.

 

   2.5. Puesta en funcionamiento.

   Se llevará a efecto de acuerdo con lo establecido en el artículo segundo del ya mencionado Real Decreto 2135/1980 y Orden de 19 de diciembre de 1980 sobre normas de procedimiento y desarrollo del mismo. Todos los depósitos deben someterse a una prueba de estanqueidad y de comprobación del sistema de seguridad con precintado de las válvulas de seguridad. En los depósitos con aislamiento al vacío, la prueba de estanqueidad puede sustituirse por una medida del vacío. Si éste es inferior a 60 Pascales (0,60 mbar) la prueba puede darse por válida y en caso contrario debe realizarse la prueba de estanqueidad.

   Debe comprobarse que se cumplen todas las prescripciones de esta ITC y en especial el apartado 5 (condiciones de seguridad, distancias, etc.) y que está de acuerdo con el proyecto de instalación.

   El certificado de pruebas en el lugar de emplazamiento será extendido por el instalador o bien el Organo competente de la Comunidad Autónoma o, en su caso, una Entidad colaboradora si el producto del volumen geométrico en metros cúbicos por la presión máxima de trabajo en kPa (1 Bar - 100 kPa) es igual o menor de 30.000 cuando se trate de gases inflamables, de 45.000 en gases comburentes y de 55.000 en gases inertes. Cuando el citado producto sea superior a las cifras indicadas, el certificado lo extenderá el Organo competente de la Comunidad Autónoma o, en su caso, una Entidad colaboradora.

   2.6. Pruebas periódicas.

   Cada cinco años se repetirán las pruebas de estanqueidad y de comprobación del sistema de seguridad de acuerdo con el apartado 2.5.

   Cada quince años debe realizarse una prueba de presión neumática (para evitar introducir humedad en el depósito), a una presión de 1,1 veces la presión máxima de trabajo pudiendo realizarse con el producto contenido. Para esta prueba no será necesario retirar el aislamiento. La presión de prueba debe conseguirse gradualmente, alcanzándose en un primer momento una presión de 50 por 100 de la final. A partir de este momento, la presión debe aumentarse en etapas de un 10 por 100 de la presión final hasta alcanzar dicha presión disminuyéndola a continuación hasta los 4/5 de dicha presión final, que se mantendrá el tiempo suficiente para comprobar que no hay fallos, realizándose a esta presión una prueba de estanqueidad.

   Estas pruebas serán realizadas por el instalador del aparato, por el servicio de conservación del usuario o bien el Organo competente de la Comunidad Autónoma o, en su caso, una Entidad colaboradora si el producto P.V, calculado según se indica en el punto anterior, es igual o inferior a las cifras que allí se indican y necesariamente por el Organo competente de la Comunidad Autónoma o, en su caso, una Entidad colaboradora si dicho producto es superior.

   Si se efectúan dichas pruebas por el servicio de conservación del usuario, deberá justificarse previamente ante el Organo competente de la Comunidad Autónoma que disponen de personal idóneo y medios técnicos suficientes para llevarlos a cabo.

   2.7. Inscripciones.

   2.7.1. Placa de diseño.

   Los depósitos criogénicos estarán provistos de una placa de diseño de acuerdo con el artículo 19 del Reglamento. Estas placas serán facilitadas por el Organo competente de la Comunidad Autónoma.

   2.7.2. Placa de identificación.

   Además de la placa de diseño definida en el apartado anterior, los depósitos deberán llevar otra placa en la que se indicará lo siguiente:

1. Nombre o razón social del fabricante.

2. Contraseña de registro de tipo, si procede.

3. Modelo y número de serie.

4. Presión de prueba en kPa (1 Bar = 100 kPa)

5. Presión máxima de trabajo en kPa (1 Bar = 100 kPa).

6. Capacidad geométrica en litros.

7. Capacidad útil en litros.

8. Máxima y mínima temperaturas de servicio.

9. Tipo de aislamiento.

10. Año de fabricación.

11. Gases para los que se ha diseñado.

 

   En el tipo de aislamiento se indicará si es al vacío o no y si está autorizado para su uso con oxígeno.

   Las capacidades podrán determinarse por cálculo.

 

   3. DISEÑO Y CONSTRUCCIÓN

   3.1. Generalidades.

   Para el diseño y cálculo de los depósitos se utilizará un Código de diseño internacionalmente reconocido tal como:

- ISO.

- ASME (USA).

- CODAP (Francia).

- AD-MERKBLATT (Alemania).

- Código Sueco de Recipientes a Presión (Suecia).

- British Standard (Inglaterra).

 

    Una vez elegido el Código, se aplicará en su totalidad en el proyecto, sin poderse efectuar mezclas de cálculo de diferentes Códigos, salvo que por defecto del mismo, sea necesario recurrir a otro, previamente aceptado. Para la envolvente podrá utilizarse otro Código de cálculo distinto del aplicado al cálculo del recipiente interior.

   Para depósitos construidos in situ y con capacidades superiores a 250.000 litros, se tendrá en cuenta los efectos sísmicos y las acciones meteorológicas.

   Los elementos resistentes que no estén incluidos en el Código utilizado se calcularán por métodos directos, utilizando una tensión de cálculo inferior o igual a los límites fijados más abajo, en función de los materiales.

   1. En los metales y aleaciones que presenten un límite elástico definido o que se caractericen por un límite elástico convencional (Re) garantizado.

   Re = Límite elástico a 0,2 por 100 de alargamiento o a 1 por 100 en los aceros austeníticos (N/mm2).

   Rm = Valor mínimo de la resistencia garantizada a la rotura por tracción: (N/mm2).

   = Tensión de calculo.

   a) Cuando la relación Re/Rm sea inferior o igual a 0,66:

   b) Cuando la relación Re/Rm sea superior a 0,66:

   2. En los metales y aleaciones que no presenten un límite elástico definido y que se caractericen por una resistencia Rm mínima garantizada a la rotura por tracción:

   3. En el acero, el alargamiento de rotura en porcentaje, deberá corresponder, al menos, al valor

   pero en ningún caso será inferior al 16 por 100 en los aceros no aleados de grado fino ni al 20 por 100 en los demás aceros. En las aleaciones de aluminio, el alargamiento de rotura no deberá ser inferior al 12 por 100. (En las chapas, el eje de las probetas de tracción debe ser perpendicular a la dirección de laminación.)

   El alargamiento de la rotura (L = 5d) se mide mediante probetas de sección circular cuya distancia entre marcas 1, sea igual a cinco veces el diámetro d; cuando las probetas sean de sección rectangular, la distancia entre marcas deberá calcularse según la fórmula L= 5,65en donde So designa la sección primitiva de la probeta.

   3.2. Materiales.

   3.2.1. Recipiente interior.

   Los depósitos a los que se refiere la presente Instrucción deben estar construidos en acero, aluminio, aleaciones de aluminio, cobre o aleaciones de cobre.

   Los recipientes de cobre o de sus aleaciones sólo se admitirán para los depósitos que vayan a contener gases exentos de acetileno, admitiéndose hasta un máximo de 50 ppm (0,005 por 100) de acetileno en el etileno.

   De estos materiales sólo podrán utilizarse aquellos que resistan la temperatura mínima de servicio. En concreto, se admiten los siguientes materiales:

   1. Aceros no aleados de grano fino hasta una temperatura de -60° C.

   2. Aceros a níquel (desde 0,5 a 9 por 100) hasta una temperatura de -196° C, según el contenido de níquel.

   3. Aceros austeníticos al cromo-níquel hasta una temperatura de -270° C.

   4. Aluminio (con un mínimo de 99,5 por 100 de pureza) o aleaciones de aluminio.

   5. Cobre desoxidado (con un mínimo de 99,5 por 100 de pureza) o aleaciones de cobre de más de 50 por 100 de cobre.

   Los materiales utilizados en la construcción de los recipientes deben poseer certificados de calidad en los que deberán figurar las características de los mismos exigidas en el Código de diseño. Estos valores serán, como mínimo, los utilizados en el proyecto.

   Los materiales usados serán compatibles con el producto contenido. Si el producto contenido provoca una reducción progresiva del espesor del recipiente, éste debe aumentarse en un valor adecuado. Este sobreespesor no se tendrá en cuenta en el cálculo de los espesores mínimos.

   3.2.2. Aislamiento.

   Todos los depósitos a que se refiere esta Instrucción deben estar térmicamente aislados. El material aislante no debe ser atacado por el gas o gases contenidos. En el caso de aislante para depósitos que vayan a contener oxígeno, este material no debe ser combustible.

   3.2.3. Envolvente.

   La envolvente debe ser de materiales no combustibles y de punto de fusión superior a 850º C si el depósito contiene materias inflamables.

   Si existe vacío en la cámara de aislamiento, la envolvente exterior debe estar diseñada para una presión exterior de 100 kPa (1 Bar) efectiva.

   Si la envolvente se utiliza como parte del sistema de soporte del depósito interior debe diseñarse para soportar el poso del recipiente interior, lleno de productos más la presión exterior si existe vacío.

   3 .2.4. Cálculos.

   Para el cálculo del espesor de las paredes y fondos de los depósitos, se seguirán las indicaciones del Código seleccionado, lo mismo que para el cálculo de orificios y bocas de hombre, en caso de ser necesarias.

   La presión de prueba será por lo menos 1,3 veces la máxima presión de trabajo

   Para el diseño de los soportes del recipiente interior, deberá tenerse en cuenta la necesidad de transportar el depósito, a no ser que se trate de depósitos construidos «in situ» y sin posibilidad de cambiarlos de ubicación.

   Si el depósito tiene vacío en la cámara de aislamiento, la presión máxima d prueba se aumentará 100 kPa (1 Bar) por lo que la presión (Pp) será:

Pp = 100 + 1,3.Pt

   Pp y Pt se expresan en kPa efectivos.

   El espesor mínimo (en mm) del recipiente, en ningún caso será inferior al obtenido por medio de la siguiente fórmula:

   siendo:

   Pt = Presión máxima de trabajo en KPa efectivos.

   Pd = Presión de diseño en KPa efectivos.

   D = Diámetro interior del depósito en mm.

   = Tensión de cálculo en N/mm2.

   = Coeficiente de seguridad para tener en cuenta el posible debilitamiento debido a los cordones de soldadura, tomando los valores indicados en el Código de diseño utilizado.

   Para la determinación de la tensión debida a la prueba hidrostática, se tendrán en cuenta las características del material a la temperatura ambiente tomando = 1.

   Por temperatura mínima de trabajo se entiende la mínima del producto o productos para cuyos servicios se ha diseñado. Los recipientes construidos en acero al 9 por 100 de níquel deberán tener un espesor mínimo de 4 mm.

   3.2.5. Grado de llenado.

   El grado máximo de llenado se determinará de forma que la cámara de gas sea capaz de compensar la dilatación del líquido, correspondiente al aumento de temperatura, entre la de saturación a presión atmosférica y la de saturación a la presión de disparo de la válvula de seguridad, teniendo en cuenta la contracción del recipiente a esas temperaturas.

   Se colocará una válvula de rebose, u otro sistema equivalente al 95 por 100 de su capacidad geométrica.

   3.2.6. Construcción.

   3.2.6. 1. Soldadura.

   En lo referente a la preparación del material a soldar, los procedimientos a utilizar en la ejecución de las uniones, soldadas, serán los indicados en el Código adoptado en su defecto, por alguno de los Códigos indicados en 3.1.

   Los procedimientos de soldadura deberán indicarse en la memoria del proyecto. Los procedimientos deberán ser homologados y los soldadores cualificados para dichos procedimientos

   Asimismo, la forma de unión de los elementos o accesorios a colocar en el depósito, así como las bocas de hombre, orificios, etc., estarán construidos de acuerdo con el Código de diseño o, en su defecto, con el Código ASME.

   El grado de control de las mismas soldaduras vendrá dado por los coeficientes utilizados en el cálculo.

   3.2 6.2. Elementos primarios.

   Todos los elementos primarios del depósito, tales como tuberías, válvulas, manómetros, niveles, etc., cualquiera que sea su posición en el depósito, deben ofrecer garantías de seguridad no inferiores a las del recipiente interior y estar construidos con materiales compatibles con los productos contenidos.

   Deberán soportar la presión de prueba del depósito y poder trabajar a la mínima temperatura de trabajo.

   Los elementos de fijación de estos esquemas al depósito serán de materiales resistentes a la corrosión y compatibles con la mínima temperatura de trabajo.

   Las juntas deberán ser de material compatible con el producto contenido y con la temperatura mínima de trabajo.

   En el caso de depósitos destinados a contener líquidos inflamables, deberán ser de un tipo considerado como resistente al fuego durante tres horas a efectos de estanqueidad.

   Las uniones desmontables de tuberías de diámetro superior o igual a 75 mm se harán con brida, pudiendo utilizarse uniones roscadas o embridadas en diámetros inferiores a 75 mm para gases no inflamables.

   En el caso de depósitos con aislamiento al vacío, no deben existir uniones roscadas ni embridadas en el interior de la cámara de aislamiento.

   Deben tenerse en cuenta las dilataciones y contracciones debidas a los cambios de temperatura, así como las vibraciones y movimientos.

 

   4. EQUIPOS DE SEGURIDAD Y CONTROL

   4.1. Sistemas de seguridad.

   4.1.1. Recipiente interior.

   El recipiente interior debe estar protegido por dos válvulas de seguridad, colocadas en la fase gas y en comunicación permanente con el interior del recipiente. Una de estas válvulas puede sustituirse por un disco de rotura, excepto en depósitos que contengan gases inflamables.

   La salida de estos elementos debe estar dirigida de forma que no dañe los elementos estructurales del depósito o a las personas o cosas que puedan estar próximas, ni debe crear condiciones peligrosas ambientales.

   Una de las válvulas debe estar tarada a la máxima presión de trabajo y ha de estar diseñada para evitar que la presión sobrepase el 110 por 100 de la máxima presión de trabajo, considerando la máxima aportación de calor al líquido en las siguientes condiciones:

         a) Sistema elevador de presión (resistencias de caldeo, serpentines de calentamiento, etc.) trabajando en continuo a su máxima capacidad, a no ser que se prevea la posibilidad de fallo del mismo, con otro sistema adicional.

         b) Elementos exteriores capaces de aumentar la presión del depósito y que estén permanentemente conectados al mismo (bombas, etc.) en servicio continuo a no ser que se prevea la posibilidad del fallo del mismo con otro sistema adicional.

         c) Aportación de calor a través del aislamiento.

   Para el cálculo de la aportación de calor a través del aislamiento se utilizará la siguiente fórmula:

Q = 100.C.A0,82

   Q = Aportación de calor en kcal/h.

   C = Coeficiente de transferencias a través del aislamiento en kcal/m2 h° C

   A = Superficie del recipiente interior en m2

   Si el depósito está aislado al vacío el coeficiente de transferencia se calculará sin vacío. Si el depósito no está aislado al vacío el coeficiente de transferencia se calculará como si el 20 por 100 del aislamiento estuviese dañado.

   La segunda válvula de seguridad o disco de rotura debe estar tarado como máximo al 130 por 100 de la máxima presión de trabajo y debe ser capaz, conjuntamente con la primera válvula, de aliviar, a una presión del 130 por 100 de la máxima presión de trabajo, el caudal necesario bajo las siguientes condiciones :

         d) Aportación de calor a través del aislamiento en caso de fuego próximo (temperatura exterior 650 ºC). Para el cálculo de ese valor se usarán las siguientes fórmulas :

   Aislamiento resistente al fuego,

Q = 565.C.A0,82

   Aislamiento no resistente al fuego

Q = 37.000.A0,82

   El caudal de gas a aliviar por las válvulas de seguridad se calculará por la siguiente fórmula:

   Siendo:

   Q = Cantidad de calor total aportado según las fórmulas anteriores en kcal/h

   L = Calor latente de vaporización del gas a una presión de saturación del 110 por 100 de la máxima presión de trabajo en kcal/kg.

   M = Masa de gas a evacuar en kg/h.

   Para depósitos que cumplan con cualquiera de los siguientes puntos, la capacidad de alivio de la válvula de seguridad, podrá reducirse al 30 por 100

   1. Cuando el almacenamiento sea subterráneo.

   2. Cuando el almacenamiento sea utilizado para gases no inflamables y esté suficientemente alejado de las posibles zonas de incendios.

   3. Cuando el depósito se utilice para gases no inflamables y esté equipado con un buen sistema de pulverización de agua o sistemas de protección contra incendios.

   En base a estos caudales se calcularán las secciones de las válvulas de acuerdo con el Código de diseño, y en su defecto por alguno de los Códigos indicados en 3.1

   Las válvulas de seguridad deben colocarse de forma que la posibilidad de quedar bloqueadas por formación de hielo sea mínima. Debe existir la posibilidad de precintar el sistema de tarado.

   El tarado del sistema de seguridad debe ser tal que empiece a abrir a una presión no superior a la presión máxima de trabajo.

   Las válvulas de seguridad del depósito deben tener grabada la presión de tarado deben ser de elevación total y sistema de resorte. La apertura de la misma debe ser tal que asegure una sección de paso mínima del 80 por 100 de la sección neta de paso en el asiento.

   Las válvulas de seguridad y discos de rotura deben estar instalados de forma que estén en comunicación permanente con la cámara de gas del depósito en el punto más

   Las tuberías a las que se conecta el sistema de seguridad deben tener la sección suficiente para dar paso al gas exigido a dicho sistema y en ningún caso inferiores a 18 milímetros de diámetro (3/4'')

   No debe existir ninguna válvula de cierre entre el depósito y el sistema de seguridad. En caso de existir doble sistema de seguridad (cuatro válvulas o dos válvulas y dos discos), éste puede tener un sistema de válvulas de cierre que permita aislar uno de los sistemas, pero que en ningún momento permita aislar a todos los sistemas simultáneamente

   Los sistemas de venteo de las válvulas de seguridad y discos de rotura deben evitar reducir el caudal exigido al sistema, así como la acumulación de materias extrañas. Las válvulas de seguridad para gases inflamables estarán provistas de apagallamas y efectuarán las descargas en puntos donde no se cree atmósfera explosiva. Está prohibido el uso de válvulas de peso muerto o contrapeso.

   4.1.2. Envolvente.

   Los depósitos que tengan cámara de aislamiento al vacío o envolvente estanca deben proteger ésta por medio de un sistema capaz de eliminar la presión que pueda generarse en la cámara de aislamiento. La superficie de salida de este sistema debe ser por lo menos de 0,2 mm2 por cada litro de capacidad del depósito. Este sistema debe funcionar a una presión inferior a la de diseño de la envolvente o de 100 kPa (1 Bar) (la menor).

   4.1 3 Tubería .

   Los tramos de tubería comprendidos entre dos válvulas de cierre deben estar protegidos por un sistema de alivio de presión que evite la rotura de la misma en caso de que quede líquido criogénico o gas frío atrapado entre ambas válvulas

   Estos dispositivos deben tener un tramo de tubería de longitud mínima de 10 centímetros que los separe de la zona fría para evitar que queden bloqueados por el hielo. La presión de tarado de estos dispositivos será inferior a la presión nominal de trabajo de la tubería protegida.

   4.1.4. Protección de tuberías por baja temperatura.

   En aquellas instalaciones que tengan tuberías de acero al carbono después del sistema de gasificación y el sistema de gasificación sea de poca inercia térmica debe preverse el posible paso de líquido o gas frío a dichas tuberías.

   4.1.5. Gasificadores.

   Estos elementos estarán protegidos por una válvula de seguridad capaz de aliviar el gas suficiente para evitar el aumento de presión, suponiendo una aportación de calor continua equivalente a la capacidad nominal del gasificador, utilizando para el cálculo las fórmulas del apartado 4.2.1. La presión de tarado será la de diseño del gasificador, que deberá ser superior a la del depósito y si el gasificador está conectado al fondo del mismo se aumentará en la presión producida por la altura de líquido.

   4.2 Equipos de medida.

   Los depósitos deben estar equipados con un manómetro para conocer la presión interior del depósito y de un nivel o báscula para conocer la cantidad de producto. También debe tener un sistema de rebose o control del llenado máximo.

   La presión de diseño del nivel debe ser por lo menos igual a la del depósito. El manómetro debe tener marcada la máxima presión de trabajo o de disparo de la válvula de seguridad.

   Los depósitos con cámara de aislamiento al vacío deben tener una conexión o dispositivo que permita la medida de éste.

 

   5. INSTALACIÓN

   5.1. Condiciones generales.

   El depósito estará rodeado, en los lados que no estén protegidos por muros, por una cerca metálica ligera que impida que personas ajenas al servicio puedan manipular estas instalaciones o acercarse a las mismas.

   Los depósitos de almacenamiento deben situarse preferentemente al aire libre sobre el nivel del suelo, o en edificios de construcción no combustibles adecuadamente ventilados.

   Para los depósitos que vayan a contener gases inflamables, los techos deben de ser de construcción ligera.

   El emplazamiento del depósito será tal que permita el fácil acceso a los vehículos de abastecimiento y al personal autorizado.

   Los gasificadores exteriores al depósito deberán estar anclados y sus tuberías de conexión ser lo suficientemente flexibles para evitar los efectos debidos a las dilataciones y contracciones causadas por los cambios de temperatura.

   Los equipos destinados a contener, o por los cuales va a circular oxígeno o protóxido de nitrógeno, deben estar exentos de aceite grasa u otros materiales

   El pavimento de la zona circundante al depósito y la de aparcamiento de vehículos de trasvase de los depósitos de oxígeno y protóxido de nitrógeno debe estar exenta de asfalto o productos bituminosos.

   Debe colocarse en sitio visible un cartel donde se indique el gas contenido, los peligros específicos y las medidas de seguridad recomendadas.

   5.2. Clasificación de los depósitos.

   A los efectos del presente capítulo de instalaciones, los depósitos se clasifican en base a tres criterios: Tamaño, gas contenido y lugar de ubicación.

   5.2.1. Tamaño.

   En función de la capacidad útil expresada en litros, se clasificarán en:

    

A

Depósitos desde 450 a 5.000 litros

B

Depósitos desde 5.001 a 20.000 litros

C

Depósitos desde 20.001 a 60.000 litros

D

Depósitos desde 60.001 a 200.000 litros

E

Depósitos desde 200.001 a 400.000 litros

F

Depósitos desde 400.001 a 2.000.000 litros

   5.2.2. Gas contenido.

   Según la peligrosidad y características del gas contenido, se establecen tres categorías:

    

I. Gases inertes.

Argón, nitrógeno, anhídrido carbónico, helio, kriptón neón y xenón

II. Gases óxidantes o comburentes.

Oxígeno, protóxido de nitrógeno y aire

III. Gases inflamables.

Etano, etileno, hidrógeno

   5.3. Ubicación.

   Se distinguirá si los depósitos están situados en plantas productoras o envasadoras del producto almacenado, o en cualquier otra ubicación. Las Normas que se dan en os apartados siguientes no se refieren a las plantas productoras o envasadoras que pueden utilizar distancias menores, excepto a vías públicas propiedades colindantes.

   5 4. Distancias de seguridad .

   Las distancias indicadas en este punto son las mínimas que deberán existir entre los límites del depósito con sus equipos auxiliares y los diversos lugares que se citan.

   En el caso de existir varios depósitos en el mismo recinto, la separación recomendada entre ellos, siempre que sea posible, debería ser la semi-suma de sus radios y siempre superior a 0,5 m.

   Las distancias indicadas en la tabla I se medirán siguiendo la posible trayectoria del gas en caso de escape contorneando las paredes de protección si existen, tanto en sentido horizontal como vertical, estimando además los ángulos rectos como equivalentes a 2,5 m cuando los tramos que constituyan sus lados tengan una longitud mínima de 1,3 m.

   Los depósitos para gases no inflamables con envolvente exterior de acero se consideran protegidos por esta envolvente, debiendo en ese caso proteger las partes no incluidas dentro de la envolvente exterior (tuberías, equipos de control, válvulas, etc.).

   La forma y dimensiones de las paredes de protección variarán dependiendo de los componentes del sistema y su colocación en el mismo. Las nuevas distancias se medirán bordeando dichas protecciones. Para garantizar la ventilación, en ningún caso se pueden colocar más de tres lados con estas paredes. En casos especiales en que sea necesario hacer un cierre con más de tres lados deben utilizarse muros de perfil autoventilante como los de las figuras 1(a) y 1(b) colocar rejillas de aireación de dimensiones adecuadas.

   Si los depósitos se situán en recintos cerrados debe garantizarse la ventilación mediante procedimientos adecuados, tales como rejillas, ventiladores, etc., salvo en aquellos locales cuyas dimensiones permitan ubicarlo respetando una separación mínima de 15 m con una pared y simultáneamente 5 m en su dirección perpendicular.

   En la tabla I se indican las distancias que deben mantenerse ante diversos riesgos. Para aquellos riesgos no indicados en dicha tabla se aplicará el que resulte mas similar.

   Cuando no sea posible cumplir con dichas distancias, deberán justificarse todas las variaciones que se introduzcan y las medidas de otro orden que se tomen en sustitución.

   Para los depósitos de los grupos E y F destinados a contener gases inflamables se deberán tomar medidas para evitar que el flujo de radiación calorífica exceda de 5.000 W/hm2 en el límite de la propiedad, cuando las condiciones meteorológicas sean:

- Velocidad del viento = 0 Km/h.

- Temperatura ambiente = 20° C.

- Humedad relativa del aire = 50 por 100.

    Estas medidas se podrán satisfacer mediante la fórmula:

d = 3

en la que

   d = Distancia en metros, desde el borde del cubeto más cercano al límite de la propiedad.

   A = Area en m2 del cubeto.

   En estos depósitos se deberá, además, tomar medidas para reducir al mínimo la posibilidad de que una mezcla de vapores inflamables llegue a alcanzar los límites en la propiedad.

   5.5. Instalación eléctrica.

   La instalación eléctrica en el recinto de los depósitos de gases inertes y comburentes no requiere especiales condiciones.

   El depósito y los equipos para gases inflamables deben estar puestos a tierra con resistencia inferior a 20 debe seguirse lo indicado en el Reglamento Electrónico de Baja Tensión, en lo especificado para locales que presenten peligro de incendio o explosión.

    

TABLA I-a

Distancias mínimas (m) del depósito con diversos riesgos

Tamaño del depósito (s/5, 2, 1)

A

B

C

Características del gas (s/5,2,2)

Inertes

Combustibles

Inflamables

Inertes

Combustibles

Inflamables

Inertes

Combustibles

Inflamables

Tipo de riesgo

 

 

 

 

 

 

 

 

 

Locales de trabajo (edificaciones vestuarios) (1)

3

3

5

5

5

10

7,5

7,5

15

Sótanos, alcantarillas, Galerías servicio

5

5

5

5

5

10

7,5

7,5

10

Motores, interruptores (no antideflagrantes)

--

--

5

--

--

10

--

--

15

Depósitos, material inflamable aéreos

3

5

5

3

10

10

5

15

10

Depósitos, material inflamable subterráneos

3

5

5

3

5

5

5

7,5

5

Vías públicas, carreteras, ferrocarriles

3

3

5

3

5

10

--

5

15

Instaladores con peligro incendio (madera, plástico, etc. )

3

5

8

3

5

10

3

7,5

15

Llamas controladas (sopletes, mecheros, etc. )

--

5

7,5

--

5

10

--

7,5

15

Propiedad colindante

1

1

2,0

1,5

1,5

3,0

2,0

2,0

4,0

Proyección líneas eléctricas

--

--

8

--

--

15

3

5

15

Edificios habitables

5

5

7,5

7,5

7,5

10

10

10

12,5

 

TABLA I-b

Distancias mínimas (m) del depósito con diversos riesgos

Tamaño del depósito (s/5, 2, 1)

D

E

F

Características del gas (s/5,2,2)

Inertes

Combustibles

Inflamables

Inertes

Combustibles

Inflamables

Inertes

Combustibles

Inflamables

Tipo de riesgo

 

 

 

 

 

 

 

 

 

Locales de trabajo (edificaciones vestuarios) (1)

10

10

20

10

10

20

10

10

30

Sótanos, alcantarillas, Galerías servicio

7,5

7,5

10

10

10

20

10

10

20

Motores, interruptores (no antideflagrantes)

--

--

15

--

--

15

--

--

20

Depósitos, material inflamable aéreos

5

15

10

5

20

10

5

30

20

Depósitos, material inflamable subterráneos

5

10

5

5

10

5

5

20

10

Vías públicas, carreteras, ferrocarriles

3

5

25

5

10

(2)

5

20

(2)

Instaladores con peligro incendio (madera, plástico, etc. )

3

10

25

3

15

30

3

20

30

Llamas controladas (sopletes, mecheros, etc. )

--

10

25

--

15

30

--

15

30

Propiedad colindante

2

2

4

5

5

(2)

10

10

(2)

Proyección líneas eléctricas

3

5

15

3

5

15

3

5

15

Edificios habitables

12,5

12,5

15

15

15

(2)

15

15

(2)

   (1) Se excluyen las zonas de manipulación y utilización del producto (talleres, zona de producción etc. )

   (2) Se aplicará lo indicado en el apartado 5.4.

 

   5.6. Protección contra incendios.

   Los depósitos de gases inertes y oxidantes no requieren especiales medidas de protección contra incendios.

   En los depósitos de gases inflamables, la instalación estará dotada de extintores en proporción de 10 Kg de polvo seco por cada 1.000 Kg de producto, con un mínimo de 2 Kg en dos extintores.

   En caso de que los extintores no sean de polvo seco, se colocarán cantidades equivalentes.

   Los extintores deberán colocarse en la zona de los depósitos y en lugar fácilmente accesible.

   En los depósitos de tamaño superior a 60.000 litros (grupos D, E y F) se deberá colocar una toma de agua con capacidad de 3 l/min/m2 del depósito y que no sólo llegue al depósito protegido, sino también a los adyacentes situados a menos de 10 metros.

   5.7. Protección contra derrames.

   Los depósitos para gases inflamables de capacidad superior a 100.000 Litros y para los demás gases de capacidad superior a 1.000.000 Litros estarán provistos de cubeto de recogida del producto derramado.

   Estos cubetos podrán estar formados por barreras naturales, diques, muros de contención o una excavación en el terreno capaz de resistir las acciones mecánicas, térmicas y químicas del producto contenido.

   La capacidad de los cubetos se establecerá de acuerdo con los principios siguientes:

   1.° Si el cubeto presta servicio a un solo depósito, el volumen útil mínimo de aquél deberá ser el del líquido llenando totalmente dicho depósito en el caso de inflamables y el 50 por 100 en los demás casos.

   2.° Si el cubeto presta servicios a más de un recipiente y se han tomado medidas para evitar que las bajas temperaturas o exposición al fuego, a causa de derrames en cualquier recipiente de los incluidos en el cubeto, afecte a los otros, el volumen del cubeto será el del contenido lleno del depósito de mayor capacidad, en el caso de inflamables y el 50 por 100 de dicho volumen en los demás.

   3.° Para cubetos que alberguen más de un recipiente y no se hayan tomado las medidas del párrafo anterior, el volumen del cubeto deberá ser la suma de todo el líquido contenido en los depósitos y supuesto todos llenos en el caso de inflamables y el 50 por 100 en los demás casos.

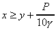
   Las dimensiones de los cubetos y las alturas de sus paredes además de proporcionar el volumen exigido en los apartados anteriores deberán cumplir las relaciones indicadas en la figura 2 y ecuaciones siguientes:

   En las que: x, y y h corresponden a las dimensiones indicadas en la figura en m; P es la presión máxima de trabajo en la fase gas en Pa, y el peso específico del líquido en kg/m3 en el punto de ebullición a presión atmosférica. Con ello se asegura que ningún derrame saldrá fuera del cubeto.

   Cuando h sea mayor que y, x puede tener cualquier valor.

   y = Distancia máxima entre el máximo nivel de líquido y un posible punto de derrame de líquido (válvula, bridas, equipos auxiliares, etc.), en metros.

   x = Distancia de la pared exterior del depósito a la pared exterior del cubeto en metros.

   h = Altura del cubeto en metros.

   Nota : Si h es mayor que la altura del más alto posible punto de derrame (valvula, brida, equipos auxiliares, etc.) x podrá tener cualquier valor.